Hola Unicoos, alguna idea para demostrar el ejercicio 1.35 adjunto el Teresa 1.16 en el siguiente imagen
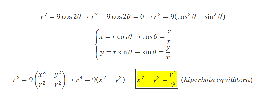
como se realiza este ejercicio.
transforma la ecuacion a coordenadas polares:
r2 =9cos2x
Tiramos un dado de seis caras 10 veces. cuantas diferentes combinaciones hay teniendo en cuenta que salen exactamente cuatro 3 y cuatro 6
Al decir exactamente entiendo que en las otras 2 posibilidades no puede salir otra vez ni el 3 ni el 6. Entiendo que el orden es importante y que obviamente se permite repetición.
En la solución dice que el número es 50400 pero no consigo que me de...
Gracias
Hola buen día unicoos, alguien podría de favor ayudarme con el enunciado adjunto en la imagen.
Gracias de antemano

Observa que tienes un conjunto de diez números, ordenados en forma creciente. Luego, recuerda que la mediana para un conjunto con cantidad par de elementos es el promedio de los dos elementos centrales:
5° elemento: k,
6° elemento: 17,
luego como tenemos que la mediana es igual a 16, planteamos:
(k + 17)/2 = 16, hacemos pasaje de divisor como factor y queda:
k + 17 = 32, hacemos pasaje de término y queda:
k = 15.
Espero haberte ayudado.
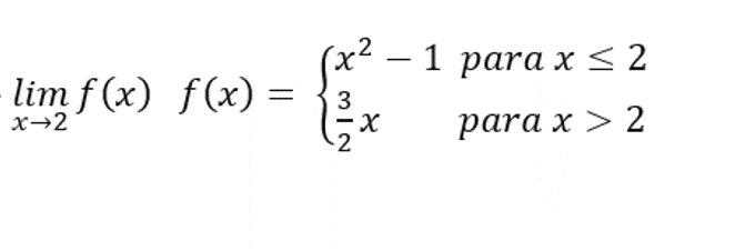
Buenas noches, gracias por todos los videos, me han ayudado de mucho en mis clases de calculo, ahora quisiera que me ayudaran con este ejercicio de limites ![]()

Observa que x tiende a 2, y que x = 2 es el punto de corte entre los dos trozos de la función, por lo que planteamos límites laterales:
Lím(x→2-) f(x) = Lím(x→2-) (x2 - 1) = evaluamos = 22 - 1 = 4 - 1 = 3,
Lím(x→2+) f(x) = Lím(x→2+) (3/2)x = evaluamos = (3/2)*2 = 3,
luego, como los límites laterales coinciden, concluimos:
Lím(x→2) f(x) = 3.
Espero haberte ayudado.
Buenas. ¿Me podrían decir cómo hago esta inecuación? desde ya muchas gracias.
Resolver en, paréntesis recto 0,2 pi) .
tg x (1- sen2 x) + senx ≤ 0

Tienes el intervalo: D = [0,2π).
Observa que en el factor del paréntesis tenemos: 1 - sen2x = cos2x, sustituimos y queda:
tanx*cos2x + senx ≤ 0, luego, sustituimos la tangente por su expresión en función del seno y del coseno, y la inecuación queda:
(senx/cosx)*cos2x + senx ≤ 0, simplificamos en el primer término y queda:
senx*cosx + senx ≤ 0, extraemos factor común y queda:
senx*(cosx + 1) ≤ 0, que nos conduce a dos opciones:
1) senx ≥ 0 y cosx + 1 ≤ 0,
2) senx ≤ 0 y cosx + 1 ≥ 0.
Luego, pasamos a tratar cada opción por separado:
1)
senx ≥ 0 nos conduce al primero o al segundo cuadrante, por lo que tenemos: x ∈ [0,π],
cosx + 1 ≤ 0, hacemos pasaje de término y queda:
cosx ≤ -1, que nos conduce a: cosx = -1 (recuerda que el coseno toma valores comprendidos entre -1 y 1), que corresponde a: x = π;
2)
senx ≤ 0 nos conduce al tercero o al cuarto cuadrante, por lo que tenemos: x ∈ [π,2π),
cosx + 1 ≥ 0, hacemos pasaje de término y queda:
cosx ≥ - 1, qque nos conduce a: cosx = - 1 (recuerda que el coseno toma valores comprendidos entre -1 y 1), que corresponde a x = π.
luego, concluimos que el conjunto solución de la inecuación es: S = { π }.
Espero haberte ayudado.