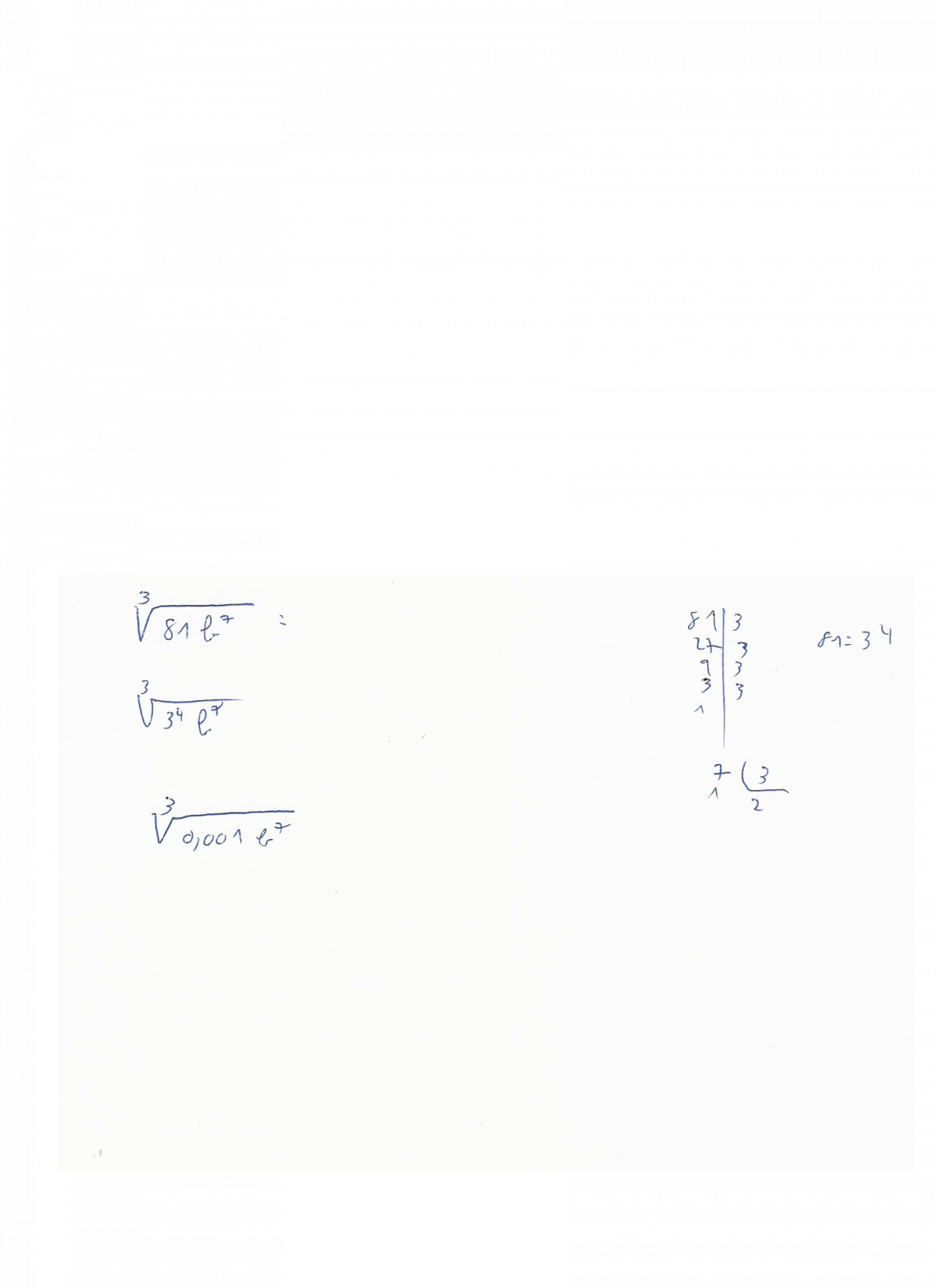
Buenas, les cuento que necesito seguir con unas demostraciones, ya me salieron varias pero en esta si me pueden decir cuál es el siguiente paso para que pueda avanzar. en la circunferencia trigonométrica lo tengo claro y en el video que vi lo dice de forma clara . Pero tengo que demostrarlo usando fórmulas que ya haya visto en la secuencia de demostraciones. Las que puedo usar son :cos de (x-y) ,cos(90-x) ,cos(pi -x) ,sen(pi -x) , cos (-x)
Esa son las que ya demostré y las que puedo usar en la cadena de igualdades.
Mi pregunta es cómo demuestro la siguiente :
sen(-x)= - sen x
repito geométricamente me sale pero usando las fómulas no lo logré. desde ya muchísimas gracias

Puedes sumar 360° en el argumento:
sen(-x) = sen(-x + 360°) = sen(360° - x) = aplicas la identidad del seno de la resta entre dos ángulos:
= sen(360°)*cosx - cos(360°)*senx = reemplazas valores:
= 0*cosx - 1*senx = resuelves los términos
= 0 - senx = cancelas el término nulo = - senx.
Espero haberte ayudado.

