Buenos días Unicoos,
alguno de vosotros me podría ayudar con este sistema de ecuación no lineal??
Gracias!!!
√x+y+1 = x
2x1=y

Tienes el sistema (suponemos una resta en el primer miembro de la segunda ecuación, a fin de mostrar el método de resolución):
√(x) + y + 1 = x
2x - 1 = y (1)
observa que x debe cumplir: x ≥ 0, luego sustituimos la expresión señalada (1) en la primera ecuación y queda:
√(x) + 2x - 1 + 1 = x, hacemos pasajes de términos, reducimos términos semejantes y queda:
√(x) = - x, hacemos pasaje de raíz como potencia y queda:
x = (- x)2, desarrollamos el binomio elevado al cuadrado y queda:
x = x2, hacemos pasajes de términos, reducimos términos semejantes y queda:
- x2 + x = 0, multiplicamos en todos los términos de la ecuación por -1 y queda:
x2 - x = 0, que es una ecuación polinómica cuadrática cuyas soluciones son:
1) x = 0, que al reemplazar en la ecuación señalada (1) queda: y = -1;
2) x = 1, que al reemplazar en la ecuación señalada (1) queda: y = 1.
Por lo tanto, el conjunto solución del sistema de ecuaciones queda: S = { 0,-1) , (1,1) }.
Espero haberte ayudado.

Antes de comenzar, recuerda que las funciones exponenciales toman valores estrictamente positivos, por lo que nunca toman el valor cero.
Tienes la primera ecuación:
(x2 + x)*31/x = 0,
observa que debe cumplirse x ≠ 0 para que no se indetermine el exponente fraccionario en el segundo factor del primer miembro,
luego haces pasaje del factor exponencial (recuerda que es distinto de cero) como divisor y queda:
x2 + x = 0, que es una ecuación polinómica cuadrática cuyas soluciones son:
1) x = 0, que no es solución de la ecuación por no cumplir la condición remarcada;
2) x = -1, que si es solución de la ecuación.
Tienes la segunda ecuación:
x2*5x = 5x, haces pasaje del factor exponencial (recuerda que es distinto de cero) como divisor y queda:
x2 = 0, que es una ecuación polinómica cuadrática, cuya única solución es:
x = 0, que es la solución de la ecuación.
Puedes verificar la validez de las soluciones: si reemplazas en las ecuaciones correspondientes, verás que éstas se verifican.
Espero haberte ayudado.

Tienes la inecuación:
√( |2x + 1| - 3 ) > 0,
observa que al no tener signo especificado para la raíz cuadrada, entendemos que es positiva,
luego, hacemos pasaje de raíz como potencia y queda:
|2x + 1| - 3 > 0, hacemos pasaje de término y queda:
|2x + 1| > 3, observa que esta inecuación nos conduce a dos opciones (revisa tus apuntes de clase):
1) 2x + 1 < -3, hacemos pasaje de término y queda:
2x < - 4, hacemos pasaje de factor como divisor (observa que no cambia la desigualdad) y queda:
x < -2;
2) 2x + 1 > 3, hacemos pasaje de término y queda:
2x > 2, hacemos pasaje de factor como divisor (observa que no cambia la desigualdad) y queda:
x > 1.
Luego, el conjunto solución de la inecuación expresado como intervalo queda: S = (-∞,-2) ∪ (1,+∞).
Espero haberte ayudado.

Vamos con una orientación.
Tienes la ecuación:
√(x + 3) - 2x = 0,
observa que debe cumplirse: x + 3 ≥ 0, que al hacer pasaje de término queda: x ≥ -3,
luego haces pasaje de término y queda:
√(x + 3) = 2x,
haces pasaje de raíz como potencia y queda:
x + 3 = (2x)2,
resuelves el segundo miembro y queda:
x + 3 = 4x2,
luego (te dejo la tarea) queda que hagas pasaje de término y resuelvas la ecuación polinómica cuadrática que obtendrás, en la que tendrás que verificar (no olvides este paso importante) que sus soluciones cumplan con la condición remarcada.
Espero haberte ayudado.

