Buenas.... Tengo dudas con este problema... Trata de la metodología de costes, especialmente en el método de las secciones homogéneas.


Me encantaría ayudarte, pero no respondo dudas universitarias que no tengan que ver específicamente con los videos que ya he grabado como excepcion. O de otras asignaturas que no sean matemáticas, física y química. Lo siento de corazón… Espero lo entiendas
Ojalá algun unicoo universitario se anime a ayudarte (de hecho lo ideal es que todos los universitarios intentarais ayudaros los unos a los otros)
Hola! Bueno quería consultarles si han subido vídeos de lógica para principiantes pues tengo que rendir el ingreso a una universidad y nunca antes había visto lógica.
Los temas que habrán en el examen son: Elementos de lógica simbólica, Proposiciones, conectivos lógicos.
Operaciones lógicas: conjunción, disyunción, negación, implicación, equivalencia.Buenas noches. Necesito que me hechen un cable con este ejercicio.No se si puede resolverlo por determinantes o solo gauss. Siempre los resolvia cuando habia un solo parametro, ahora tengo dos. Eso es lo que me confunde un poco.

Tienes un sistema de tres ecuaciones con tres incógnitas, cuya matriz ampliada es:
1 2 3 1
2 5 1 a
1 1 (b2-1) 1
Luego dearrollas el determinante de la matriz del sistema (cuyos elementos hemos remarcado) y queda:
D = 5(b2 - 1) + 2 + 6 - 15 - 1 - 4(b2 - 1) = b2 - 1 - 8 = b2 - 9, luego tenemos tres casos:
1) D ≠ 0, que corresponde a b ≠ - 3 y b ≠ 3, y el sistema es compatible determinado.
2) D = 0, que corresponde a b = -3 o b = 3, para el que la matriz ampliada queda:
1 2 3 1
2 5 1 a
1 1 8 1
A la fila 2 le restamos el doble de la fila 1, a la fila 3 le restamos la fila 1 y queda:
1 2 3 1
0 1 -5 (a-2)
0 -1 5 0
A la fila 1 le restamos el doble de la fila 2, a la fila 3 le sumamos la fila 2 y queda:
1 0 13 (5-2a)
0 1 -5 (a-2)
0 0 0 (a-2)
Luego tenemos dos casos:
1a) Si a - 2 ≠ 0, que corresponde a a ≠ 2, el sistema resulta ser incompatible.
1b) Si a - 2 = 0, que corresponde a a = 2, la matriz ampliada reducida y escalonada por filas queda:
1 0 13 1
0 1 -5 0
0 0 0 0
Y como el rango de la matriz del sistema es 2, e igual al rango de la matriz ampliada, y el sistema tiene tres incógnitas, resulta que es compatible indeterminado.
Espero haberte ayudado.
Hola y buenas noches unicos, me he topado con un ejercicio de probabilidad bastante complejo a mi parecer, tengo las respuestas incluidas pero el desarrollo para obtenerlas simplemente no sé como se hacen, tal vez la pauta se encuentre incorrecta o algo estoy haciendo mal, porque la primera pregunta llego a 0,46 luego a 0,54, pero la respuesta a) es 0,50 dice ahí, así que ni hablar de las otras preguntas, aquí les adjunto el ejercicio, estaría muy agradecido de que me ayuden, saludos.![]()
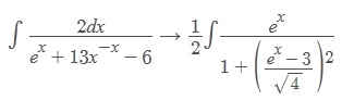
Hola, me gustaría saber como calcular el dominio de una fracción donde el numerador es una raíz impar

Para calcular el dominio de una fracción solo debes tener en cuenta que el denominador (la parte de abajo de la fracción) no se haga cero, ya que no se puede dividir por cero. Por lo tanto lo que debes hacer es igualar a cero el denominador para conocer cuales son los valores que anulan el denominador, siendo estos valores las asíntotas verticales de la función sobre la que estamos trabajando.
dom f(x)= ℛ- { los números que hagan cero el denominador}
Hola unicoos, me podrían ayudar con este ejercicio? parece que es simple la verdad y podría hacerlo con un diagrama de arbol parece, pero al ser 100 datos en total sería un poco tedioso ( o es obligatorio usarla?) , empleando las formulas como seria? he hecho ejercicios parecidos pero este no le pillo la lógica esto ultimo es lo que me cuesta, saludos y muchas bendiciones.
En una caja hay 100 bolitas del mismo tamaño . Se sacan al azar 20 de ellas, se las marca de una manera determinada y se les devuelve a la caja. En otra oportunidad, se sacan 3 de ellas sin reposición. Calcular la probabilidad de que:
a) Todas estén marcados
b) Al menos dos estén marcadas
c) Ninguna este marcada
Hola, yo creo que no hace falta diagrama de árbol.
Al final lo que tienes son 20 bolitas marcadas y 80 no marcadas. Con esta proporción, tienes que usar la probabilidad de que ocurran los hechos que te proponen.
a) La probabilidad de que la primera esté marcada es 20/100; que la segunda esté marcada tiene una probabilidad de 19/99 (puesto que no hay reposición), y que la tercera esté marcada tiene una probabilidad de 18/98 (por la misma razón). Como tienen que ocurrir las tres cosas, pues el producto de estas probabilidades es la probabilidad final. 20/100 * 19/99 * 18/98.
b) Para calcular esta probabilidad, es una buena aproximación pensar en la probabilidad contraria. La probabilidad contraria a que al menos dos estén marcadas es que solo una esté marcada. Esta probabilidad viene dada por los sucesos la primera bola está marcada, la segunda bola está marcada o la tercera bola está marcada. Es decir, es la misma probabilidad (una bola marcada, dos sin marcar), pero repetida tres veces (puede ser la primera, la segunda o la tercera). Esta probabilidad es 20/100 * 80/99 * 79/98 (bola marcada, bola sin marcar, bola sin marcar).
Por tanto, la probabilidad de que sólo una bola esté marcada es 3 * (20/100 * 80/99 * 79/98). Lo que buscamos es la probabilidad contraria, por lo que la probabilidad buscada en este apartado es 1 - (3 * (20/100 * 80/99 * 79/98)).
c) Como se puede comprobar, este suceso es el contrario al del apartado a). Por tanto, la probabilidad de que ninguna de las tres esté marcada es 1 - (20/100 * 19/99 * 18/98).
Espero haberte ayudado.
Un saludo,
Luis.

