Sobre una partícula a x metros del origen , actúa una fuerza F(x) = 3x2 +2x (N) . ¿Qué trabajo realiza F al moverla desde x= 1 hasta x= 5 m ? ( El trabajo se calcual como W = ∫ entre cinco y uno F(dx) ) .
Me ha dado 19, 78 J pero no sé si está bien

Planteaste correctamente la integral de trabajo, pero observa que debes evaluar entre:
posición inicial (x = 1) y posición final (x = 5).
luego tienes para el cálculo del trabajo mecánico (empleamos el sistema de unidades MKS):
W = ∫ F(x)*dx = ∫ (3x2 + 2x)*dx = integramos = [x3 + x2] para evaluar entre x = 1 y x = 5;
luego evalúas con la Regla de Barrow y queda:
W = (53 + 52) - (13 + 12) = 150 - 2 = 148 (en J).
Espero haberte ayudado.
´Hola! Podríais ayudarme con este ejercicio de posiciones relativas de la circunferencia?? Gracias! :
Calcula la Potencia de los puntos A(0, 0), B(5, 1), C(4, 0) respecto de la circunferencia C:x2+y2=16
Hola podrían ayudarme!!
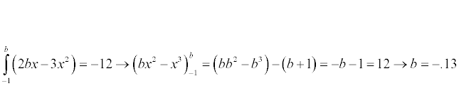
El polinomio p(x)= x^2 +ax +b se anula en x=2 i cumple º ∫² p(x)dx= 4. (en la integral definida el numero de abajo es 0 i arriba 2)
Tengo que calcular a i b y no sé hacerlo

Tienes la expresión de la función polinómica: p(x) = x2 + ax + b.
Luego, a partir del enunciado planteamos:
a)
p(2) = 0, evaluamos en el primer miembro:
22 + a*2 + b = 0, resolvemos términos y queda:
4 + 2a + b = 0, hacemos pasaje de término y queda:
2a + b = - 4 (1).
b)
0∫2 p(x)dx = 4, sustituimos el argumento de la integral:
0∫2 (x2 + ax + b)*dx = 4, integramos (indicamos con corchetes que debemos evaluar con Regla de Barrow entre 0 y 2):
[ x3/3 + ax2/2 + bx ] = 4, evaluamos:
(8/3 + 2a + 2b) - 0 = 4, cancelamos el término nulo y hacemos pasaje de término:
2a + 2b = - 8/3, dividimos en todos los términos de la ecuación por 2:
a + b = - 4/3 (2).
Luego, con las ecuaciones señaladas (1) (2) tenemos el sistema:
2a + b = - 4
a + b = - 4/3
cuya solución es: a = - 8/3, b = 4/3.
Luego, concluimos que la expresión de la función polinómica es p(x) = x2 - (8/3)x + 4/3.
Espero haberte ayudado.

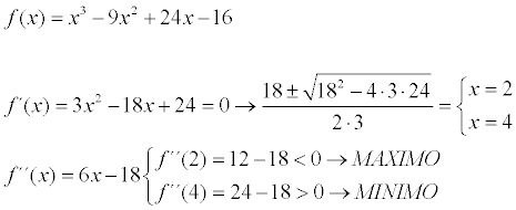
Observa que la función en continua y derivable en el intervalo D = (1,5), que es un intervalo abierto.
Luego tienes la función cuya expresión es:
f(x) = x3 - 9x2 + 24x -16, luego planteamos la expresión de la función derivada primera:
f ' (x) = 3x2 - 18x + 24, luego planteamos la condición de punto crítico (posible máximo o posible mínimo):
f ' (x) = 0, sustituimos y queda:
3x2 - 18x + 24 = 0, dividimos por 3 en todos los términos de la ecuación y queda:
x2 - 6x + 8 = 0, que es una ecuación polinómica cuadrática, cuyas soluciones son:
x = 2, que pertenece al intervalo D, y
x = 4, que pertenece al intervalo D.
Luego, evaluamos la función en los puntos críticos, y tomamos límites de la función tendiendo a los extremos abiertos del intervalo:
Lím(x→1+) f(x) = Lím(x→1+) (x3 - 9x2 + 24x -16) = 1 - 9 + 24 - 16 = 0,
f(2) = 23 - 9*22 + 24*2 - 16 = 8 - 36 + 48 - 16 = 4,
f(4) = 43 - 9*42 + 24*4 - 16 = 64 - 144 + 96 - 16 = 0,
Lím(x→5-) f(x) = Lím(x→5-) (x3 - 9x2 + 24x -16) = 125 - 9*25 + 24*5 - 16 = 4.
Luego, tenemos que la función alcanza:
un mínimo absoluto en x = 4, y para él tenemos: f(4) = 0,
un máximo absoluto en x = 2, y para él tenemos: f(2) = 4;
y también tenemos que la función no alcanza máximos locales, como tampoco alcanza mínimos locales en el intervalo D.
Puedes corroborar todas las conclusiones por medio de un gráfico.
Espero haberte ayudado.

Recuerda que el ingreso es igual a la suma entre la utilidad y el costo:
I(q) = U(q) + C(q), sustituimos expresiones, reducimos términos semejantes y queda:
I(q) = 2q3 + 3000q, que expresa el ingreso del dinero por producir y vender q unidades.
Luego, planteamos la resta entre el ingreso obtenido por producir y vender treinta y una unidades y el ingreso obtenido por producir y vender treinta unidades, y obtenemos el ingreso obtenido por la venta de la unidad número treinta y uno (y):
y = I(31) - I(30) = (2*313 + 3000*31) - (2*303 + 3000*30) = 152582 - 144000 = 8582 (en Soles).
Espero haberte ayudado.

a)
Puedes plantear (indicamos razón de cambio promedio con r):
r = ΔU/Δq = (U2 - U1)/(q2 - q1),
donde:
q1 = 600, de donde tenemos: U1 = U(600) = - 0,1*6002 + 350*600 - 150000 = 24000;
q2 = 800, de donde tenemos: U1 = U(800) = - 0,1*8002 + 350*800 - 150000 = 66000;
luego reemplazamos en la expresión de la razón de cambio promedio de la utilidad y queda:
r = (66000 - 24000)/(800 - 600) = 42000/200 = 420 (en cientos de dólares / unidad producida y vendida).
Luego, concluimos que la razón de cambio promedio es de 42000 dólares por unidad producida y vendida.
b)
Tienes la expresión de la función utilidad:
U(q) = - 0,1*q2 + 350*q - 150000, luego planteamos la expresión de la función derivada:
U ' (q) = - 0,2*q + 350;
luego evaluamos para q = 700 y queda:
U ' (700) = - 0,2*700 + 350 = 210 (en cientos de dólares / unidad producida y vendida).
Luego, concluimos que la razón de cambio instantánea es 21000 dólares por unidad producida y vendida, cuando se han producido y vendido setecientas unidades
Espero haberte ayudado.