Considero estas tres funciones, sin necesidad de desarrollarlas por que, al X tender a inf, en la sustitución de cada X por inf, dará inf y por tanto serán indeterminaciones.
O, ¿hay que desarrollarlas para determinar la gráfica aplicando las reglas, con números aleatorios, desde el 0, 1, -1, 2, -2, 3, -3, 4, -4 ...sabiendo que no tienen asintotas y,
converge o diverge dependiendo de los resultados de sustituir por otros valores que no sean inf?

En el a) diría que inf/inf^înf/inf es una indeterminación donde m > n
para b) diría que -inf/inf = 0 por que n > m
para c) diría que -inf/inf = 0 por que n >m
Pero, tendría que representar la gráfica dando valores a a x, 0, -1, 1, -2, 2, -3, 3 etc ?
Lo que no veo muy claro es, ¿Cómo saber si dar valores a X en vez de 0,1, -1, 2, -2 ... darle -10, -100, -1000...?
Encuentra la pendiente de la recta tangente a la curva dada
en el punto correspondiente al valor especificado del parámetro.
r = 3 + cos 3θ ; θ = π/2

Tienes las ecuaciones de cambio de coordenadas cartesianas a coordenadas polares:
x = r*cosθ
y = r*senθ
sustituimos la expresión de r en función de θ y quedan:
x = ( 3 + cos(3θ) )*cosθ, cuya derivada queda: dx/dθ = -3sen(3θ)*cosθ - ( 3 + cos(3θ) )*senθ,
y = ( 3 + cos(3θ) )*senθ, cuya derivada queda: dy/dθ = -3sen(3θ)*senθ + ( 3 + cos(3θ) )*cosθ,
luego, evaluamos las derivadas para θ = π/2 y quedan:
dx/dθ = -3*(-1)*0 - ( 3 + 0 )*(-1) = 0 + 3 = 3,
dy/dθ = -3*(-1)*1 + ( 3 + 0 )*0 = 3 + 0 = 3;
luego planteamos para la pendiente de la recta tangente:
m = dy/dx = (dy/dθ) / (dx/dθ) = 3/3 = 1.
Espero haberte ayudado.

a)
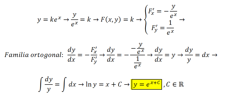
Tienes la ecuación de la familia de curvas:
y = k*ex, luego derivamos con respecto a x (lo que nos conduce a las pendientes de las rectas tangentes) y queda:
y ' = k*ex, luego observa la relación:
y ' = y;
luego planteamos para la familia de trayectorias ortogonales (recuerda la relación entre las pendientes de dos rectas perpendiculares):
y ' = -1/y, hacemos pasaje de divisor como factor y queda:
y*y ' = -1, escribimos a la derivada como cociente de diferenciales y queda:
y*dy/dx = 1, hacemos pasaje de divisor como factor y queda:
y*dy = - dx, integramos miembro a miembro y queda:
(1/2)*y2 = - x + c, multiplicamos por 2 en todos los términos de la ecuación y queda:
y2 = - 2x + 2c, renombramos a la constante arbitraria 2c = C y queda:
y2 = - 2x + C, que es una ecuación cartesiana implícita de la familia de trayectorias ortogonales, luego hacemos pasaje de potencia como raíz y queda :
y = √(- 2x + C), que es la ecuación cartesiana explícita de la familia de trayectorias ortogonales.
b)
Tienes la ecuación de la familia de curvas:
y =ekx, luego tomamos logaritmos naturales en ambos miembros y queda:
ln(y) = kx, hacemos pasaje de factor como divisor y queda:
ln(y)/x = k, derivamos con respecto a x en ambos miembros y queda:
( (1/y)*y ' * x - ln(y)*1 )/x2 = 0, hacemos pasaje de divisor como factor y queda:
(1/y)*y ' * x - ln(y) = 0, multiplicamos por y en todos los términos de la ecuación y queda:
x*y ' - y*ln(y) = 0, hacemos pasaje de término y queda:
y ' = y*ln(y)/x;
luego planteamos para la familia de trayectorias ortogonales (recuerda la relación entre las pendientes de dos rectas perpendiculares):
y ' = - x / y*ln(y), escribimos a la derivada como cociente de diferenciales y queda:
dy/dx = - x / y*ln(y), hacemos pasajes de divisores como factores y queda:
ln(y)*y*dy = - x*dx, integramos en ambos miembros (con el método de integración por partes en el primer miembro) y queda:
(1/2)*y2*ln(y) - (1/4)*y2 = - (1/2)*x2 + c, multiplicamos por 4 en todos los términos de la ecuación y queda:
2y2*ln(y) - y2 = - 2x2 + 4c, renombramos a la constante arbitraria 2c = C y queda:
2y2*ln(y) - y2 = - 2x2 + C, que es la ecuación cartesiana implícita de la familia de trayectorias ortogonales,
y observa que no es posible obtener una ecuación explícita.
Luego, observa que la tarea consiste en eliminar la constante característica de la familia de curvas (k) entre su ecuación y la ecuación de su derivada, para luego plantear la condición de perpendicularidad, para terminar integrando.
Espero haberte ayudado.