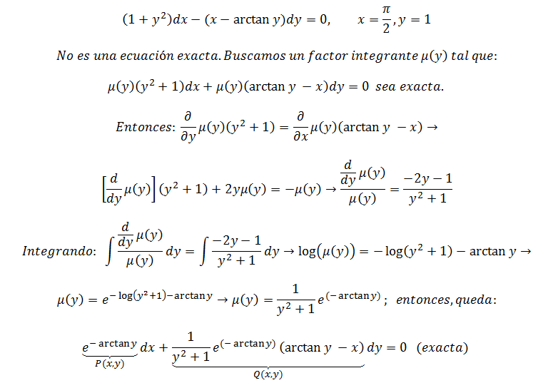
Puedes dividir por dv en todos los términos de la ecuación y queda ( expresamos: du/dv = u ' ):
(1 + v2)*u ' + u - arctan(v) = 0,
haces pasaje de término y queda:
(1 + v2)*u ' + u = arctan(v),
divides por (1 + v2) en todos los términos de la ecuación y queda:
u ' + ( 1/(1 + v2) )*u = arctan(v)/(1 + v2),
observa que tienes una ecuación diferencial lineal, de primer orden y de primer grado, de la forma:
u ' + p(v)*u = q(v).
Haz el intento de resolverla y, si te es preciso, puedes volver a consultar.
Espero haberte ayudado.

Vamos con orientaciones.
Planteamos la expresión de la familia de curvas de nivel de la función temperatura:
T(x,y) = k con k ∈ R, sustituimos y queda:
x2 + 2y2 - 2x + 3 = k. expresamos con un trinomio cuadrado perfecto para x y queda:
x2 - 2x + 1 + 2y2 + 2 = k, factorizamos el trinomio cuadrado perfecto, hacemos pasaje de término, y queda:
(x - 1)2 + 2y2 = k - 2, observa que la ecuación corresponde a una familia de elipses con centro de simetría en el punto de coordenadas: C(1,0).
a) Planteamos las curvas de nivel para las temperaturas críticas (T1 = 5, T2 = 25) por separado:
C1: reemplazamos k = 5 y queda:
(x - 1)2 + 2y2 = 3, observa que es una elipse;
C2: reemplazamos k = 25 y queda:
(x - 1)2 + 2y2 = 3, observa que es una elipse,
observa que las dos elipses determinan una región que es una corona elíptica;
luego, debes verificar si hay intersección entre cada una de las elipses con la curva frontera y, en el caso de haberla, tendrás un disparo de alarma (te dejo la tarea).
b) Debes superponer las gráficas de la placa (que es un disco circular) con las elipses: si existen puntos del disco que también pertenecen a alguna de las elpses entonces tendrás puntos de disparo de alarma (te dejo la tarea).
c) Debes buscar una curva de nivel cuya región interior contenga por completo a a circunferencia frontera y no comparta puntos con ella (te dejo la tarea).
Haz el intento de resolver todo y, si te es preciso, no dudes en volver a consultar.
Espero haberte ayudado.
Hola Antonio ese era el enunciado original, es de un taller, esta la pregunta y los literales, pedía analizar la continuidad en esos dos literales.
Para mi resulta confusa la pregunta, la solución si fue demostrada.
Gracias, ayúdame con eso.

