Buenos dias. El ejercicio que no se hacer se trata de : Representar la siguiente funcion e indicar si tiene algun punto de discontinuidad.
f(x)=x-1 si x menor/cerrado 1
x al cuadrado -1 si 1menor x menor cerrado 2
x al cuadrado si x mayor 2
GRACIAS PROFE
Hay que estudiar la continuidad en x=1 y x=2, que son los posibles puntos de discontinuidad
En x=1
lim(x-->1-) x-1 = 0
lim(x-->1+) x2-1 = 0
Como coinciden los límites laterales, podemos concluir que es contínua en x=1
En x=2
lim(x-->2-) x2-1 = 3
lim(x-->2+) x2 = 4
Hay una discontinuidad de salto finito en x=2
La función de demanda de un determinado articulo es p = 200 - 2x y
la función de costo es C (x) = 200 + 4x: ¿En que nivel de producción se
maximizará la utilidad? ¿Cuál es la utilidad máxima? (problema de optimizacion)
en este tipo de problemas nose como abordarlo debido a la funcion de p=200-2x nose que hacer con ella si me pudieran ayudar. gracias : )
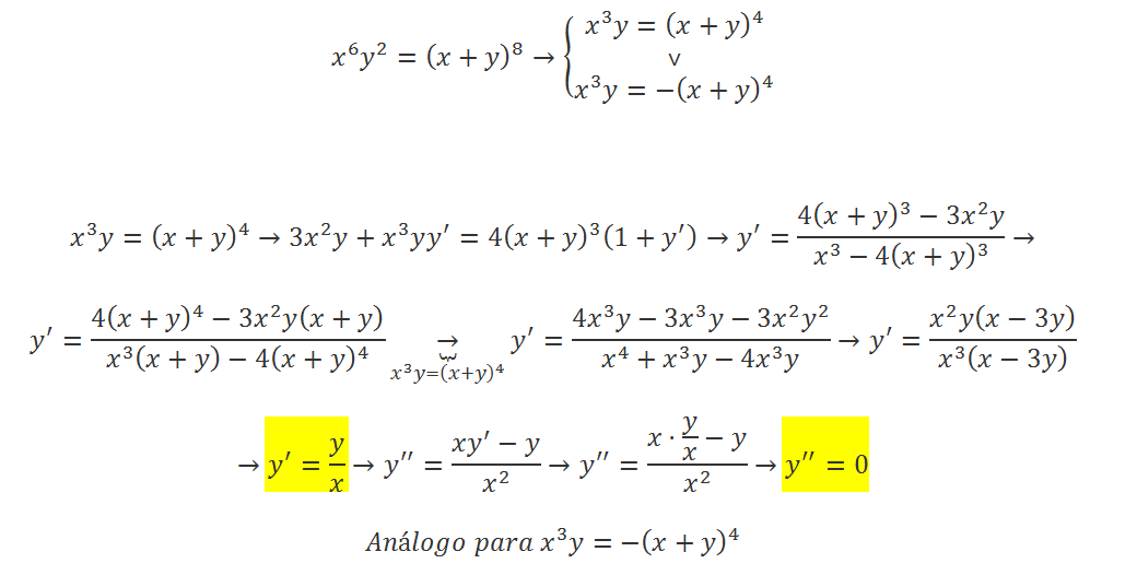
de la funcion implicita x6y2=(x+y)8 probar que: y´´ (la segunda derivada)=0
ayuda por favor a mi no me prueba pero lo hice extremadamante largo.
gracias de antemano
Buenas tardes! Alguien sabe resolver esta ecuación diferencial? La ultima vez nadie me hizo caso.. gracias

Me encantaría ayudarte, pero no respondo dudas universitarias que no tengan que ver específicamente con los videos que ya he grabado como excepcion. O de otras asignaturas que no sean matemáticas, física y química. Lo siento de corazón… Espero lo entiendas
Ojalá algun unicoo universitario se anime a ayudarte (de hecho lo ideal es que todos los universitarios intentarais ayudaros los unos a los otros)