Lo que pasa es que la identidad del seno de la resta a esta altura no la puedo usar ya que esa viene luego de resolver estas demostraciones con las que estoy.O sea de estas , se deducen aquellas y por eso no la puedo usar aún. las que puedo usar son:
cos (π/2 -x)= sen x
cos(π -x)= -x
sen (π -x)= sen x
cos (-x)=cos x
y la de cos( x-y)=cos x cos y + sen x sen y

Ahora necesito saber si de esta manera que lo desarrolées válida:
parto de sen (-x)
entonces en la fórmula seno (π-x)= sen x sustituyo la x por -x y me queda sen (π-(-x)= sen -x y me quedo para utilizar sen(π-(-x)
luego en la fórmula cos (π/2 -x)= sen x sustituyo y me queda cos( π/2 -(π- -x)=sen(π-(-x)
al desarrollar me queda cos (-π/2) cosx + sen(-π/2)sen x
esto me da. 0.cos x +sen (-π/2) sen x
entonces : 0 + (-1). sen x
y al final llego a -sen x
pero quisiera saber si como lo hice no estoy inventando fórmulas .. porque el seno (-π/2) no sé si se puede decirle así yo me refierp al seno que es -1
Probabilidad
Hola a todos.
ayuda con el siguiente caso.
hay cuatro parejas de baile {Hombre i , Mujer i} y si los hombres elijen al azar su pareja de baile, la probabilidad de que un hombre baile con su mujer = 1/4
cual es la probabilidad de que ningún hombre baile con su mujer ?
saludos y gracias por la ayuda
Cintia
Casos posibles = 1
Casos favorables = Permutaciones de 4 elementos = 4! = 4 · 3 · 2 · 1 = 24, pues para ello, suponemos que ordenamos las 4 mujeres, siendo la primera mujer, la pareja del primer hombre; la segunda mujer, la pareja del segundo hombre y así sucesivamente.
Usando la ley de Laplace, la probabilidad pedida será igual a casos favorables (1) entre casos posibles (24), es decir, 0.041666...
En este caso particular ... hay que considerar que el que tres hombres bailen con su mujer, implica que el 4 hombre baile con su mujer (por lo que habría que sacar por lo menos cuatro eventos a los casos posibles 24-4)
0.041666 fue propuesto por un compañero y el profesor dijo que era erróneo.
El aporte de AB garcia no lo entiendo. :(
en este caso los casos favorables siempre es uno.solo, que h1, h2, h3 y h4 ... ninguno baile con su mujer, tiene que pasar al mismo tiempo.
saludos. y gracias por intentar.
Hola, ¿me ayudarían?
Simplifica al máximo éstas expresiones:
a) 4×(10-2)3×102/ 12×10-3
b) 12×10-1×204/50×(16-2)-3

Recuerda las propiedades:
1) Potencia cuya base es otra potencia (se multiplican los exponentes),
2) Producto de potencias con bases iguales (se suman los exponentes),
3) División de potencias con bases iguales (se restan los exponentes).
a)
4*(10-2)3*102 / 12*10-3 = aplicamos la propiedad 1 en el numerador:
= 4*10-6*102 / 12*10-3 = aplicamos la propiedad 2 en el numerador:
= 4*10-4 / 12*10-3 = aplicamos la propiedad 3:
= 4*10-1 / 12 = ordenamos y asociamos factor y divisor
= (4/12)*10-1 = simplificamos la fracción = (1/3)*10-1 = resolvemos la potencia de diez = (1/3)*(1/10) = 1/30.
b)
12*10-1*204 / 50*(16-2)-3 = (1)
Observa que podemos escribir:
12 = 4*3 = 22*3,
204 = (2*10)4 = 24*104 = 16*104 = 24*104,
50 = 5*101,
(16-2)-3 = 166 = (24)6 = 224;
luego reemplazamos en la expresión señalada (1) y queda:
22*3*10-1*24*104 / 5*101*224 = aplicamos la propiedad 2 en el numerador (observa que tenemos potencias de 2 y de 10)
= 26*3*103 / 5*101*224 = ordenamos y asociamos factores y divisores:
= (3/5)*(26/224)*(103/101) = aplicamos la propiedad 3 (observa que tenemos potencias de 2 y de 10)
= (3/5)*2-18*102 = factorizamos el tercer factor (observa que 102 = 100 = 4*25 = 22*52):
= (3/5)*2-18*22*52 = aplicamos la propiedad 2 para las potencias de dos:
= (3/5)*2-16*52 = ordenamos y asociamos factor y divisor:
= 2-16*3*(52/51) = aplicamos la propiedad 3 = 2-16*3*5.
Espero haberte ayudado.
Buenas, necesito ayuda con dos ejercicios sobre Préstamos.
7. Hace tres años se prestó un capital para ser amortizado mediante una renta anual, constante, inmediata, postpagable, de 5 términos, al 5% de interés compuesto anual. Sabiendo que el total amortizado después de pagada la 3ra anualidad es de 28.526,15 euros, calcular:
A. La cuantía del préstamo
B. La anualidad que amortiza el préstamo
C. La cuota de interés del tercer año
D. El resto por amortizar al principio del tercer año
8. Redactar el cuadro de amortización de un préstamo de 20.000 euros que se amortiza mediante una renta inmediata, postpagable, trimestral, constante, de 8 términos, siendo el tanto de interés del préstamo el 12% nominal capitalizable por trimestres.