Vamos con orientaciones.
a) Observa que el dominio de la función es: D = R - {0} = DA ∪ DB.
Llamamos A a la expresión de la primera rama, y observa que su subdominio es: DA = (-π/2,0) ∪ (0,π/2).
Llamamos B a la expresión de la segunda rama, y obsrva que su subdominio es: DB = (-∞,-π/2] ∪ [π/2,+∞).
Observa que la expresión de la rama B se indeermina para x = 0 (observa que se anula el denominador dela expresión, por lo que está mal expresado su subdominio en el enunciado (por favor, verifica que el enunciado esté bien copiado, o consulta con tus docentes para salir del embrollo)
Luego, observa que las expresiones de las ramas son continuas en sus subdominios respectivos, por lo que tenemos tres puntos notables para estudiar:
1) x = 0, que no pertenece al dominio, y que tiene a si izquierda y a su derecha puntos del subdominio DA.
2) x = -π/2, que pertenece al subdominio DB, y que tiene puntos del subdominio DB a su izquierda y que tiene puntos del subdominio DA a su derecha.
3) x = π/2, que pertenece al subdominio DB, y que tiene puntos del subdominio DB a su derecha y que tiene puntos del subdominio DA a su izquierda.
Luego, pasamos al estudio de la continuidad de la función en los puntos notables:
1) Planteamos:
f(0) no está definida (por lo que tenemos que la función no es continua en x = 0),
Lím(x→0) f(x) = Lím(x→0) x*cotgx = Lím(x→0) x*cosx/senx = Lím(x→0) (x/senx)*cosx = Lím(x→0) x/senx * Lím(x→0) cosx = 1*1 = 1 (observa el límite notable remarcado),
luego, concluimos que la función presenta una discontinuidad evitable (o no esencial) en x = 0.
2) Planteamos:
f(-π/2) = (e-π - 1)/(e-π/2 -1), por lo que tenemos que la función si está definida en el punto,
Lím(x→-π/2-) f(x) = Lím(x→-π/2-) (e2x - 1)/(ex - 1) = (e-π - 1)/(e-π/2 -1),
Lím(x→-π/2+) f(x) = Lím(x→-π/2+) x*cotgx = -π/2*0 = 0,
luego, como los límites laterales no coinciden y son numéricos, concluimos que la función presenta una discontinuidad inevitable (o esencial) tipo salto en x = -π/2.
3) El planteo es muy similar al caso anterior, por lo que te dejo la tarea y, si te es preciso, no dudes en volver a consultar.
Espero haberte ayudado.

b) Observa que según tienes definida a la función, su dominio es: D = ( -∞ ; 1,5 ] = ( -∞ ; 3/2 ].
Observa que las expresiones de las tres ramas (las llamamos A, B y C) son continuas en sus correspondientes subdominios, por lo que tenemos dos puntos notables para estudiar la continuidad:
1) x = 0, que tiene puntos del subdominio de la rama A a su izquierda, y que tiene puntos del subdominio de la rama B a su derecha.
2) x = 1, que tiene puntos del subdominio de la rama B a su izquierda, y que tiene puntos del subdominio de la rama C a su derecha.
Luego, pasamos al estudio de la continuidad de la función en los puntos notables:
1) Planteamos:
f(0) = 2 - 0 = 2, por lo que tenemos que la función está definida en x = 0,
Lím(x→0-) f(x) = Lím(x→0-) (ax + x - 1)/x = aplicamos la Regla de L'Hôpital = Lím(x→0-) (ax*lna + 1)/1 = 1*lna + 1 = lna + 1
Lím(x→0+) f(x) = Lím(x→0+) (2 - x) = 2,
luego, como los límites laterales deben coincidir planteamos:
lna + 1 = 2, hacemos pasaje de término y queda: lna = 1, luego componemos con la función inversa del logaritmo natural y queda: a = e,
luego concluimos que para que la función sea continua en x = 0 debe cumplirse: a = e.
2) Planteamos:
f(1) = 2 - 1 = 1, por lo que tenemos que la función está definida en x = 1,
Lím(x→1-) f(x) = Lím(x→1-) (2 - x) = 2 - 1 = 1,
Lím(x→1+) f(x) = Lím(x→1+) b(1 -x)/sen(πx) = b*Lím(x→1+) (1 -x)/sen(πx) =
aplicamos la sustitución (cambio de variable): x = 1 - w (observa que w tiende a cero por la izquierda cuando x tiende a uno por la derecha), sustiuimos y queda:
= b*Lím(w→0-) (1 - (1 - w))/sen(π(1-w)) = b*Lím(w→0-) ( w/sen(π - w) ) =
aplicamos la identidad trigonométrica: sen(π - w) = sen(π)*cosw - cos(π)*senw = 0*cosw - (-1)*senw = senw, sustituimos y queda:
= b*Lím(w→0-) ( w/senw ) = b*1 = b,
luego, como los límites laterales deben coincidir planteamos: 1 = b,
luego concluimos que para que la función sea continua en x = 1 debe cumplirse: b = 1.
Espero haberte ayudado.

