Foro de preguntas y respuestas de Matemáticas

logo beUnicoos
Los foros de unicoos se han unificado en nuestra nueva plataforma beUnicoos. Para dejar nuevas preguntas deberás hacerlo allí, donde además podrás encontrar nuevas asignaturas y herramientas para ayudarte más con tus estudios.

  • icon

    Alberto Garduño Coduras
    el 27/2/17

    Hola, quería saber cómo se escribe el dominio de una función logarítmica de primer grado y de una función con raíces de primer grado tambien, es decir, cuando lo pones con R - y sin R -. Gracias 

    replythumb_up0 voto/sflag
    icon

    Antonius Benedictus
    el 27/2/17

    No se entiende tu duda, Alberto. Disculpa.

    thumb_up0 voto/sflag
  • icon

    Leticia
    el 27/2/17

    Ayuda con este otro ejercicio por favor


    replythumb_up0 voto/sflag
    icon

    Antonio
    el 27/2/17

    El resultado es 9.

    Debes realizar varios pasos:

    - Pasar los números decimales a fracciones.

    - Quitar los exponentes negativos.

    - Resolver las raíces.

    - Y con un poco más llegas.


    thumb_up0 voto/sflag
  • icon

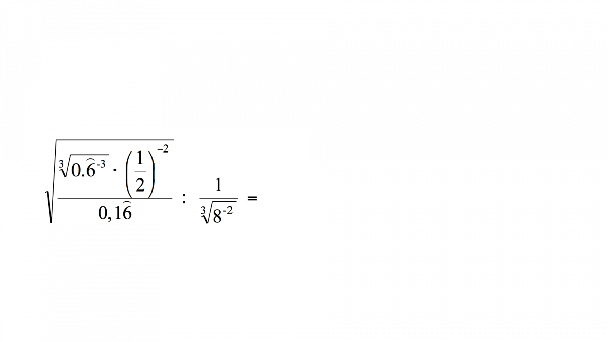
    Leticia
    el 27/2/17

    Ayuda con este ejercicio por favor.


    replythumb_up0 voto/sflag
    icon

    Antonio
    el 27/2/17

    Este es muy similar, el resultado es 24.

    Para resolver las raíces, descompón el radicando en factores primos.

    thumb_up0 voto/sflag
  • icon

    Rafa Jiménez
    el 27/2/17

    Una urna A contiene tres bolas Blancas y cuatro Negras. Se extrae una bola y sin verla se introduce en otra urna B que contiene cuatro bolas Blancas y tres Negras. A continuación se extraen de esta segunda urna dos bolas a la vez y se observa que son del mismo color. ¿Cuál es la probabilidad de que la primera bola extraída sea Blanca?. 

    replythumb_up0 voto/sflag
    icon

    Antonius Benedictus
    el 27/2/17


    thumb_up0 voto/sflag
  • icon

    Isaura
    el 27/2/17

    Hola buenas tardes, quería sugerir que hicieran un vídeo explicando la programación lineal (matemáticas 2°bachillerato ciencias sociales) muchas gracias. Estos son dos problemas y no sé como sacarlos! Nada más sé plantearlo 

    replythumb_up0 voto/sflag
    icon

    Antonius Benedictus
    el 27/2/17

    Isaura, no son de programación lineal. Son para que plantees sistemas de ecuaciones y los resuelvas (por ejemplo, por Gauss).

    thumb_up0 voto/sflag
  • icon

    Pedro
    el 27/2/17

    Resuelve las siguientes ecuaciones:



    replythumb_up0 voto/sflag
    icon

    Antonius Benedictus
    el 27/2/17

    icon

    Pedro
    el 27/2/17

    He visto los vídeos, y no sé por donde empezar.

    thumb_up0 voto/sflag
    icon

    Antonius Benedictus
    el 27/2/17


    thumb_up0 voto/sflag
    icon

    Ángel
    el 28/2/17


    thumb_up0 voto/sflag
    icon

    Ángel
    el 28/2/17


    thumb_up0 voto/sflag
    icon

    Ángel
    el 28/2/17

    Observa que en el ejercicio que t= 2x primero pasamos a común denominador "2x", después eliminamos el denominador, hacemos t=2x, a continuación resolvemos la ecuación de 2º grado con la incógnita t. En este caso obtenemos una única solución para t, con lo que también obtenemos sólo una única solución de x 

    thumb_up0 voto/sflag
  • icon

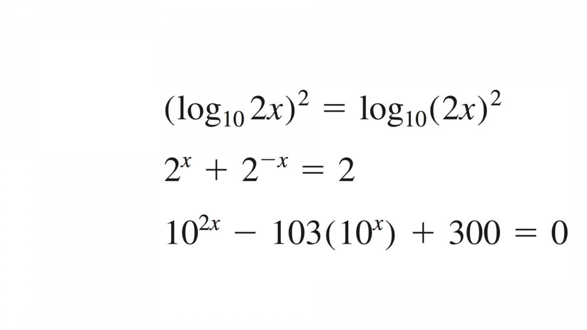
    Pedro
    el 27/2/17

    Resuelve las siguientes ecuaciones:


    replythumb_up0 voto/sflag
    icon

    Antonius Benedictus
    el 27/2/17

    icon

    Pedro
    el 27/2/17

    He visto los vídeos, pero no sé que hacer con las raíces.

    thumb_up0 voto/sflag
    icon

    Antonius Benedictus
    el 27/2/17


    thumb_up0 voto/sflag
    icon

    Pedro
    el 27/2/17

    Muchas gracias Antonio.

    thumb_up0 voto/sflag
  • icon

    Lucia Orta Rodriguez
    el 27/2/17

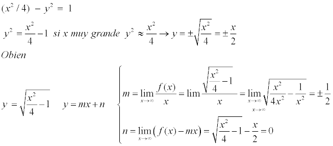
    Hola. ¿Cómo se haría este ejercicio?

    Hallar las asíntotas de la hipérbola de ecuación:  (x2/4) - y2 = 1

    replythumb_up0 voto/sflag
    icon

    César
    el 27/2/17


    thumb_up1 voto/sflag
  • icon

    Rafa Jiménez
    el 27/2/17

    En una ciudad se ha declarado una epidemia, el 50 % de la población está enferma. Se sabe además que el 70 % de la población tiene seguro de enfermedad y la proporción de individuos asegurados y enfermos respecto del total de la población es del 25 %. Determinar la probabilidad de:

    a) Estar enfermo si se está asegurado.

    b) Estar sano si se está asegurado.

    c) Estar enfermo si no se está asegurado.

    d) ¿Son independientes los sucesos estar enfermo y asegurado?.

    Estaría bien??


    replythumb_up0 voto/sflag
    icon

    Antonius Benedictus
    el 27/2/17

    Lo corregimos:


    thumb_up0 voto/sflag