Llevo toda la tarde intentando resolver problemas como este y no sé que estrategia seguir:
Sea f : R² → R un campo escalar diferenciable tal que la derivada direccional según el vector (2,2) en el punto (-1,3) es √2, i la derivada direccional según el vector (3,4) en el mismo punto vale 1. Calcular la derivada direccional de f según el vector (-6,8) en el punto (-1,3).
El problema es que no sé como hacer el proceso a la inversa y encontrar el gradiente conociendo las derivadas direccionales.
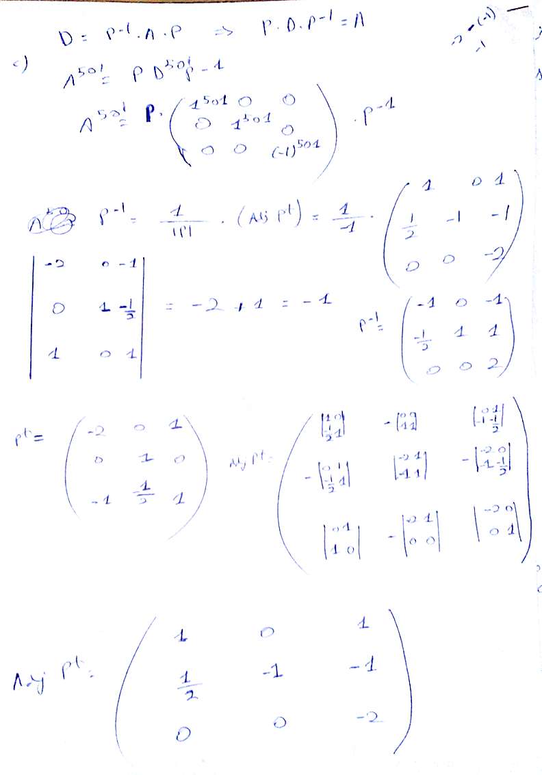
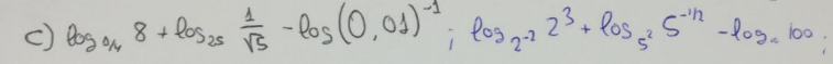
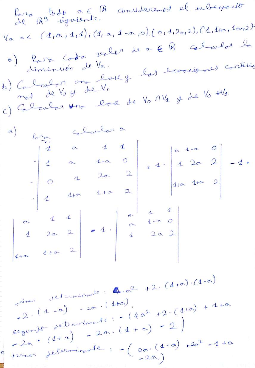
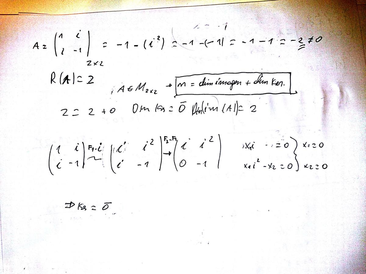
Hola, os agradeceria que me ayudaseis con este ejersisio de álgebra lineal, siguiendo la teoria de que la dimensión de la matriz es igual a la dimensión del rango+ dimensión del ker, me sale algo contradictorio y totalmente distinto a la solución. No puedo hallar la base del ker puesto que un vector 0 no puede ser base. muchas gracias de antemano.![]()

Observa que el rango de la matriz es igual a 1, tienes:
| A | =
| 1 i |
| i -1 |
= 1*(-1) - i2 = - 1 - (-1) = - 1 + 1 = 0, por lo que el rango de la matriz no es igual a 2, y resulta ser igual a 1.
Vamos con el método de Gauss:
1 i
i -1
A la fila 1 la multiplicamos por i (observa que i2 = -1) y queda:
i -1
i -1
A la fila 2 le restamos la fila 1 y queda:
i -1
0 0
Por lo que tenemos que el rango de la matriz es igual a 1.
Espero haberte ayudado.
