Foro de preguntas y respuestas de Matemáticas

logo beUnicoos
Los foros de unicoos se han unificado en nuestra nueva plataforma beUnicoos. Para dejar nuevas preguntas deberás hacerlo allí, donde además podrás encontrar nuevas asignaturas y herramientas para ayudarte más con tus estudios.

  • icon

    thejuanvisu
    el 16/1/17

    Como se consigue el punto de corte entre un plano y una recta?

    La duda es de la pregunta 2a de la opcion b de selectividad de galicia de septiembre de 2013


    replythumb_up0 voto/sflag
    icon

    thejuanvisu
    el 16/1/17

    Gracias por la ayuda, pero el contenido del vídeo no me sirve para el ejercicio que estoy haciendo, lo que no consigo sacar es el punto de corte que me piden en la pregunta 2a de la opcion b de este examen: http://ciug.gal/docs/probas/2013/PAU_2013_MatematicasII.pdf

    thumb_up0 voto/sflag
    icon

    Guillem De La Calle Vicente
    el 16/1/17

    Del setiembre o del junio?


    thumb_up0 voto/sflag
    icon

    Antonius Benedictus
    el 16/1/17


    thumb_up1 voto/sflag
  • icon

    sus
    el 16/1/17

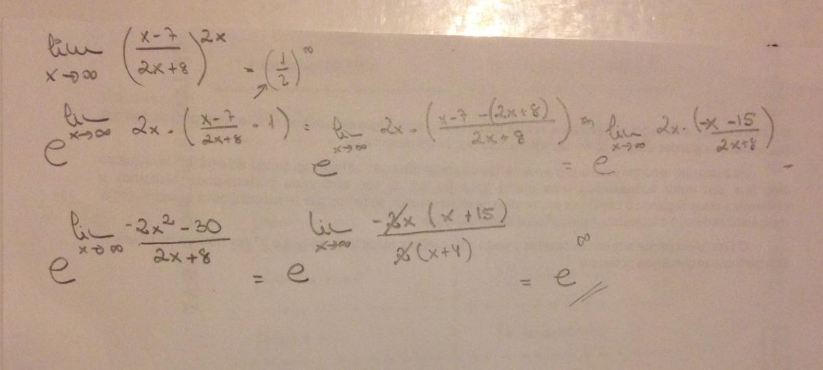
    Estaría esto bien?


    replythumb_up0 voto/sflag
    icon

    César
    el 16/1/17

    icon

    Antonius Benedictus
    el 16/1/17

    No se trata de una indeterminación 1^(inf).

     No hace falta aplicar el número e.

    (1/2)^(+infinito) sale 0.

    thumb_up1 voto/sflag
  • icon

    Kevin
    el 16/1/17
    flag

    ¿la representación de una función de valor absoluto tiene que estar siempre junto al eje horizontal?

    replythumb_up0 voto/sflag
    icon

    Ángel
    el 16/1/17

    ¿Puedes poner un ejemplo de tu duda?

    thumb_up1 voto/sflag
    icon

    Guillem De La Calle Vicente
    el 16/1/17

    Por favor aclare su problema específico o agregue detalles adicionales para resaltar exactamente lo que necesita. Como está escrito actualmente, es difícil decir exactamente lo que estás pidiendo.

    thumb_up0 voto/sflag
    icon

    Kevin
    el 16/1/17

    el enunciado es este: f(x)= 2 /x/ +3

    thumb_up0 voto/sflag
    icon

    Guillem De La Calle Vicente
    el 16/1/17

    Cual es el enunciado literal. Que te preguntan?



    thumb_up0 voto/sflag
    icon

    Kevin
    el 16/1/17

    preguntan como se define la función y representarla


    thumb_up0 voto/sflag
    icon

    Ángel
    el 16/1/17

    Manda una foto original, tu enunciado es bastante ambiguo

    thumb_up1 voto/sflag
    icon

    Ángel
    el 16/1/17


    thumb_up0 voto/sflag
    icon

    Kevin
    el 16/1/17

    es una funcion que nos mando la profe tras habernos dado la explicacion. En su ejemplo que era /x-3/ puso: x-3 si x mayor o igual que 3, y , -x+3 si x menor que 3. eso nos ha dicho que hagamos con la de 2/x/+3

    thumb_up0 voto/sflag
    icon

    Kevin
    el 16/1/17

    la x esta en valor absoluto no es 2 entre x

    el enuciado escrito seria asi: 2 valor absoluto de x mas 3

    thumb_up0 voto/sflag
    icon

    Guillem De La Calle Vicente
    el 16/1/17


    thumb_up0 voto/sflag
    icon

    David
    el 18/1/17

    REVISA ESTE VIDEO... 

    Funcion a trozos - Valor absoluto

    thumb_up0 voto/sflag
  • icon

    Deidara Stick.
    el 16/1/17

    Hola amigos de unicoos, alguien me podría ayudar con los siguientes problemas, son 2 en realidad, el segundo es el que me está dando problemitas. 


    El de la primera imagen me dió la alternativa d.) ...

    Muchas gracias de antemano...



