Foro de preguntas y respuestas de Matemáticas

logo beUnicoos
Los foros de unicoos se han unificado en nuestra nueva plataforma beUnicoos. Para dejar nuevas preguntas deberás hacerlo allí, donde además podrás encontrar nuevas asignaturas y herramientas para ayudarte más con tus estudios.

  • icon

    Adnan
    el 22/2/17

    como se determinan los puntos de inflexión ? hice la primera y segunda derivada y la iguale a 0 , pero no supe seguir


    replythumb_up0 voto/sflag
    icon

    Antonius Benedictus
    el 22/2/17


    thumb_up0 voto/sflag
  • icon

    leonardo
    el 22/2/17

    4 log x/2 + 3 log x/3= 5 log x - log 27 no puedo resolverlo. alguien que me pueda ayudar por favor. gracias

    replythumb_up0 voto/sflag
    icon

    Guillem De La Calle Vicente
    el 22/2/17


    thumb_up1 voto/sflag
    icon

    Antonius Benedictus
    el 22/2/17


    thumb_up1 voto/sflag
    icon

    leonardo
    el 22/2/17

    hola Antonio no comprendo tu ejemplo: porque 2 log x=4 log 2 pasa a convertirse luego a: log x=2 log 2?

    thumb_up0 voto/sflag
    icon

    leonardo
    el 22/2/17

    hola Guillem tu ejemplo no comprendo que pasa luego con el 3x elevado a la 5?

    thumb_up0 voto/sflag
    icon

    Antonius Benedictus
    el 22/2/17

    Paso el factor 2 del primer miembro, al segundo miembro dividiendo.

    thumb_up1 voto/sflag
    icon

    leonardo
    el 22/2/17

    ah listo ahora entendí mejor, osea divide al 4 pero no al 2 que acompaña al logaritmo del segundo miembro. verdad?

    thumb_up0 voto/sflag
    icon

    leonardo
    el 22/2/17

    otra consulta antonio, yo para verificarlo hice el calculo de una, nose si estará bien hacerlo así, en si los resultados concuerdan, pero por ahí hay otra forma de realizarlo. gracias.

    thumb_up0 voto/sflag
    icon

    leonardo
    el 23/2/17

    hola antonio una consulta en donde el logaritmo se transforma a 2 log x=4 log 2. 

    no se puede pasar el 2 y el 4 como potencia??

    thumb_up0 voto/sflag
  • icon

    Matemáticas
    el 22/2/17

    Sean los conjuntos R={x reales: x²-x≤0}, S={x reales: x≥1} y T={x reales: -(x-1)(x-3)≥0}. Prueba que

    El conjunto R ∩ S es un subconjunto de T.

    replythumb_up0 voto/sflag
    icon

    Antonius Benedictus
    el 22/2/17


    thumb_up0 voto/sflag
  • icon

    Rodrigo
    el 22/2/17

    Hola, buenas tardes! Quisiera que me explicases como poder resolver problemas de matemáticas que me lío mucho con ellos y no puedo resolverlo y me pongo muy nervioso por no poder resolverlo. Ecuaciones de primer y segundo grado

    replythumb_up0 voto/sflag
    icon

    Axel Morales Piñón.
    el 22/2/17

     Adjunta un par de ejercicios Rodrigo.

    thumb_up0 voto/sflag
  • icon

    Big Daddy
    el 22/2/17
    flag

    ¿Sigue habiendo ejercicios resueltos?

    replythumb_up0 voto/sflag
    icon

    José Manuel
    el 22/2/17

    Dary, los ejercicios resueltos están disponibles para los usuarios pro.

    thumb_up0 voto/sflag
  • icon

    Sumi
    el 22/2/17

    Buenas, me podrían ayudar a seguir el ejercicio, supe hacer hasta eso....Muchas gracias😊😊😊

    replythumb_up0 voto/sflag
    icon

    César
    el 22/2/17

    Repasalo por favor


    thumb_up1 voto/sflag
    icon

    Sumi
    el 23/2/17

    Muchas gracias, pero me refería al ejercicio 75 jajajajajaja.

    thumb_up0 voto/sflag
  • icon

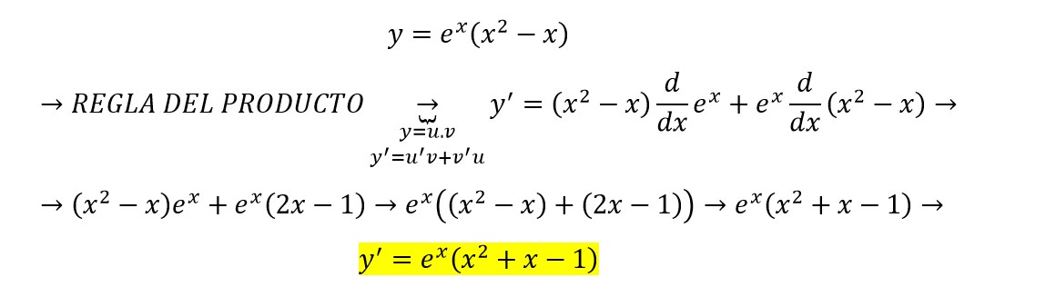
    Manu
    el 22/2/17

    Me gustaría saber si las dos derivadas que están rodeadas de naranja están correctamente hechas.

    replythumb_up0 voto/sflag
    icon

    César
    el 22/2/17


    thumb_up1 voto/sflag
    icon

    Axel Morales Piñón.
    el 22/2/17


    thumb_up1 voto/sflag
    icon

    Manu
    el 22/2/17

    Gracias Cesar.

    Axel, lo que has hecho es, hacer una derivada de una derivada?

    Me parece genial pero, cual sería el sentido, ¿para que vea como hacer una derivada al reves de como la piden o, hacer la derivaba de una función de función?


    thumb_up0 voto/sflag
  • icon

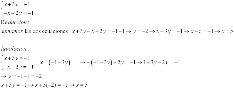
    Alejandro Expósito
    el 22/2/17

    x+3y=−1

    −x−2y=−1

    este sistema me da x=−16 e Y=5

    me podeis decir si esta bien y si esta mal ponerme como es (por igualación) gracias


    replythumb_up0 voto/sflag
    icon

    César
    el 22/2/17

    Mejor reducción 

    thumb_up0 voto/sflag
  • icon

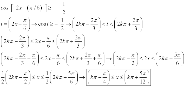
    Andres Valenzuela
    el 22/2/17

    Buen día. 

    Me podrían ayudar por favor. Me piden resolver de forma analítica la inecuación trigonométrica.

    Cos [ 2x - (π/6) ] ≥ - 0.5

    Respuesta:     - (π/4) ≤ x ≤ (5π/12)

    Gracias de antemano

    replythumb_up0 voto/sflag
    icon

    César
    el 22/2/17


    thumb_up0 voto/sflag
    icon

    Antonius Benedictus
    el 22/2/17


    thumb_up0 voto/sflag
  • icon

    Alejandro Expósito
    el 22/2/17

    alguien me recomienda algún video de sistemas de ecuaciones de reduccion igualación y de sustitucion

    replythumb_up0 voto/sflag