Para tu duda te sugiero este video.. Interes Simple y Compuesto
Espero entiendas que, dado que tu duda es de econmia o matematicas financieras, es lo unico con lo que podemos ayudarte por ahora.
Besos!
Hola! Estos ejercicios me han aparecido en un examen de 2º de Bachillerato. Necesito ayuda URGENTE CON LOS 5!

Lo siento pero no podemos haceros los deberes de 5 en 5....
Se trata de que DESPUES DE IR A CLASE (ver los vídeos
relacionados con vuestras dudas) enviéis dudas concretas, muy concretas. Y que
nos enviéis también todo aquello que hayais conseguido hacer por vosotros
mismos. Paso a paso, esté bien o mal. No solo el enunciado. De esa manera
podremos saber vuestro nivel, en que podemos ayudaros, cuales son vuestros
fallos.... Y el trabajo duro será el vuestro. Nos cuentas ¿ok? #nosvemosenclase
;-)
Busca los videos relacionados con los conceptos que necesitas...
Por ejemplo Maximos minimos y puntos de inflexion
Regla de la cadena
Integrales definidas y área bajo una curva
Probabilidad LEY DE MORGAN
Crecimiento y curvatura de una función polinomica
Tengo este problema de optimización:
Dos barcos salen al mismo tiempo de dos mueles separados por 15Km. El barco A se dirige hacia el oeste (hacia el muelle B) a 10 Km/h, mientras que el barco B se dirige hacia el sur a 20 Km/h. ¿En que momento se encuentran mas próximos estos dos navíos?
Entender el enunciado ha sido lo más difícil:
El barco A recorre en t horas (10/t) km
El barco B recorre en t horas (20/t) km
En el momento t, los dos barcos y el muelle B forman un triángulo rectángulo donde un cateto es lo que le falta al barco A por recorrer (se acerca al muelle B), el otro cateto es lo recorrido por el barco B (se aleja del muelle B) y la hipotenusa es la distancia entre ambos barcos.
Po lo que, la distancia entre ellos será: d(t)=V[(10/t)2+(15-(10/t))2]
Derivando d(t) nos queda:
d'(t)=[10t(3t-10)]/[t3V(9t2-12t+20)]
Igualando a cero y resolviendo la ecuación:
d'(t)=0 => t=10/3
hacemos la segunda derivada
d''(t) = ...
comprobamos que d''(10/3) < 0 => Máximo
la solución es 10/3 horas = 3h 20minutos
En el comentario inmediatamente superior a este cometí un fallo imperdonable, siento el error.
El barco A recorre en t horas 10t km
El barco B recorre en t horas 20t km
En el momento t, los dos barcos y el muelle B forman un triángulo rectángulo donde un cateto es lo que le falta al barco A por recorrer (se acerca al muelle B), el otro cateto es lo recorrido por el barco B (se aleja del muelle B) y la hipotenusa es la distancia entre ambos barcos.
Po lo que, la distancia entre ellos será: d(t)=V[(10t)2+(15-(10t))2] = V(500t2-300t+225)
donde t ∈ [0,1.5] pues en hora y media el barco A llega al muelle B y atraca.
Derivando d(t) nos queda:
d'(t)=[10(10t-3)]/[V(20t2-12t+9)]
Igualando a cero y resolviendo la ecuación:
d'(t)=0 => t=3/10
hacemos la segunda derivada
d''(t) = ...
comprobamos que d''(3/10) > 0 => mínimo
la solución es 3/10 horas = 18 minutos