    Gracias de antemano...

    replythumb_up0 voto/sflag
    icon

    Antonius Benedictus
    el 16/1/17


    thumb_up0 voto/sflag
  • icon

    lbp_14
    el 16/1/17

    Hola Unicoos, 

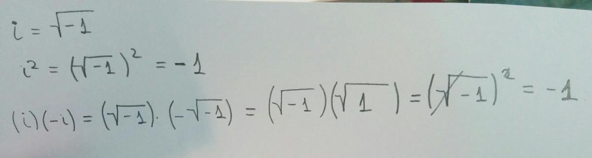
    Esta pregunta es muy simple sobre los números complejos pero me hago un poco de lío... Cuando escribimos (-i) a qué nos referimos?

    He hecho esta multiplicación (i)•(-i) pero creo que es errónea... Me podrían aclarar los conceptos?, Muchas gracias. 

    replythumb_up0 voto/sflag
    icon

    Ángel
    el 16/1/17

    i*(-i)=   -i2       (Sabemos que i2= -1, porque i=√-1, entonces (√-1)2=i2= -1 )


    i*(-i)=   - (-1)


    i*(-i)=   +1


    Como puedes observar, cuando escribimos -i2, nos referimos a -(-1), o lo que es lo mismo: el número 1


    thumb_up2 voto/sflag
  • icon

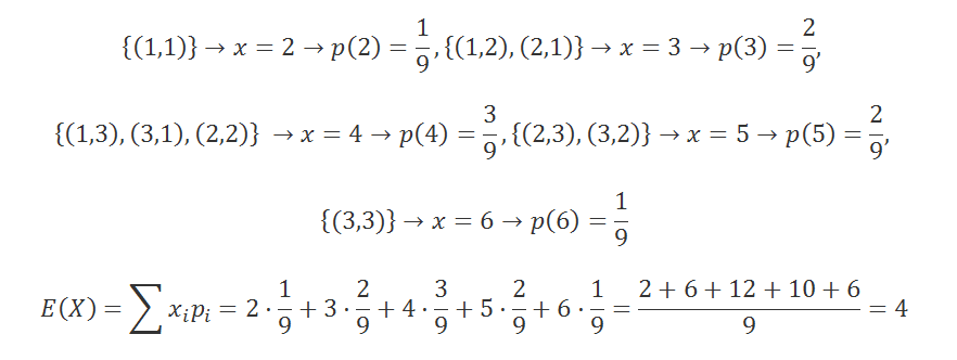
    Bet
    el 16/1/17

    Me podrían explicar estas 2 porfavor

    replythumb_up0 voto/sflag
    icon

    Antonius Benedictus
    el 16/1/17

    La varianza es la esperanza de los cuadrados menos el cuadrado de la esperanza:  V=2- 1.96 =0,04

    La desviación estándar es la raíz cuadrada positiva de la varianza.   s=0,2

    thumb_up0 voto/sflag
    icon

    Antonius Benedictus
    el 16/1/17


    thumb_up1 voto/sflag
    icon

    Bet
    el 16/1/17

    Gracias!! Admiro el labor que haces de enseñar

    thumb_up0 voto/sflag
  • icon

    steven pezantes acurio
    el 16/1/17

    buenas, tengo un problema con una integral con la que no quisiera quedarme con la duda si me pudieseis ayudar:

    integral (1/(x+2+((x+1)/x)^(1/3))).

    replythumb_up0 voto/sflag
    icon

    Ángel
    el 16/1/17

    Manda el enunciado original

    thumb_up1 voto/sflag
  • icon

    Carla Gómez Escobar
    el 16/1/17

    hola, tengo problemas con los sistemas de ecuaciones NO lineales que contienen logaritmos, no se ni como empezarlos, este es el que hay que hacer, si me pueden ayudar por favor!!

    x-y=27

    logx -1=log y

    replythumb_up0 voto/sflag
    icon

    Guillem De La Calle Vicente
    el 16/1/17


    thumb_up1 voto/sflag
    icon

    Carla Gómez Escobar
    el 16/1/17

    muchas gracias!!

    thumb_up0 voto/sflag
  • icon

    Alejandro Muñoz
    el 16/1/17

    maximos,minimos y Punto de inflexión de la siguiente funcion:

    F(x) = e^(-x^2-3x)


    replythumb_up0 voto/sflag
    icon

    Guillem De La Calle Vicente
    el 16/1/17


    thumb_up0 voto/sflag
    icon

    Alejandro Muñoz
    el 16/1/17

    Muchas gracias pero una duda que tengo de donde has sacado x3 y x4?

    thumb_up0 voto/sflag
    icon

    Ángel
    el 16/1/17

    Son las dos soluciones del punto de inflexión:


    ----->  x3 utilizando el signo positivo antes de la raíz

    ----->  x4 utilizando el signo negativo antes de la raíz


    thumb_up0 voto/sflag
    icon

    Ángel
    el 16/1/17

    Aunque deberían llamarse x4 y x5, porque x3 fue utilizada para el máximo

    thumb_up0 voto/sflag
  • icon

    Alexander Palma
    el 16/1/17

    • hola unicoos, me ayudan con esta pregunta, con el problema numero 4:




    replythumb_up0 voto/sflag
    icon

    César
    el 16/1/17

    Va Alexander 

    thumb_up2 voto/sflag