Una precisión para la resolución del último inciso.
c) Observa que el suceso complementario al suceso del inciso a) ("las tres bolillas elegidas están marcadas") es el suceso "de las tres bolillas, al menos una está marcada".
Por lo tanto, la probabilidad de elegir tres bolillas sin marcar es: (80/100)*(79/99(*(78/98).
Espero haberte ayudado.
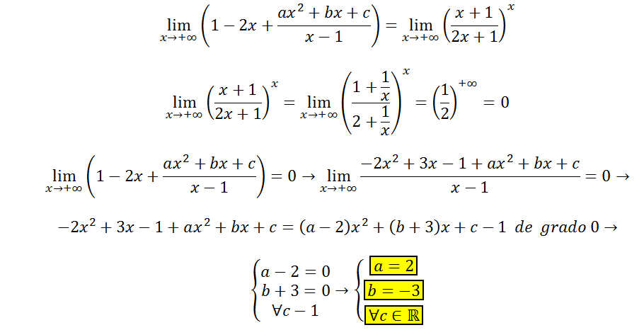
Hola unicoos, necesito ayuda con un ejercicio que dice: Hallar, si es posible, los valores de a, b, y c/ limx-->infinito(1-2x+(ax2+bx+c)/(x-1))=limx-->infinito((x+1)/(2x+1))x.Justificar. RESPUESTA: a=2, b=-3, para todo c
Hola, mi duda es, sé que debo aplicar bolzano, como que es continua, cerrada y cambiada de signo f(a) de f(b), pero quiero saber que significa la sugerencia, de que me sirve la composición y como la hago, sería un favor que me explicaran
Gracias
Podriais ayudarme a resolver este sistema? Más o menos me desenvuelvo por Cramer, pero en esta ocasión creo que no puedo resolverlo por este método, dado que no tengo una matriz cuadrada. Creo que se resuelve por rangos, pero no estoy muy seguro.
Muchas gracias.

Vamos con el método de Gauss. Tienes la matriz ampliada del sistema de cuatro ecuaciones con cinco incógnitas::
1 2 3 2 -1 1
2 -3 5 3 2 2
3 -1 8 5 1 3
2 4 6 4 -2 2
A la fila 2 le restamos el doble de la fila 1, a la fila 3 le restamos el triple de la fila1, a la fila 4 le restamos el doble de la fila 1 y queda:
1 2 3 2 -1 1
0 -7 -1 -1 4 0
0 -7 -1 -1 4 0
0 0 0 0 0 0
A la fila 3 le restamos la fila 2 y queda:
1 2 3 2 -1 1
0 -7 -1 -1 4 0
0 0 0 0 0 0
0 0 0 0 0 0
A la fila 2 la multiplicamos por -1/7 y queda:
1 2 3 2 -1 1
0 1 1/7 1/7 -4/7 0
0 0 0 0 0 0
0 0 0 0 0 0
A la fila 1 le restamos el doble de la fila 2, y queda:
1 0 19/7 12/7 1/7 1
0 1 1/7 1/7 -4/7 0
0 0 0 0 0 0
0 0 0 0 0 0
Luego, observa que el rango de la matriz del sistema es 2, e igual al rango de la matriz ampliada, pero como tenemos cinco incógnitas, el sistema resulta ser compatible indeterminado, y su sistema equivalente reducido y escalonado por filas queda:
x + (19/7)z +(12/7)t + (1/7)u = 1, de donde podemos despejar: x = 1 - (19/7)z - (12/7)t - (1/7)u
y + (1/7)z + (1/7)t - (4/7)u = 0, de donde podemos despejar: y = - (1/7)z - (1/7)t + (4/7)u
z ∈ R
u ∈ R
v ∈ R
Espero haberte ayudado.