Foro de preguntas y respuestas de Matemáticas

logo beUnicoos
Los foros de unicoos se han unificado en nuestra nueva plataforma beUnicoos. Para dejar nuevas preguntas deberás hacerlo allí, donde además podrás encontrar nuevas asignaturas y herramientas para ayudarte más con tus estudios.

  • icon

    Blanca Andrés Ayala
    el 15/1/17

    Hola, alguien me podría ayudar con este ejercicio?

    Calcular la identidad notable (3+x)2, con los vídeos que hay subidos no me aclaro mucho y agradecería que alguien me explicara una regla memotécnica o algo para aprenderse el procedimiento (fácilmente).

    Muchas gracias.



    replythumb_up0 voto/sflag
    icon

    Guillem De La Calle Vicente
    el 15/1/17

    (3+x)²=3²+2·3·x+x²=9+6x+x²=x²+6x+9


    Tienes que recordar que (a+b)²=a²+2ab+b²

    thumb_up1 voto/sflag
    icon

    Ángel
    el 16/1/17

    (a+b)²=a²+b²+2ab          se lee así:


    "El cuadrado de una suma de dos elementos es igual a: El cuadrado del primero más el cuadrado del segundo más el doble del primero por el segundo"

    thumb_up1 voto/sflag
  • icon

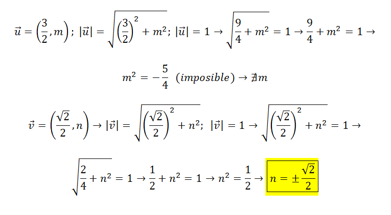
    Marta
    el 15/1/17

    Hola, alguien me podria ayudar con este ejercicio?

    Calcular m y n tales que u= (3/2,m) y v (raiz cuadrada de 2/2, n) para que sean unitarios.

    muchas gracias


    replythumb_up0 voto/sflag
    icon

    Antonius Benedictus
    el 15/1/17


    thumb_up2 voto/sflag
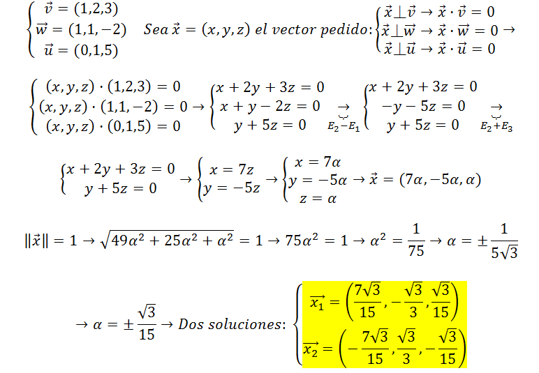
  • Usuario eliminado
    el 15/1/17

    Buenas tardes! Podrían echarme una mano? No sé cómo hallar el vector unitario perpendicular a 3 vectores de un plano. Yo sé hacer lo del vector característico, pero eso es sólo respecto a dos. No me dan ningún dato más 

    replythumb_up0 voto/sflag
    icon

    Antonius Benedictus
    el 15/1/17


    thumb_up3 voto/sflag
  • icon

    Jaime
    el 15/1/17

    Como se resuelve un limite cuando el resultado es una indeterminacion infinito menos infinito cuando las incognitas tienen el mismo grado.

    replythumb_up0 voto/sflag
    icon

    Guillem De La Calle Vicente
    el 15/1/17

    Con un ejemplo, sería más fácil. Depende del ejercicio. Si tienes raíces, con el conjugado y si tienes expresiones algebraicas haciendo la suma o la resta o la operación algebraica que tengas.

    thumb_up1 voto/sflag
    icon

    Jaime
    el 15/1/17

    f(x) = xe(1/x) + 2 - x

    Ese es el ejercicio

    thumb_up0 voto/sflag
    icon

    Ángel
    el 15/1/17

    ¿A qué tiende x? Si mandas el enunciado original podremos ayudarte mejor 

    thumb_up1 voto/sflag
    icon

    Antonius Benedictus
    el 15/1/17

    No queda claro, Jaime. pon foto del LÍMITE original.

    thumb_up1 voto/sflag
  • icon

    Elena
    el 15/1/17

    Hola, me podríais ayudar a resolver este problema?