Tenemos la matriz ampliada del sistema (indicamos a por alfa, y b por beta):
a 1 -1 a
1 a -1 1
3 1 b 2
1 -1 -1 1
Permutamos la fila 1 con la fila 4:
1 -1 -1 1
1 a -1 1
3 1 b 2
a 1 -1 a
A la fila 2 le restamos la fila 1, a la fila 3 le restamos el triple de la fila 1, a la fila 4 le restamos la fila 1 multiplicada por a:
1 -1 -1 1
0 (a+1) 0 0
0 4 (b+3) -1
0 (a+1) (a-1) 0
Luego, tenemos dos opciones: 1) a = -1, 2) a ≠ -1, que debemos estudiar por separado.
1) Reemplazamos a = -1, descartamos la segunda fila por ser nula, y queda:
1 -1 -1 1
0 4 (b+3) -1
0 0 -2 0
Observa que hemos llegado a una matriz escalonada equivalente por filas del sistema, que es triangular superior, cuyo determinante queda: D =1*4*(-2) = -8 ≠ 0, observa que su rango es igual a 3 e igual al rango de la matriz ampliada equivalente, y como el sistema tiene tres incógnitas,por el Teorema de Rouché tenemos que el sistema es compatible determinado para todo valor real b. Por lo que concluimos que el para a = -1 y b ∈ R el sistema tiene solución única.
2) Si a ≠ -1, multiplicamos a la segunda fila por 1/(a+1) y queda:
1 -1 -1 1
0 1 0 0
0 4 (b+3) -1
0 (a+1) (a-1) 0
A la fila 3 le restamos el cuádruple de la fila 2, a la fila 4 le restamos la fila 2 multiplicada por (a+1), y queda:
1 -1 -1 1
0 1 0 0
0 0 (b+3) -1
0 0 (a-1) 0
Permutamos la fila 3 con la fila 4 y queda:
1 -1 -1 1
0 1 0 0
0 0 (a-1) 0
0 0 (b+3) -1
Luego, tenemos dos casos: 2a) a = 1, 2b) a ≠ -1, que estudiamos por separado.
2a) Reemplazamos a = 1, descartamos la tercera fila por ser nula y queda:
1 -1 -1 1
0 1 0 0
0 0 (b+3) -1
Luego, observa que tenemos dos opciones:
2a1) Si b = -3, el rango de la matriz escalonada triangular equivalente del sistema es igual a 2, y el rango de la matriz ampliada equivalente es igual a 3, por lo que aplicamos el Teorema de Rouché y tenemos que el sistema es incompatible. Por lo tanto, concluimos que para a = 1 y b = -3 el sistema no tiene solución.
2a2) Si b ≠ -3,, observa que tenemos una matriz equivalente del sistema escalonada triangular, cuyo determinante queda: D =1*1*(b+3) ≠ 0, observa que su rango es igual a tres, que es igual al rango de la matriz ampliada del sistema, y como el sistema tiene tres incógnitas, por el Teorema de Rouché tenemos que el sistema es compatible determinado. Por lo que concluimos que para a = 1 y b ≠ -3 el sistema tiene solución única.
Espero haberte ayudado.