Observa que tienes una función con dominio R, cuya expresión viene dada en dos trozos, donde cada trozo es continuo en su correspondiente subdominio.
Vamos con el estudio de la continuidad: observa que el único punto notable es x = 2, que es el punto de corte entre los dos trozos, por lo que aplicamos la definición:
f(2) = ∛(2 - 2) = ∛(0) = 0, por lo que tenemos que la función está definida en el punto notable;
luego pasamos a los límites laterales:
Lím(x→2+) f(x) = Lím(x→2+) ∛(x - 2) = Lím(x→2+) ∛(2 - 2) = ∛(0) = 0,
Lím(x→2-) f(x) = Lím(x→2-) x(x - 2) = 2(2 - 2) = 2*0 = 0,
luego, como los límites laterales coinciden, tenemos
Lím(x→2) f(x) = 0;
por lo tanto, como tenemos que el valor de la función en el punto notable es igual al límite de la función para x tendiendo al punto notable, tenemos que la función es continua en x = 2.
Vamos con el estudio de la derivabilidad, y para ello podemos plantear las derivadas laterales:
f ' (x) =
1 / 3∛( (x - 2)2 ) si x > 2
debemos estudiar si x = 2
2x - 2 si x < 2
Luego podemos plantear los límites de las derivadas laterales para x tendiendo a 2:
Lím(x→2+) f ' (x) = Lím(x→2+) 1 / 3∛( (x - 2)2 ) = +∞ (observa que el numerador es 1 y que el denominador tiende a cero por la derecha),
Lím(x→2-) f ' (x) = Lím(x→2-) (2x - 2) = 4 - 2 = 2,
luego, como los límites laterales de la función derivada no coinciden (y en este caso el límite por la derecha no existe), podemos visualizar que la función no es derivable en el x = 2.
Aclaramos que para ser rigurosos, deberíamos plantear el cálculo de las derivadas laterales empleando la definición.
Espero haberte ayudado.
me podeis ayudar con este problema
El lado de un cuadrado aumenta con la velocidad de 3 cm/s. ¿Cual es la velocidad de variacion del perimetro y del area del mismo ,en el momento en que el lado vale 32 cm?
me da 6 cm/s la del perímetro como la del área

Observa que la longitud del lado del cuadrado es una función del tiempo cuya expresión no conocemos.
Llamemos x a la longitud del lado (expresada en centímetros), y tenemos a partir del enunciado: x ' = dx/dt = +3 (expresada en centímetros sobre segundo, y positiva porque la longitud del lado está aumentando, también tenemos la longitud del lado en el instante de estudio: x0 = 32 (expresada en centímetros).
a) Planteamos para el perímetro (recuerda que el perímetro de un cuadrado queda expresado: P(x) = x + x + x + x = 4x).:
P(x) = 4x, que en el instante de estudio toma el valor: P(32) = 4*32 = 128 cm,
cuya derivada queda (observa que debemos aplicar la regla de la cadena): P ' (x) = +4*x ',
por lo que tenemos que en el instante de estudio, el perímetro está aumentando a razón de: P ' (4) = 4*3 = 12 cm/s.
b) Planteamos para el área (recuerda que el área de un cuadrado queda expresada: A(x) = x*x = x2):
A(x) = x2, que en el instante de estudio toma el valor: A(32) = 322 = 1024 cm2,
cuya derivada queda (observa que debemos aplicar la regla de la cadena): A ' (x) = 2x*x ',
por lo que tenemos que en el instante de estudio el área está aumentando a razón de: A ' (32) = 2*32*3 = 192 cm2/s.
Espero haberte ayudado.
Muchas gracias.
Siguiendo su planteamiento en este otro problema la solucion me da 0.0533 cm/seg pero la solución del libro dice que es 0,0127cm/seg. ¿Está bien?
Se infla un globo esférico y su volumen se incrementa en una proporción de 100 cm3/seg.
¿Que tan rápido aumenta el radio del globo cuando el diámetro es de 50 cm?