    La suma de las edades, en el momento actual, de un padre y sus dos hijos es de 73 años. Hace 12 años, la edad del hijo mayor era el doble de la de su hermano pequeño, y dentro de 10 años, la edad del padre será el doble que la del hijo menor. Calcula las edades actuales de cada uno de ellos.

    replythumb_up0 voto/sflag
    icon

    Guillem De La Calle Vicente
    el 15/1/17

    Solución: 40, 18 y 15 años

    thumb_up0 voto/sflag
    icon

    Antonius Benedictus
    el 15/1/17


    thumb_up3 voto/sflag
    icon

    David
    el 18/1/17

    Revisa este video... 

    Plantear ecuaciones EDADES

    thumb_up0 voto/sflag
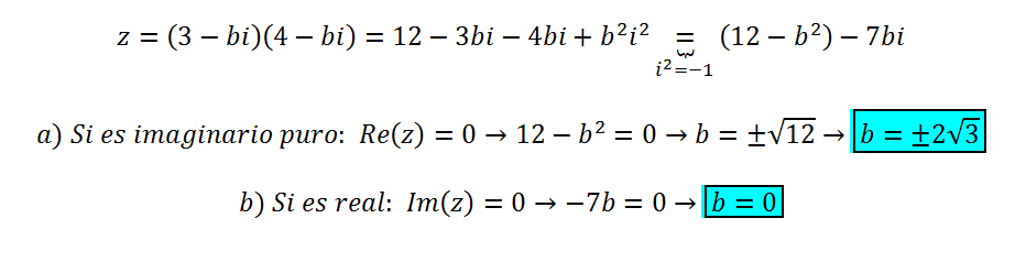
  • icon

    alba
    el 15/1/17
    flag

    Como se resolvería un ejercicio que dice:

    Calcula b para que z=(3-bi)·(4-bi) sea:

    a\ Imaginario puro (la solución es -2)

    b\ Real (la solución es 8)

    replythumb_up0 voto/sflag
    icon

    Antonius Benedictus
    el 15/1/17

    Revisa el enunciado (o las soluciones propuestas): No hay adecuación.


    thumb_up1 voto/sflag
  • icon

    Esther Luján
    el 15/1/17

    Cómo se saca el punto que corta 3 planos en geometría analítica? 

    replythumb_up0 voto/sflag
    icon

    Antonius Benedictus
    el 15/1/17

    Resolviendo el sistema lineal de tres ecuaciones con tres incógnitas que determinan las ecuaciones implícitas de esos tres planos.

    thumb_up0 voto/sflag
  • icon

    Mario Carceller
    el 15/1/17

    Como se calcula la integral de un valor absoluto?

    Ej:

    ∫ |x-1|dx (está definoda entre 3 y -3; no se ponerlo)


    replythumb_up0 voto/sflag
    icon

    Ángel
    el 15/1/17

    Para ∫ |x+1| dx

    Sustituye |x-1| por √(u)2

    y al asumir que u≥0, te quedará:


    ∫ udx para continuar integrando


    thumb_up1 voto/sflag
    icon

    Guillem De La Calle Vicente
    el 15/1/17


    thumb_up2 voto/sflag
    icon

    Ángel
    el 15/1/17

    Para -33|x-1|dx:



    thumb_up1 voto/sflag
  • icon

    Guillem De La Calle Vicente
    el 15/1/17
    flagflag

    Representación gráfica de:


    Donde g(x) = ax+b.

    Considere la relación de f(x). Queremos representar f∘g usando la transformación f (x). Por favor, explique los pasos para trazar f∘g

    uno a uno.

    ¡Gracias!


    replythumb_up0 voto/sflag
    icon

    Gabriel
    el 15/1/17

    Hola Guillem

    Creo que falta parte del enunciado. Faltaría por conocer la función de f(x)


    thumb_up1 voto/sflag
    icon

    Guillem De La Calle Vicente
    el 15/1/17
    flagflag

    Yo interpreto "Queremos trazar f∘g usando la transformación f (x) "como" Tenemos la gráfica de f, y queremos saber cómo la inserción g cambia el gráfico. Así que no veo que nos está faltando nada

    thumb_up0 voto/sflag