
Me encantaría ayudarte, pero no respondo dudas universitarias que no tengan que ver específicamente con los videos que ya he grabado como excepcion. O de otras asignaturas que no sean matemáticas, física y química. Lo siento de corazón… Espero lo entiendas
Ojalá algun unicoo universitario se anime a ayudarte (de hecho lo ideal es que todos los universitarios intentarais ayudaros los unos a los otros)
Hola David!!
Lo primero felicitarte por tu iniciativa y por la labor tan estupenda que haces, eres un crack!!
Soy profesora de mates y ferviente seguidora tuya desde hace 4 años que un alumno me habló de ti. Desde entonces comparto tus vídeos en mi página y ayudas mucho a mis alumnos y a sus padres que también te siguen! Acabo de salirme del Aula Virtual y he empezado aquí: www.auladematematicas.weebly.com, por si quieres echarle un vistazo.
Me encantaría pedirte un favor para cuando tengas un ratito... Llevo varios años buscando un vídeo de características de funciones (dominio, recorrido, monotonía, continuidad...) para 3º o 4º ESO. Es un tema que me parece muy sencillo pero que a los chicos les cuesta mucho entender, debo explicarlo fatal, así que me encantaría que me echaras una mano... Y ya puestos a pedir, dedícaselo a mis alumnos del IES Marqués de Suanzes (Madrid), seguro que les hace mucha ilusión.
Aunque se que tienes un equipazo detrás, me encantaría colaborar contigo en algo que pueda ayudarte, así que si se te ocurre algo... tienes mi correo, verdad?
Te deseo que sigas repartiendo ánimos y motivando a los alumnos cómo lo haces. Seguimos pendientes de que consigas el título del mejor profe del mundo, te lo mereces!
Salu2 de Aurora
Encontrar una inyección de R2 a R. Yo estaba pensando expansiones decimales, pero no estoy seguro. Estoy liado completamente!
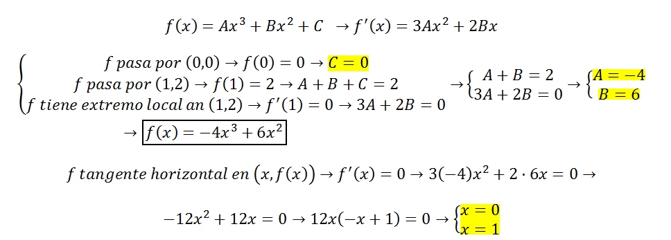
Se quiere construir una piscina de tal forma que la planta esté formada por un rectángulo y un semicírculo que tenga como diámetro uno de los lados del rectángulo. De entre todas las piscinas de esta forma con una superficie de 50 m2, ¿cuál es la de perímetro mínimo?¿Hay alguna de perímetro máximo?
Lo he hecho con que el radio sea x y el lado 2x, pero no me da
gracias