Foro de preguntas y respuestas de Matemáticas

logo beUnicoos
Los foros de unicoos se han unificado en nuestra nueva plataforma beUnicoos. Para dejar nuevas preguntas deberás hacerlo allí, donde además podrás encontrar nuevas asignaturas y herramientas para ayudarte más con tus estudios.

  • icon

    JUAN AMPIE
    el 25/1/17

    Como resuelvo esta desigualdad

    (X2-X-2)/(X2-4X+3) > 0



    replythumb_up0 voto/sflag
    icon

    Antonius Benedictus
    el 26/1/17


    thumb_up0 voto/sflag
  • icon

    Dipika Holos
    el 25/1/17

    la indeterminación infinito partido 0? es infiito?

    en un limite por ejemplo

    limite x-> - infinito de : (2x^2 -3x)/(e^x)

    replythumb_up0 voto/sflag
    icon

    Antonius Benedictus
    el 25/1/17

    Es infinito, en efecto

     No es una indeterminación.

    thumb_up0 voto/sflag
  • icon

    JUAN AMPIE
    el 25/1/17

    Me ayudan con esta desigualdad Por favor y gracias

    (1/3)X - 4 ≤ (1/4)X - 6


    replythumb_up0 voto/sflag
    icon

    Antonio Silvio Palmitano
    el 25/1/17

    Haces pasajes de términos y queda:

    (1/3)x - (1/4)x ≤ - 6 + 4

    resuelves en ambos miembros y queda:

    (1/12)x ≤ - 2

    multiplicas en ambos miembros por 12 (observa que como es un factor positivo no cambia la desigualdad) y queda:

    ≤ - 24

    Espero haberte ayudado.

    thumb_up3 voto/sflag
  • icon

    Ronal Modesto
    el 25/1/17

    ayudenme porfavor amigos 

    replythumb_up0 voto/sflag
    icon

    Antonius Benedictus
    el 25/1/17


    thumb_up0 voto/sflag
    icon

    Axel Morales Piñón.
    el 25/1/17


    thumb_up0 voto/sflag
    icon

    Antonius Benedictus
    el 25/1/17


    thumb_up0 voto/sflag
  • icon

    JUAN AMPIE
    el 25/1/17
    flag


    Cual es él valor numérico de 8ab+4b-3a


    replythumb_up0 voto/sflag
    icon

    David
    el 26/1/17

    Si no nos dices cual es el valor de a y b....

    thumb_up1 voto/sflag
  • icon

    Clara García
    el 25/1/17
    flag

    ¿podrian hacer un video sobre las progresiones geométricas? 

    replythumb_up0 voto/sflag
    icon

    David
    el 26/1/17

    :(
    Si buscas progresiones geometricas con el boton de busqueda.....

    Progresiones geométricas

    thumb_up0 voto/sflag
  • icon

    Dipika Holos
    el 25/1/17

    no entiendo por qué la derivada de   (2 * a * cosx)' = -2senx, en donde la aes una incógnita, por qué desaparece? la derivada paso a paso porfa 

    replythumb_up0 voto/sflag
    icon

    Axel Morales Piñón.
    el 25/1/17


    thumb_up1 voto/sflag
    icon

    Antonius Benedictus
    el 25/1/17

    ¡No desaparece!

    La derivada es (-2a)·sin x

    thumb_up2 voto/sflag
  • icon

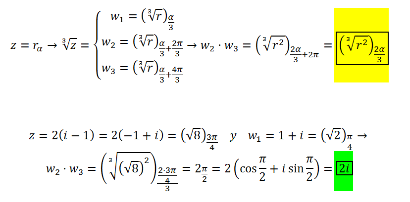
    Nacho
    el 25/1/17

    me dan una mano con este ejercicio, se me esta coplicado un poco con el tema de la notacion polar, es posible hacerlo de otra forma????


    replythumb_up0 voto/sflag
    icon

    Antonius Benedictus
    el 25/1/17


    thumb_up0 voto/sflag
    icon

    César
    el 25/1/17


    thumb_up1 voto/sflag
  • icon

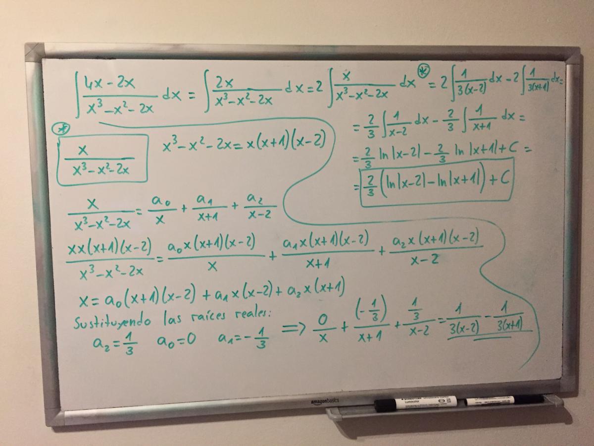
    Pilar
    el 25/1/17

    Tendría bien hecha dicha integral ? 

    replythumb_up1 voto/sflag
    icon

    Antonius Benedictus
    el 25/1/17

    ¡Está perfecta, Pilar!

    thumb_up1 voto/sflag
  • icon

    Ronal Modesto
    el 25/1/17

    ayuden porfavor La imagen puede contener: textogracias

    replythumb_up0 voto/sflag
    icon

    Guillem De La Calle Vicente
    el 25/1/17


    thumb_up2 voto/sflag
    icon

    Axel Morales Piñón.
    el 25/1/17


    thumb_up1 voto/sflag