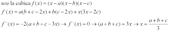
Demuestra que una función cúbica (una polinomial de tercer grado) siempre tiene exactamente un punto de inflexión. Si la gráfica tiene tres intersecciones en x: x1, x2, y x3, demuestra que la coordenada x del punto de inflexión es (x1+x2+x3)/3.
Un avión vuela horizontalmente a una altitud de 5 km y pasa directamente sobre un telescopio de seguimiento en la superficie de la Tierra. Cuando el ángulo de elevación es π/3, este ángulo está disminuyendo a razón de π/6 rad/min. ¿Con qué rapidez está viajando el avión en ese instante?
Una caja rectangular abierta con 2m3 de volumen tiene una base cuadrada. Expresa el área superficial de la caja en función de la longitud de uno de los lados de la base.

a)
Observa que a la función le corresponde una expresión algebraica fraccionaria, por lo que planteamos que el denominador debe ser distinto de cero:
x2 + x - 2 ≠ 0, luego observa que en el primer miembro tenemos un polinomio cuadrático, lo factorizamos y queda:
(x - 1)(x + 2) ≠ 0, luego observa que para que el producto sea distinto de cero debe cumplirse que ambos factores deben ser distintos de cero, por lo que planteamos:
x - 1 ≠ 0, de donde tenemos: x ≠ 1,
x + 2 ≠ 0, de donde tenemos: x ≠ -2.
Luego, concluimos que el dominio de la función es: Df = R - {-2,1}.
b)
Observa que el numerador está definido para todos los números reales (observa que la raíz cúbica, como todas las raíces con índice impar, no tiene restricciones para su argumento), y que el denominador es estrictamente mayor que cero para todo número real (observa que es una suma de términos positivos, ya que el primero es un cuadrado y el segundo es 1).
Luego, concluimos que el dominio de la función es: Dg = R.
c)
Observa que en ambos términos de la expresión de la función tenemos raíces cuadradas, por lo que planteamos que sus argumentos deben ser ambos mayores o iguales que cero:
4 - x ≥ 0, hacemos pasaje de término y queda: - x ≥ - 4, multiplicamos en ambos miembros por -1 (observa que cambia la desigualdad) y queda: x ≤ 4,
que corresponde al intervalo: (-∞,4] (1);
x2 - 1 ≥ 0, hacemos pasaje de término y queda: x2 ≥ 1, hacemos pasaje de potencia como raíz (observa que el exponente es par, por lo que su base puede ser positiva o negativa):
|x| ≥ 1, que corresponde al intervalo: (-∞,-1] ∪ [1,+∞) (2).
Luego, planteamos la intersección entre los intervalos señalados (1) (2), y concluimos que el dominio de la función es: Dh = (-∞,1] ∪ .[1,4].
Espero haberte ayudado.
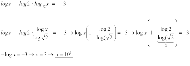
¿Cómo se resolvería esta ecuación?
x4-6x2-7x-6=0

Observa que x = 3 es una raíz de la ecuación y que - 2 es otra de sus raíces, por lo que aplicas la Regla de Ruffini en forma sucesiva y tienes:
1 0 -6 -7 -6
3 3 9 9 6
1 3 3 2 0
-2 -2 -2 -2
1 1 1 0
luego, observa que el cociente queda: C(x) = x2 + x + 1, cuyas raíces son complejas y que las puedes calcular con la fórmula resolvente para ecuaciones polinómicas cuadráticas y quedan: x = (-1 ±√(3)i)/2.
Luego, la ecuación del enunciado factorizada en el campo de los números reales queda:
(x - 3)(x + 2)(x2 + x + 1) = 0, y sus raíces reales son: x1 = 3 y x2 = -2.
Luego, la ecuación del enunciado factorizada en el campo de los números complejos queda:
(x - 3)(x + 2)( x - (-1 +√(3)i)/2 )( x - (-1 -√(3)i)/2 ) = 0, y sus raíces son: x1 = 3 y x2 = -2, x3 = (-1 +√(3)i)/2 y x4 = (-1 -√(3)i)/2.
Espero haberte ayudado.
1º.- Pedrito midió el largo del terreno de su tío con pasos de 54 cm. Después lo midió el tío con pasos de 72 cm. Quedaron marcadas en total 61 pisadas, pero a veces la misma marca correspondía a dos pisadas, una de Pedrito y otra del tío. ¿Cuál es el largo del terreno?
2º.- Si mido un rollo de cuerda de dos en dos metros me sobra uno. Si lo mido de tres en tres, me sobran dos, si lo mido de cuatro en cuatro me sobran tres, si lo mido de cinco en cinco me sobran cuatro y si lo mido de seis en seis me sobran cinco. Sabiendo que tiene menos de 100 metros ¿Podrías decir su longitud?
3º.- En un pueblo de 2550 habitantes, 3 personas se enteran de una noticia a las 8 h. de la mañana. Cada persona comunica este hecho s tres nuevas al cabo de media hora. ¿A qué hora conocerá el rumor la totalidad del pueblo?
Creo que son problemas de ecuaciones. Me podríais dar la respuesta con el planteamiento incluido de los problemas?. Muchísimas gracias. Es urgente.