Observa que el radio de la esfera, y por lo tanto su diámetro, son funciones del tiempo cuyas expresiones no conocemos.
Recuerda que la expresión del volumen de una esfera en función de su radio es: V(r) = (4π/3)r3.
En el enunciado tenemos:
V ' = dV/dt = + 100 (expresado en cm3/s), y en el instante de estudio tenemos: r0 = 50/2 = 25 (expresado en cm).
Luego, planteamos la derivada de la función volumen (observa que debemos aplicar la regla de la cadena):
V ' (r) = 4πr2 * r ' (t),
luego, reemplazamos los datos referidos al instante de estudio y queda:
+ 100 = 4π(25)2 * r ' (t), resolvemos factores racionales en el segundo miembro y queda:
100 = 2500π * r ' (t), dividimos por 100 en ambos miembros y queda:
1 = 25π * r ' (t), hacemos pasaje de factores como divisores y queda:
1 / 25π = r ' (t), aproximamos con la calculadora y queda: r ' (t) ≅ + 0,0127 cm/s,
por lo que concluimos que el radio está aumentando a razón de 0,0127 cm/s cuando el volumen del globo aumenta a razón de 100 cm3/s.
Espero haberte ayudado.
Hay material sobre geometría 4 ESO (Areas, volumenes, figuras planas y esferas)?. Gracias
http://www.unicoos.com/asignatura/matematicas
buscala aqui si no tendrias que formulas tus preguntas como lo hacen todo haver si te ayudan.
saludos.
Troncho y Poncho te dan una idea sobre este tema :D
https://www.youtube.com/watch?v=DxE3bt-bUMg
https://www.youtube.com/watch?v=Z9HUSDwyuVQ
Se han capturado a varios famosos delincuentes, 60 mujeres y 105 hombres. la Prision solo tiene 15 celdas, aunque tienen bastante capacidad. decide encerrar a sus prisioneros separando a los hombres de las mujeres y metiendo en todas las celdas el mismo numero de prisioneros ¿podria hacerlo?

Llamemos x a la cantidad de prisioneros que debemos distribuir en las quince celdas.
Observa que 60 debe ser múltiplo de x, y observa que 105 también debe ser múltiplo de x, por lo que veamos cuáles son los divisores comunes de 60 y 105:
observa que el máximo común divisor entre 60 y 105 es 15 (observa: 60 = 4*15, y 105 = 7*15),
por lo que tenemos que los divisores naturales comunes de 60 y 105 son: 1, 3, 5, 15, que son las posibles cantidades de prisioneros, luego tenemos cuatro opciones:
a) ubicar un prisionero en cada celda, lo que requiere: 60/1 + 105/1 = 175 celdas, que no es una solución para este problema;
b) ubicar tres prisioneros en cada celda, lo que requiere: 60/3 + 105/3 = 20 + 35 = 55 celdas, que no es una solución para este problema;
c) ubicar cinco prisioneros en cada celda, lo que requiere: 60/5 + 105/5 = 12 + 21 = 33 celdas, que no es una solución para este problema;
d) ubicar quince prisioneros en cada celda, lo que requiere: 60/15 + 105/15 = 4 + 7 = 11 celdas, que no es una solución para este problema.
Por lo tanto, concluimos que no es posible distribuir 60 mujeres y 105 hombres en quince celdas, con la misma cantidad de personas en cada celda (tanto sean celdas ocupadas por mujeres, como sean ocupadas por hombres), y con mujeres y hombres sin compartir celda.
Espero haberte ayudado.
Buenos días,me preguntaba si alguien me podría explicar como hacer este problema de proporcionalidad.
Un padre deja en herencia a sus 4 hijos unos terrenos para que se repartan de forma inversamente proporcional a las edades. El hijo menor tiene 20 años, el mayor 40 y los dos restantes son gemelos de 30 años. Los terrenos que corresponden al hijo mayor junto con los que corresponden al hijo menor tienen en total una extensión de 270 Kilómetros cuadrados. Halla la extensión total de todos los terrenos dejados en herencia y la de los terrenos que corresponden a cada hijo.