Hola, solo quiero saber si es cierta esta igualdad
arcsin x = -arccos x
Mas que nada porque estaba haciendo un ejercicios de integracion y yo he puesto que la primitiva era -arccos x y en las soluciones pone arcsin x
Muchas gracias
Hola Antonio,
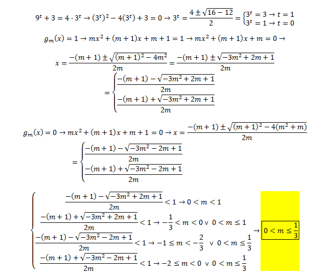
Necesito profundizar un poco en éste ejercicio. EN la primera parte hallaste las raíces de la ecuación exponencial y hallaste los valores de g sub m(x) para las raíces de la exponencial. Luego hallaste las raíces de g sub m(x) con imponiéndoles la condición de ser menores que 1. No comprendo los otros valores en los que están comprendidos las raíces de g sub m (x), ni el procedimiento general para la resolución del problema.
Gracias!

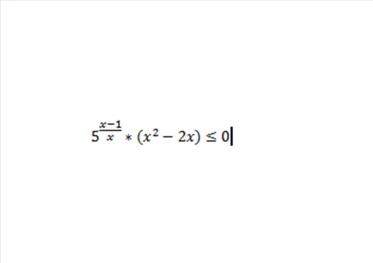
Para resolver tu inecuacion debes olvidarte la potencia pues 5 elevado a cualquier numero siempre será positivo...
el unico problema que presenta es que x debe ser distinto de 0 para que no se anule el denominador. Por tanto, tu inecuacion a resolver es x²-2x<=0 que está sobradamente explicada en los videos de inecuaciones. Echales un vistazo.
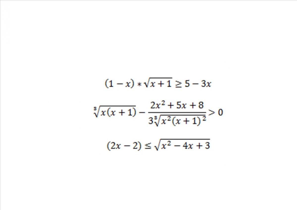
Para el segundo...(no sé si este proceso te llevará a una solución adecuada)
Pasamos la fracción que está restando al lado derecho sumando
Después pasamos el denominador de la fracción multiplicando al izquierdo
Resolvemos la ecuación de segundo grado del lado derecho y lo dejamos expresado como (x-x1)(x-x2)
Manipulamos las raíces cúbicas del lado izquierdo
Mediante el estudio de los intervalos definidos por las raíces y las restricciones del signo > , encontrar una solución
Buenas noches.Alguien puede mostrarme como se pasa esta ecuaicon general a forma canonica? Por alguna razon no llego a la forma correcta, y no logro ver cual e smi error.
4x^2+9y^2-48x+72y+144=0
Gracias
Aquí está muy bien mostrado con un ejercicio análogo, explicado paso a paso:
https://www.youtube.com/watch?v=aZ3lS9N1A18
Si quieres que te lo corrijamos, manda tu resolución e intentaremos encontrar tu error

Tienes la ecuación cuadrática implícita:
4x2 +9y2 - 48x + 72y + 144 = 0, ordenamos, asociamos términos según las incógnitas, hacemos pasaje del término constante y queda:
(4x2 - 48x) + (9y2 + 72y) = - 144, extraemos factores comunes en los agrupamientos y queda:
4(x2 - 12x) + 9(y2 + 8y) = - 144, sumamos y restamos en los agrupamientos para que queden trinomios cuadarados perfectos, y queda:
4(x2 - 12x + 36 - 36) + 9(y2 + 8y + 16 - 16) = - 144, factorizamos los trinomios cuadrados perfectos y queda:
4( (x - 6)2 - 36 ) + 9( (y + 4)2 - 16) = - 144, distribuimos los factores comunes en los agrupamientos y queda:
4(x - 6)2 - 144 + 9(y + 4)2 - 144 = - 144, hacemos pasajes de términos numéricos y queda:
4(x - 6)2 + 9(y + 4)2 = 144, dividimos en todos los términos de la ecuación por 144 y queda:
(x - 6)2/36 + (y + 4)2 /16 = 1.
Observa que tenemos la ecuación canónica de una elipse cuyos elementos son:
centro de simetría: C(6,-4),
eje focal: recta de ecuación: y = - 4,
semieje mayor: a = √(36) = 6,
semieje menor: b = √(16) = 4,
semidistancia focal: c = √(36 - 16) = √(20) ≅ 4,4721,
excentricidad: e = √(20)/6 ≅ 0,7454.
Espero haberte ayudado.
Hola, estoy viendo cálculo integral en mi bachillerato pero como saben, se necesita mucho de álgebra, desafortunadamente mis bases no están muy bien :( y tengo un problema integral de curvas que dice Y=2√x , Y=X
en todos lo problemas anteriores hemos igualado a cero y factorizado, sin embargo con este no sé qué hacer. He intentado resolverlo y me da que X=0 pero es imposible hacer una integral con ese resultado y menos graficar. Espero me puedan ayudar

Si el problema consiste en calcular el área de la región comprendida entre las gráficas de las curvas cuyas ecuaciones tienes en el enunciado, comencemos por buscar sus puntos de intersección, y para ello planteamos el sistema de ecuaciones:
y = 2√(x)
y = x
igualamos ambas ecuaciones y queda:
x = 2√(x), elevamos al cuadrado en ambos miembros y queda:
x2 = ( 2√(x) )2, distribuimos la potencia en el segundo miembro (observa que su base es un producto) y queda:
x2 = 4x, hacemos pasaje de término y queda:
x2 - 4x = 0, que es una ecuación cuadrática cuyas soluciones son:
x1 = 0, que al reemplazar en las ecuaciones del sistema nos conduce a: y = 0, por o que tenemos el punto de coordenadas: A(0,0),
x2 = 4, que al reemplazar en las ecuaciones del sistema nos conduce a: y = 4, por o que tenemos el punto de coordenadas: B(4,4),
luego, evaluamos las expresiones para un valor intermedio de la abscisa, por ejemplo x = 1 y queda:
en la primera curva: y = 2√(1) = 2*1 = 2,
en la segunda curva: y = 1,
observa que la primera curva toma el valor más alto, por lo que planteamos para el área de la región (obsreva que escribimos primerro la expresión correspondiente a la primera curva, y observa que evaluaremos luego entre x = 0 y x = 4):
A = ∫ ( 2√(x) - x) dx = ∫ ( 2x1/2 - x ) dx, integramos término a término y queda:
A = [ 2(2/3)x3/2 - (1/2)x2 ] = [(4/3)x3/2 - (1/2)x2 ], evaluamos con la Regla de Barrow entre 0 y 4 y queda:
A = ( (4/3)43/2 - (1/2)22 ) - ( (4/3)03/2 - (1/2)02 ) = ( 32/3 - 2 ) - ( 0 - 0 ) = 26/3.
Espero haberte ayudado.