En una universidad, en el año 2009 había 10400 alumnos matriculados, y en el 2014 13200. estima cuántos había
a)en el año 2010
b) en el año 2012
c) en el año 2007
d) cuánros cabe esperar que haya en el 2017?
d) y en el 2047?
13200-10400=2800 alumnos más en 5 años
2800/5=560 alumnos/año más
a)2010: 10400+560=12.000 alumnos había (año2009 + 1 año)
b)2012: 12.000+ 2*(560)= 13.120 alumnos (año2010+2 años)
c)2007: 10400- 2*(560)= 9.280 alumnos (año2009-2 años)
d)2017: 13.120+ 5*(560)= 15.920 alumnos (año2012+5 años)
e)2047: 15.920+ 30*(560)= 32.720 alumnos (año2017+30 años)

Como te comento Maths en el ejercicio anterior el incremento es de 560 alumnos cada año. Esa es la pendiente de un ejercicio afín como el propuesto. Para calcular dicha pendiente hay que utilizar la fórmula que has expuesto dónde las Y son los alumnos y las X los años. De esta manera (y recordando que siempre es punto final menos punto inicial):
m=(13200-10400)/2014-2009)=2800/5=560
El resultado de Maths. Espero que te sirva. Salu2
Hola que tal soy nueva en esto . tengo un examen el 22 de ahora y tengo dudas.
La 1ra : cuando quiero hallar el dominio y la condición de existencia no me da como tiene q ser como me quedaraia . ejemplo: f(x)= lnx+1/x . X distinto de cero y x+1/x >o. Como me quedaría el dominio si no me cumple la condición se existencia .
Disculpen las molestias, en primer lugar dar las gracias por la duda resuelta de ayer, y en segundo lugar tengo aqui otro limite que no consigo resolverlo y el Wolfram alpha no me ayuda mucho... Se trata de:
Limit x->0 sen(x)/ Sqrt(1-cos(x)) .... Siendo Sqrt = raíz cuadrada.
Gracias y un saludo.

Puedes multiplicar al numerador y al denominador de la expresión de la función por √(1+cosx) y queda:
Lím(x→0) ( senx√(1+cosx) / √(1-cosx)√(1+cosx) ) = Lím(x→0) ( senx√(1+cosx) / √(1 - cs2x) ) =
= Lím(x→0) ( senx√(1+cosx) / √(sen2x) ) = Lím(x→0) ( senx√(1+cosx) / senx ) = simplificas:
= Lím(x→0) (√(1+cosx) = √(1 + 1) = √(2).
Espero haberte ayudado.
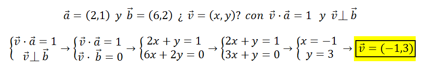
Si dos vectores son perpendiculares tienen el mismo modulo?
¿Alguien me explica por qué razón se tienen que pasar a cm, y por qué razón se multiplica 2 veces el 160? Esa página de problemas resueltos tiene ganas de chinchar.
¿Cuánto mide la mayor baldosa cuadrada que cabe en un número exacto de veces en una sala de 8 m de longitud y 6.4 m de anchura? ¿Y cuántas baldosas se necesitan?
Pasamos las unidades a centímetros porque las baldosas se miden en centímetros.
8 m = 800 cm = 25 · 5² cm
6.4 m = 640 cm = 27 · 5 cm
m. c. d. (800, 640) = 25 · 5 = 160 cm de lado
Ab = 1602 = 25600 cm2
A = 800 · 640 = 512000 cm2
512000 : 25600 = 20 baldosas

Observa que el lado de la baldosa cuadrada (l) debe caber una cantidad entera de veces en el ancho de la sala (A = 640 cm), y otra cantidad entera de veces en el largo de la sala (L = 800 cm). De ahí, puedes pensar que el ancho está dividido por un número entero de baldosas, y que el largo está dividido en otro número entero de baldosas, por lo que tienes que el lado de la baldosa divide exactamente al ancho de la sala y su largo. Luego, como te piden que la baldosa cuadrada sea la de mayor lado posible, tienes que la longitud del lado de la mayor baldosa es igual al máximo común divisor entre el ancho de la sala y su largo. De ahí es que planteamos:
l = mcd(A,L) = mcd(640,800) = 160 cm = 1,60 m.
Luego, en el ancho de la sala entran: nA = 640/160 = 8 baldosas.
Luego, en el largo de la sala entran: nB = 800/160 = 5 baldosas.
Luego, en todo el salón entran: nA*nB = 8*5 = 40 baldosas.
Espero haberte ayudado.