1°) Puedes comenzar por revisar los múltiplos comunes de 54 y de 72 (consignamos la cantidad de pisadas en la tercera línea):
0 54 108 162 216 270 324 378 432 486 540 594 648 702 ... 2160 2214
0 72 144 216 288 360 432 504 576 648 720 ... 2160 2232
0 1 2 3 4 5 6 7 8 9 10 11 12 13 14 15 16 17 18 19 20 .... 60 61 62
Observa que la cantidad de pisadas cuando coinciden con un múltiplo de 216 (216*1, 216*2, 216*3, etc) es el múltiplo correspondiente de 6 (6*1, 6*2, 6*3, etc),
luego, si quedaron marcadas 61 pisadas tenemos:
61 = 60 + 1 = 6*10 + 1,
y observa que el décimos múltiplo de 216 es: 216*10 = 2160,
y observa que al siguiente múltiplo de 216 le sigue un múltiplo de 54,
por lo tanto tenemos para el largo del terreno:
L = 216*10 + 54 = 2160 + 54 = 2214 cm = 22,14 m.
Hemos agregado a la tabla de múltiplos las columnas correspondientes a las respuestas.
Espero haberte ayudado.

2°) Observa que si mides de dos en dos y sobra uno, tienes que la longitud de la cuerda es un número impar,
y observa que si mides de tres en tres y sobran dos, tienes que la longitud es un número impar que excede en dos a un múltiplo impar de tres, por lo que tienes hasta ahora como posibles longitudes:
L = 5 11 17 23 29 35 41 47 53 59 65 71 77 83 89 95.
Luego, observa que si mides de cuatro en cuatro y sobran tres, tienes que la longitud es un número impar que excede en tres a un múltiplo de 4 (7, 11,15,19,23,27,31, ....),
luego descartamos de la lista señalada (1) a los números que no cumplan esta condición y las posibles longitudes quedan:
L = 11 23 35 47 59 71 83 95 (2)
Luego, observa que si mides de cinco en cinco y sobran cuatro, tienes que la longitud es un número impar que excede en cuatro a un múltiplo impar de 5 (9, 19, 29, ...),
luego descartamos de la lista señalada (2) a los números que no cumplan esta condición y la posible longitudes queda:
L = 59 metros,
luego, observa que si divides a 59 por 6, tienes que el cociente es 9 y el resto es 5, por lo que se cumple la última condición.
Espero haberte ayudado.

Observa que a las 8 la noticia es conocida por 3 personas,
y observa que a las 8:30 la noticia es conocida por 3*3 = 9 personas más, lo que totaliza 12 personas,
y observa que a las 9 la noticia es conocida por 12*3 = 36 personas más
y así sucesivamente, y observa que por cada media hora que pasa la cantidad de nuevas personas que conoce la noticia se incrementa en el triple de la cantidad anterior.
Luego hacemos una tabla, en la que consideramos t = 0 a las 8 horas y llamamos N a la cantidad de personas que conocen la noticia hasta ese momento:
t N
0 3
1/2 3 + 3*3 = 3 + 9 = 12
1 12 + 3*12 = 12 + 36 = 48
3/2 48 + 3*48 = 48 + 144 = 192
2 192 + 3*192 = 192 + 576 = 768
5/2 768 + 3*768 = 768 + 2304 = 3072
Luego, observa que transcurridas 2 horas tienes que 768 personas conocen la noticia, y observa que transcurridas 2 horas y media (5/2 hora) la noticia ya es conocida por toda la población, ya que la cantidad N excede a la cantidad de personas del pueblo.
Por lo que concluimos que la totalidad del pueblo conoce la noticia entre las 10 y las 10:30 horas.
Espero haberte ayudado.