Foro de preguntas y respuestas de Matemáticas

logo beUnicoos
Los foros de unicoos se han unificado en nuestra nueva plataforma beUnicoos. Para dejar nuevas preguntas deberás hacerlo allí, donde además podrás encontrar nuevas asignaturas y herramientas para ayudarte más con tus estudios.

  • icon

    Francesc Llobera Bennasar
    el 22/2/17

    me las podeis resolver

    replythumb_up0 voto/sflag
    icon

    César
    el 22/2/17

    1.25x   tiene como dominio todo R

    0.8x   tiene como dominio todo R


    thumb_up0 voto/sflag
    icon

    César
    el 22/2/17


    thumb_up0 voto/sflag
  • icon

    leonardo
    el 22/2/17

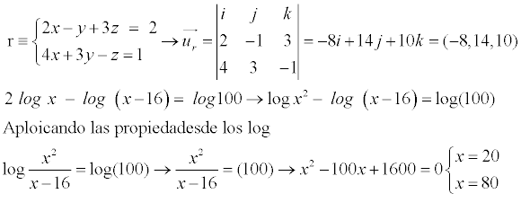
    hola tengo dudas con estos ejercicios logarítmicos:  2 log x - log (x-16)= log100. 

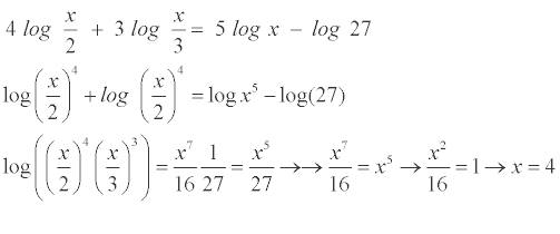
    y otro es 4 log x/2 + 3 log x/3= 5 log x - log 27. gracias por la respuesta.

    replythumb_up0 voto/sflag
    icon

    César
    el 22/2/17


    thumb_up1 voto/sflag
    icon

    leonardo
    el 22/2/17

    gracias cesar. tengo otro que me cuesta resolver que es este: 4 log x/2 + 3 log x/3= 5 log x - log 27. me ayudarías con esta ultima por favor? gracias.

    thumb_up0 voto/sflag
    icon

    César
    el 22/2/17


    thumb_up0 voto/sflag
    icon

    leonardo
    el 22/2/17

    porque queda x elevada a la 7 y el otro un 1 nomas?

    thumb_up0 voto/sflag
    icon

    leonardo
    el 22/2/17

    queda x elevada 7 dividido 16 y el otro 1/27. porque?

    thumb_up0 voto/sflag
    icon

    leonardo
    el 22/2/17

    no logro comprenderlo disculpame. 

    thumb_up0 voto/sflag
  • icon

    Lucía
    el 22/2/17

    Juan le dice a Javier : si cambio los billetes de 10€ que tengo por billetes de 5€, y los billetes de 5€ por los de 10€, seguiré teniendo el mismo dinero. Calcula el dinero que tengo si en total tengo 40 billetes

    replythumb_up0 voto/sflag
    icon

    César
    el 22/2/17


    thumb_up1 voto/sflag
  • icon

    Antonio Marquez Honrado
    el 22/2/17

    Alguien sabe que me piden si me dan este ejercicio

    3x+ay=1

    2x-y+az=1

    ax-3y+2z=1

    Es calcular el rango pero no se hacerlo alguien me pasa un video o explicacion buena sobre ello por favor

    replythumb_up0 voto/sflag
    icon

    Nerea
    el 22/2/17

    icon

    Pablo Reyes
    el 22/2/17

    Ejercicio típico. Plantea la matriz de 3x4

    haz el determinante de 3x3, te saldra una ecuación en función de a. La resuelves. Te dará unos valores, para todo valor distinto de a que resuelva la ecuación será SCD.

    y para los que te salga tienes que ir viendo uno por uno, te saldrán o SCI o SI. No hay más.

    thumb_up0 voto/sflag
  • icon

    Óscar Míguez
    el 22/2/17

    2 problemas de ecuaciones.

    Buenas tardes si me lo pueden detallar.

    1º Esther y Ramón han recorrido, en total, 275 km del camino de Santiago. El primer día recorrieron 25 km más que el segundo, y el tercero, el doble de kilómetros que el primero. Calcula la distancia recorrida cada día.

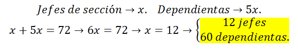
    2º En un gran almacén hay 5 dependientas por cada jefe de sección. Si en total trabajan 72 personas, ¿cuantos dependientes y cuántos jefes de sección hay?


    replythumb_up0 voto/sflag
    icon

    Antonius Benedictus
    el 22/2/17


    thumb_up1 voto/sflag
    icon

    Antonius Benedictus
    el 22/2/17


    thumb_up1 voto/sflag
  • icon

    Carlos Valverde
    el 22/2/17

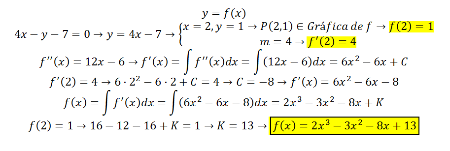
    David, necesito ayuda con este problema que no sé resolver

    Halla la función  f:R->R   f''(x)=12x-6 y que la tangente a la gráfica de f en x=2 tiene de ecuación 4x-y-7=0

    replythumb_up0 voto/sflag
    icon

    Antonius Benedictus
    el 22/2/17


    thumb_up1 voto/sflag
  • icon

    Andres Montoro Menor
    el 22/2/17
    flag

    Como la paso a parametrica? Me da siempre mal 

    replythumb_up0 voto/sflag
    icon

    David
    el 26/2/17

    Resolviendo el sistema compatible indeterminado.. Si z=λ
    Sistema Compatible Indeterminado 01

    thumb_up0 voto/sflag
  • icon

    Francesc Llobera Bennasar
    el 22/2/17

    Alguien me puede ayudar a representar las siguientes funciones y encontrar el dominio de definición

    replythumb_up0 voto/sflag
    icon

    Ángel
    el 23/2/17

    a) f(x)= y= 2*x


    El dominio de la función 2x es [0,inf), porque la "x" no puede ser negativa en R, ya que no existe raíz cuadrada de un nº negativo


    thumb_up0 voto/sflag
  • icon

    Lucía Sánchez
    el 22/2/17

    Hola, me podrían ayudar?

    replythumb_up0 voto/sflag
    icon

    Guillem De La Calle Vicente
    el 22/2/17


    thumb_up0 voto/sflag
  • icon

    Matemáticas
    el 22/2/17

    Responder la siguiente cuestión utilizando demostraciones:

    Un triángulo rectángulo ΔABC, con el ángulo recto en C, si sin  = sin B, es isósceles? Puede ser equilátero?


    replythumb_up0 voto/sflag
    icon

    Antonius Benedictus
    el 22/2/17

    Como A y B son agudos, sin A=sin B→A=B→ Triángulo idosceles.

    Un triángulo rectángulo ¡nunca! puede ser equilátero.

    thumb_up0 voto/sflag