Vamos pasito a pasito.
Tenemos tres fracciones.
Las trabajaremos por separado factorizando cada una de ellas:
Recuerda que para factorizar fracciones se multiplica el numerador y el denominador por el conjugado del denominador, es decir, se multiplica arriba y abajo por lo de abajo cambiado de signo.
Con la primera pincha aquí -> V5 + V2
Con la segunda pincha aquí -> V2 + 1
Con la tercera pincha aquí -> V5 + 1
y por último, operamos los resultados, es decir, el primero menos el segundo menos el tercero.
(V5 + V2) - (V2 + 1) - (V5 + 1) = V5 + V2 - V2 - 1 - V5 - 1 = -2
Vamos con el otro.
Con el numerador:
multiplicamos las raices del numerador da 6
multiplicamos ahora los números con el resultado de antes (6) dando 3
Ahora con el denominador:
extraigamos factores a la raíz dando 3V3
Ahora dividamos (o factorizemos):
3 / 3V3 dando V3/3
Y por último solo falta elevar V3/3 a -2 dando el esperado 3.

Me encantaría ayudarte, pero no respondo dudas universitarias que no tengan que ver específicamente con los videos que ya he grabado como excepcion. O de otras asignaturas que no sean matemáticas, física y química. Lo siento de corazón… Espero lo entiendas
Ojalá algun unicoo universitario se anime a ayudarte (de hecho lo ideal es que todos los universitarios intentarais ayudaros los unos a los otros)
1 500 000 · 25 = 37 5000 = 3,75 107
3,75 107 · 1017 = 3,75 1024
0,00007 = 7 10-5
20004 =1,6 1013
7 10-5 · 1,6 1013 = 1,12 109
3,75 1024 / 1,12 109 = 3,34821428... 1015
Con 3 cifras significativas: 3,348 1015
Con un error absoluto: 3,34821428... 1015 - 3,348 1015 = 2,142 1011
Con un error relativo: 2,142 1011 / 3,34821428... 1015 = 6,397 10-5
Con respecto al primero:
- la primera fracción quedaría después de racionalizarla: (3V5+3V2)/3
- la segunda fracción quedaría después de racionalizarla: V2+1
- y la tercera fracción quedaría después de racionalizarla: (4V5+1)/4
luego a operar, el mínimo es 12 y bla, bla, bla,....
Y el segundo:
V3 · V6 · V2 = V36 = 6
1/4 · 2 · 6 = 3
ahora, haremos la potencia
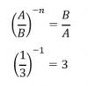
(3/V27)-2 = (V27/3)2 = 27/9=3