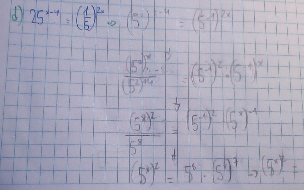
Hola nuevamente unicoos, dado que entendí perfectamente el ejercicio anterior quería ver si podían ayudarme con este otro, igual adjunto los sucesos planteados ( los plantee a mi manera, supongo que deben estar bien planteados si no, aplíquenlos segun su forma ya que aun estoy en practica), y la pregunta a) de este ejercicio parece que la respuesta está en el mismo ejercicio vendría a ser P(Préstamo No saldado) = 0,01 aunque no estoy seguro , pero lo que me causa más problema es la segunda pregunta, lo dejé planteado como P(A1/B) , pero de todas formas, no sé como obtener los valores A1 A2 y A3 :(, acá adjunto los archivos, pueden plantearlos a su manera, no hay problema, saludos y bendiciones.

Debes plantear el diagrama de arbol.........
P(saldados)=0,01.....................P(alto riesgo/saldados)=0,1
.....................................................P(riesgo medio/saldados)=0,4
.....................................................P(bajo riesgo /saldados)=0,5
P(no saldados)=0,99...............P(alto riesgo/no saldados)=0,3
.....................................................P(riesgo medio/no saldados)=0,4
.....................................................P(bajo riesgo /no saldados)=0,3
a) P(no saldado)=0,99...
b) P(alto riesgo / no saldado) = P(alto riesgo ∩ no saldado) / P(no saldado) = 0,99. 0,3 / 0,99 = 0,3
El ejercicio no tiene mucho sentido, la verdad. No me extraña que te hayas hecho un lio... ABRAZOS!

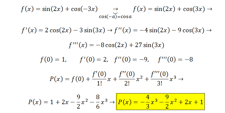
La pregunta tres es un problema de optimización (nos pide máximos y/o mínimos). Es por ello que es necesario realizar la derivada e igualarla a 0.
df(x)/dx=-3x^2+6x+9=0 Resolviendo la ecuación de segundo grado obtenemos 3 y -1, ambos están dentro del intervalo deseado. Finalmente realizamos la derivada segunda para comprobar si se trata de máximos o mínimos.
La segunda derivada es -6x+6, si ponemos el punto x=3 el resultado es negativo de la segunda derivada, es decir, se trata de un máximo. En caso de poner x=-1, la segunda derivada es positiva, se trata de un mínimo.
La pregunta 4 entiendo que la ecuación del problema es: x^3-x
Como queremos maximizar, hay que realizar la derivada e igualarla a 0 (problema de optimización). 3x^2-1=0, resolviendo la ecuación de segundo grado incompleta
x^2=1/3
x=√1/3, elimino el resultado negativo porque el enunciado así lo indica.
Espero ser de ayuda, salu2.
Optimización:
La boca de un túnel tiene la forma de un rectángulo coronado por un semicírculo como se muestra en la figura. Encontrar las medidas del túnel que deje pasar más luz si el perímetro de la figura mide 5 metros.
sé que está corregido en una página de PAU, pero no la entiendo si se puede explicar cada paso mejor.
mil gracias
Buenos días, tengo una duda con este ejercicio porque no me dan los otros ángulos porque si BY//AY A valdria 90' y no es posible, me ayudarían? Gracias ![]()

Me encantaría ayudarte, pero no respondo dudas universitarias que no tengan que ver específicamente con los videos que ya he grabado como excepcion. O de otras asignaturas que no sean matemáticas, física y química. Lo siento de corazón… Espero lo entiendas
Ojalá algun unicoo universitario se anime a ayudarte (de hecho lo ideal es que todos los universitarios intentarais ayudaros los unos a los otros)
Bueno tengo una duda, en estos casos, puedo expresar las soluciones de estas dos formas? Osea, son equivalentes estas soluciones?
POR EJEMPLO: para el caso J podría poner Ln(x^2+x+1)+C como solución? Lo pregunto porque en la solución del ejercicio pone: -1/x^2+x+1. Es esto: Ln(x^2+x+1)+C = a esto 1/x^2+x+1??
Gracias!!!

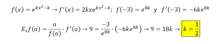
Debes tener en cuenta la expresión que te queda luego de aplicar el método de sustitución (cambio de variable).
i) w = 2x + 1, de donde tienes dw = 2dx, y también tienes: (1/2)dw = dx, luego sustituyes, extraes el factor constante y queda:
I = (1/2) ∫ (1/w2)dw = (1/2) ∫ w-2 dw = integramos = (1/2)(w-1/(-1)) + C = - 1/(2w) + C = sustituimos =
= - 1/(2(2x+1)) + C.
j) w = x2 + x + 1, de donde tienes: dw = 2x + 1, luego sustituyes y queda:
I = ∫ (1/w2)dw = (1/2) ∫ w-2 dw = integramos = (1/2)(w-1/(-1)) + C = - 1/(2w) + C = sustituimos = -1/(x2 + x + 1) + C.
(Observa que queda una expresión logarítmica en el resultado cuando resolvemos: ∫ (1/w)dw = ln|w| + C).
Espero haberte ayudado.

j) Int [(2x+1)/(x^2 +x+1)]
hace t= x^2 +x+1 --> dt/dx = 2x+1 --> dx = dt/(2x+1)
Int [(2x+1)/(t)]*dt/(2x+1) = Int dt/(t) = ln|t| = ln|x^2 +x+1|+C y se puede expresar como ln (x^2 +x+1)+C cambie el valor absoluto, no es necesario por que x^2 +x+1 siempre es positivo para cualquier numero que reemplazas.
Hola unicoos!! Buenos dias!! A ver, quiero empezar con integrales y al buscarlas, me he dado cuenta que los videos no empiezan de forma ordenada. Necesito empezar por el principio, como todo en la vida!! jajaja. Alguien me puede decir por qué video empezar??? muuuuuchas gracias!!