Hola mi estimados amigos de unicoos.
Os ruego ayuda con un problemita de geometría, cuerpos sólido. El cuald dice así: ____
■ Se secciona un cono de 10 cm de altura y 4 cm de radio por un plano paralelo a la base. Si el área de la sección obtenida es 13.58 cm2, ¿A qué distancia se encuentra la base del cono de dicho plano?
Y de antemano les agradezco por la colaboración, bendiciones y saludos.
Me podrian ayudar con este ejercicio, por favor.
Un terreno de forma cuadrangular se muestra en la figura y para su venta se requiere cercarlo completamente. Si el metro lineal de cerca cuesta $15, el metro cuadrado de terreno cuesta $ 75 y los gastos de tramitaciòn ascienden a $ 250, ¿ en cuànto se debe fijar el precio de venta si se quiere ganar
Tienes que calcular el lado X que te falta. Luego sumar la distancia de todos los lados y multiplicarlo por 15$ . A esto le sumas, 75 $ por el área del trapecio. Le vuelves a sumar 250 $ por la tramitación. Y a la suma de estas tres cantidades lo tienes multiplicar por 1.15 para ganar un 15%. Y el resultado final será el precio que se le debe de poner en la venta. Espero haberte ayudado. Saludos
Muchas gracias por estar aquí, me gustaría que me respondierais a este problema porque lo he intentado todo y no me sale. Muchísimas gracias por vuestra atención.
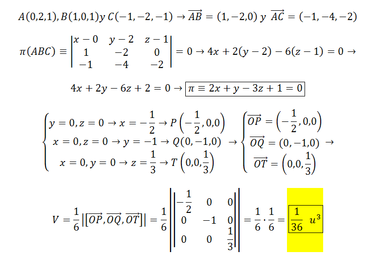
Sea el plano π que contiene a los puntos a(0,2,1), b(1,0,1) y c(-1,-2,-1). Calcular el volumen del tetraedro que forma el origen de coordenadas con los puntos de intersección de π con cada uno de los ejes coordenados.
Hola! pedido de ayuda!!! Encuentra la ecuación de la parábola cuyo foco es (-3;5) y pasa por el punto (2;4) Muchas gracias!
hacer rato me ayudaron con una suma de RIEMANN para f(x)= x^2-4 sobre [ -2,3 ] , pero no descompuso el intervalo <---- Caso Original
por ejemplo en un libro
una recta = -x+1 con intervalo [ -2,3 ] para hacer la suma de riemman ocupo hacerlo 2 veses, uno con [-2,1] y otro con [ 1,3 ] <---- ejemplo de libro
en mi problema orignal no se nesecita hacer 2 intervalos porque no cruza el eje de las x? esa es mi duda.

Lo siento pero Riemann solo se estudia en la universidad.. Y solo en algunos paises.. .Espero lo entiendas..
Lo ideal sería hacer integrales...
¿Podeis ayudarme? Explicadme como resolver problemas de ecuaciones de primer grado y segundo. Esque no se como hacer el procedimiento.
http://www.vitutor.com/ecuaciones/1/p_e.html
https://www.matesfacil.com/ESO/Ecuaciones/resueltos-problemas-ecuaciones.html
http://iescomplutense.es/old/mat/2eso/t07-problem-2.pdf
El departamento de innovación de una multinacional farmacéutica recibió una dotación de 1.360.000 € para realizar investigaciones sobre un nuevo fármaco. El dinero se dividió entre 100 científicos de tres grupos de investigación: A, B, C. Cada científico del grupo A recibió 20.000 €; cada científico del B, 8.000 € y cada uno del C recibió 10.000 €. El grupo de investigación B recibió la quinta parte de los fondos del grupo A. ¿Cuántos científicos pertenecen a cada grupo?