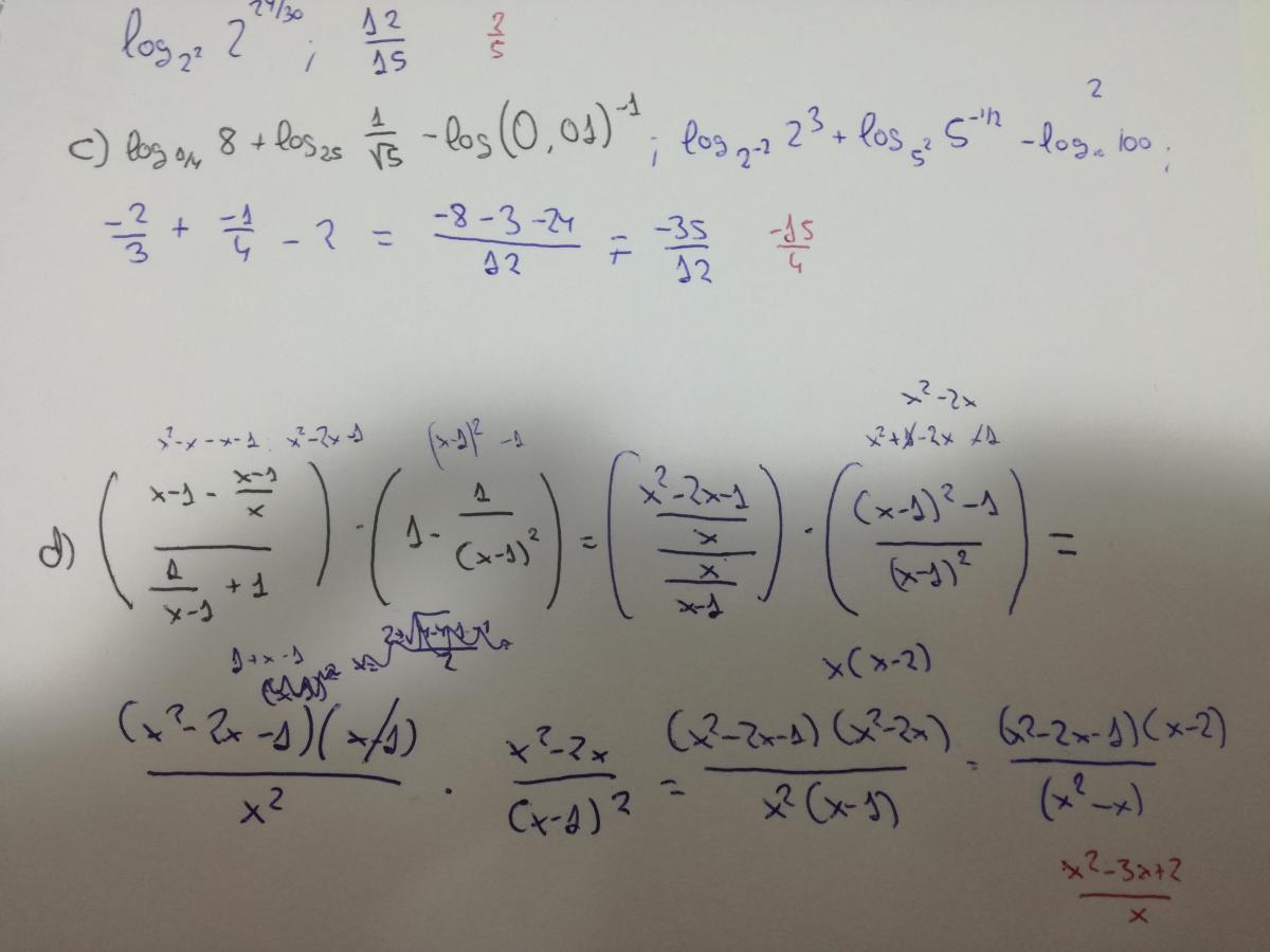
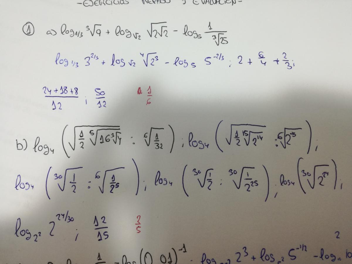
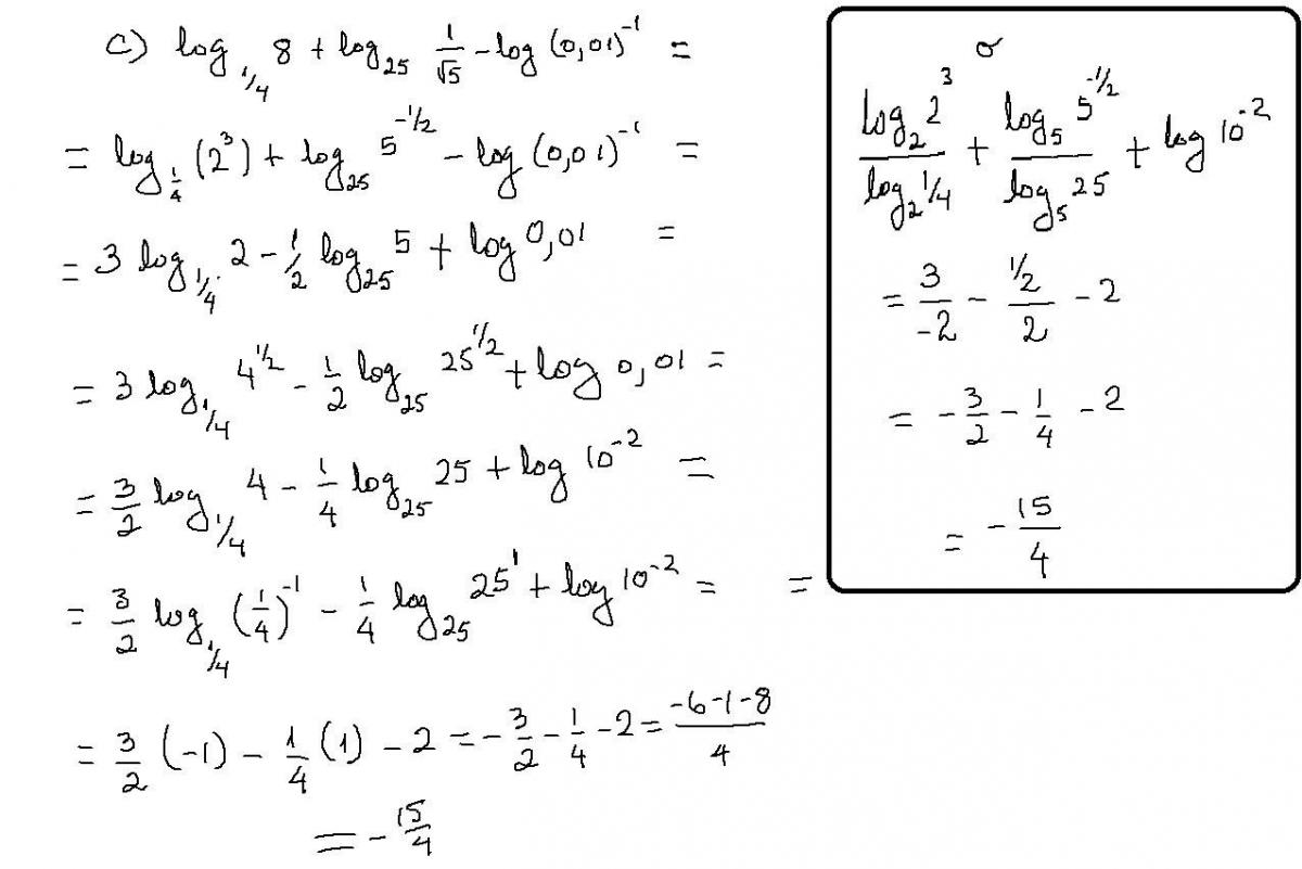
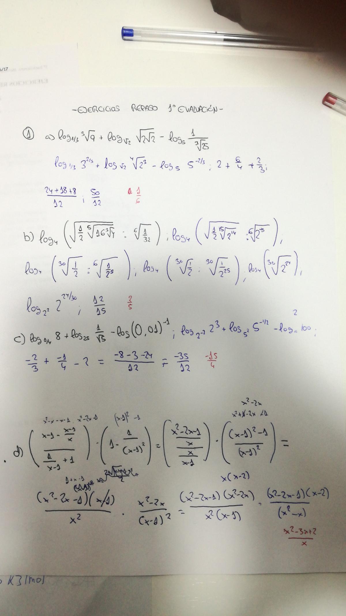
Buenas, soy nueva aquí y estoy un poco perdida en mates la verdad....Me gustaría que me ayudaseis en este ejercicio, lo he copiado pero es que no entiendo los pasos cuando cambia los signos, y con referencia a qué lo hace. He visto en youtube pero había sólo para 3eso...o eso he encontrado. Muchas gracias😊😊😊![]()