
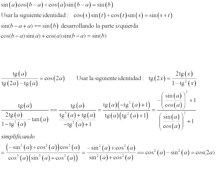
Escribimos a en lugar de alfa, y b en lugar de beta.
b) Tienes en el primer miembro de la identidad:
sena*cos(b-a) + cosa*sen(b-a) = aplicamos las identidades trigonométricas del coseno y del seno de la resta de dos ángulos y queda:
= sena*(cosb*cosa + senb*sena) + cosa*(senb*cosa - cosb*sena) = distribuimos en los dos términos y queda:
= sena*cosa*cosb + sen2a*senb + cos2a*senb - sena*cosa*cosb = cancelamos términos opuestos y queda:
= sen2a*senb + cos2a*senb = extraemos factor común y queda:
= (sen2a + cos2a)*senb = aplicamos la identidad pitagórica en el primer factor:
= 1*senb = senb.
c) Comencemos con el numerador (N) y con el denominador (D) del primer miembro de la identidad, por separado:
N = tana = sena/cosa;
D = tan(2a) - tana = aplicamos la identidad trigonométrica de la tangente del doble de un ángulo en el primer término:
= 2tana/(1 - tan2a) - tana = extraemos denominador común:
= ( 2tana - tana(1 - tan2a) )/(1 - tan2a) = distribuimos en el numerador:
= (2tana - tana + tan3a)/(1 - tan2a) = reducimos términos semejantes en el numerador:
= (tana + tan3a)/(1 - tan2a) = extraemos factor común en el numerador:
= tana*(1 + tan2a)/(1 - tan2a) = aplicamos la identidad trigonométrica de la tangente:
= (sana/cosa)*(1 + sen2a/cos2a)/(1 - sen2a/cos2a) = extraemos denominadores comunes en los agrupamientos de dos términos:
= (sena/cosa)*( (cos2a + sen2a)/cos2a ) / ( (cos2a - sen2a)/cos2a ) =
aplicamos la identidad pitagórica en la suma remarcada, y la identidad del coseno del doble de un ángulo en la resta remarcada:
= (sena/cosa)*(1/cos2a) / ( cos(2a)/cos2a ) = resolvemos el producto de los dos primeros factores:
= (sena/cos3a) / ( cos(2a)/cos2a ) = resolvemos la división entre expresiones fraccionarias:
= ( sena*cos2a ) / ( cos3a*cos(2a) ) = simplificamos:
= sena / ( cosa*cos(2a).
Luego, tenemos en el primer miembro de la identidad:
N/D = tana / (tan(2a) - tana) = ( sena/cosa ) / ( sena / ( cosa*cos(2a) ) ) = resolvemos la división entre expresiones fraccionarias:
= sena*cosa*cos(2a) / sena*cosa = simplificamos:
= cos(2a).
Espero haberte ayudado.

Tienes la sumatoria:
S = ∑(n=6,25) (8n3 - 5n2 - 3n + 2),
luego, como piden escribir sus tres primeros términos, debemos reemplazar los tres primeros valores del índice (n = 6, 7 y 8) y queda:
S3 = (8*63 - 5*62 - 3*6 + 2) + (8*73 - 5*72 - 3*7 + 2) + (8*83 - 5*82 - 3*8 + 2) = queda para que hagas el cálculo.
Espero haberte ayudado.
Buenas noches gente.
Tengo esta conica:
16x^2 +4(y-k)^2=64
Me piden que determine el valor de k,para que dicha curva contenga al punto (-2,0)
Como se hace para calcularlo?

Tienes la inecuación: x*√(x + 3) ≤ 0,
cuyos valores de la incógnita x deben cumplir (observa la raíz cuadrada): x + 3 ≥ 0, que corresponde a: x ≥ - 3,
y observa también que el segundo factor (el de la raíz) es positivo, por lo que el primero debe ser negativo para que se cumpla la desigualdad,
por lo que planteamos: x ≤ 0.
Por lo tanto, el conjunto solución expresado como intervalo queda: S = [-3,0].
Espero haberte ayudado.

Debes verificar la evaluación en tu último paso, con θ entre 0 y 2π.
Observa que has llegado correctamente hasta la expresión:
I = [ (1/3)senθ ] + [ (1/3)(-cosθ ] entre 0 y 2π;
evalúas con la Regla de Barrow y queda:
I = [ (1/3)sen2π - (1/3)sen0 ] +[ (1/3)(-cos2π) - (1/3)(-cos0) ],
resolvemos términos encada agrupamiento y queda:
i = [ (1/3)*0 - (1/3)*0 ] + [ (1/3)*(-1) - (1/3)*(-1) ] =
= [ 0 - 0 ] + [ - 1/3 + 1/3 ] = 0 + 0 = 0.
Espero haberte ayudado.
Halla todos los números posibles de 4 cifras formado por números del 1 al 3, sin que se repitan 2 números seguidos

Te sugiero... Combinatoria 04 - Variaciones con repeticion
A partir de ahí, sobre todo teniendo en cuenta que tu duda es universitaria y deberíamos hacer una excepción, se trata de que DESPUES DE IR A CLASE (ver los vídeos relacionados con
vuestras dudas) enviéis dudas concretas, muy concretas. Y que nos enviéis
también todo aquello que hayais conseguido hacer por vosotros mismos. Paso a
paso, esté bien o mal. No solo el enunciado. De esa manera podremos saber
vuestro nivel, en que podemos ayudaros, cuales son vuestros fallos.... Y el
trabajo duro será el vuestro. Nos cuentas ¿ok? #nosvemosenclase ;-)