respecto a este, ya me respondió Antonio, entiendo mas o menos el procedimiento pero tengo las soluciones y me da que es raiz cúbica de 100, sin estar partido entre 2,
además, esta parte ''descomponemos potencias como productos = ∛(23 * 2 * 53 * 5) = ordenamos factores y distribuimos la raíz:
= ∛(23)*∛((53)*∛(2*5) = simplificamos índices y exponentes en los dos primeros factores = 2*5*∛(2*5).', no la entendí del todo
muchas gracias

Debes verificar que no haya error en el solucionario. Vamos con una variante para resolver el ejercicio:
y = 50 / ( ∛(100) )2, mulatiplicamos por (1/2)* 2 (que es igual a 1) y queda:
y = (1/2)*2*50 / ( ∛(100) )2, resolvemos el producto entre factores naturales y queda:
y = (1/2)*100 / ( ∛(100)2 ), multiplicamos al numerador y al denominador por la raíz "complementaria" del denominador y queda:
y = (1/2)*100*∛(100) / ( ∛(100)2 )*∛(100), resolvemos el producto de raíces cúbicas en el denominador y queda:
y = (1/2)*100*∛(100) / ∛(1003), simplificamos índice y exponente en el denominador y queda:
y = (1/2)*100*∛(100) / 100, simplificamos y queda:
y = (1/2)*∛(100).
Puedes verificar con tu calculadora que el resultado correcto es el que está remarcado.
Espero haberte ayudado.

Observa el factor fraccionario irracional:
10/( 6-√(3) ) = multiplicas al numerador y al denominador por la expresión "conjugada" del denominador y queda:
= 10*( 6+√(3) ) / ( 6-√(3) )*( 6+√(3) ) = distribuyes en el denominador y queda:
= 10*( 6+√(3) ) / (36 + 6√(3) - 6√(3) - (√(3))2) = cancelamos términos opuestos en el denominador y queda:
= 10*( 6+√(3) ) / (36 - (√(3))2) = simplificamos índice y exponente en el segundo término del denominador y queda:
= 10*( 6+√(3) ) / (36 - 3) = 10*( 6+√(3) )/33.
Luego, la expresión del enunciado queda:
h = 5 - (3/2)*(10 / ( 6-√(3) )) = reemplazamos = 5 - (3/2)*10*( 6+√(3) )/33 = ordenamos factores en el segundo término y queda:
= 5 - (3/2)*(10/33)*( 6+√(3) ) = simplificamos entre los dos primeros factores del segundo término y queda:
= 5 - (5/11)*( 6+√(3) ) = multiplicamos y dividimos por 11 en el primer término y queda:
= 55/11 - (5/11)*( 6+√(3) ) = extraemos factor común y queda:
= (5/11)*[ 11 - ( 6+√(3) ) ] = distribuimos en el agrupamiento y queda:
= (5/11)*[ 11 - 6 - √(3) ] = reducimos términos enteros en el agrupamiento y queda:
= (5/11)*[ 5 - √(3) ] = 5*[5 - √(3)]/11.
Espero haberte ayudado.
hola,¿ alguien que la sepa hacer esta integral por partes?
∫10 x arctgx dx

Observa que puedes aplicar el método de integración por partes:
u = arctanx, de donde tienes: du = dx/(1+x2),
dv = x*dx, de donde tienes: v = x2/2;
luego aplicas el método y la integral queda:
I = ∫ u*dv = u*v - ∫ v*du = (x2/2)*arctanx - (1/2) ∫ x2*dx/(1+x2).
Luego, observa que el integrando que nos ha quedado puede escribirse:
x2/(1+x2) = ( (1+x2) - 1 )/(1+x2) = (1+x2)/(1+x2) - 1/(1+x2) = 1 - 1/(1+x2);
luego solo queda que sustituyas en la integral que quedó para resolver, observa que puedes integrar en forma directa, para luego pasar a evaluar con la Regla de Barrow para x comprendido entre 0 y 1.
Espero haberte ayudado.

Observa cuáles son los pasos:
Hemos sumado y restado 1 en el numerador, hemos introducido nosotros esos dos términos que suman cero y observa que no alteran la expresión.
Vamos paso a paso.
Tienes la integral: I = ∫ x2*dx/(1+x2)
Observa que la expresión de la función a integrar es:
x2/(1 + x2) = sumamos y restamos 1 en el numerador (observa que queda inalterado):
= ( 1 + x2 - 1)/(1 + x2) = agrupamos los dos primeros términos en el numerador:
= ( (1 + x2) - 1)/(1 + x2) = distribuimos el denominador:
= ( (1 + x2)/(1 + x2) - 1/(1 + x2) = simplificamos en el primer término:
= 1 - 1/(1 + x2).
Espero haberte ayudado.

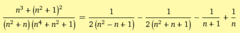
Observa que puedes factorizar como productos de números primos o potencias de números primos:
Tenemos el numerador: N = 50 = 2*5*5 = 2*52,
y luego, observa el argumento de la raíz en el denominador: 100 = 2*2*5*5 = 22*52.
Luego, observa que el denominador (D) puede escribirse:
D = ( ∛(100) )2 = permutamos raíz con potencia = ∛( 1002 ) = factorizamos = ∛( (22*52)2 ) = distribuimos el exponente = ∛( (22)2 * (52)2 ) = resolvemos exponentes:
= ∛(24 * 54) = descomponemos potencias como productos = ∛(23 * 2 * 53 * 5) = ordenamos factores y distribuimos la raíz:
= ∛(23)*∛((53)*∛(2*5) = simplificamos índices y exponentes en los dos primeros factores = 2*5*∛(2*5).
Luego, podemos escribir la expresión:
y = N/D = 2*52 / 2*5*∛(2*5) = simplificamos = 5 / ∛(2*5) = multiplicamos al numerador y al denominador por la raíz "complementaria":
= 5*∛(22*52) / ∛(2*5)*∛(22*52) = resolvemos el producto de raíces cúbicas en el denominador:
= 5*∛(22*52) / ∛(23*53) = distribuimos la raíz en el denominador:
= 5*∛(22*52) / ∛(23)*∛(53) = simplificamos índices y exponentes en el denominador:
= 5*∛(22*52) / 2*5 = simplificamos = ∛(22*52) / 2.
Espero haberte ayudado.
Buenas!
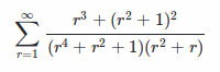
Alguien me podría explicar como se resuelve el siguiente ejercicio por favor.
La respuesta es la "d" pero no me sale.
Gracias, de antemano.
Saludos!

Me encantaría ayudarte, pero no respondo dudas universitarias que no tengan que ver específicamente con los videos que ya he grabado como excepcion. O de otras asignaturas que no sean matemáticas, física y química. Lo siento de corazón… Espero lo entiendas
Ojalá algun unicoo universitario se anime a ayudarte (de hecho lo ideal es que todos los universitarios intentarais ayudaros los unos a los otros)