Ayuda Antonio Benito.
Calcula el valor de las siguientes expresiones, indicando claramente las operaciones que realizas.
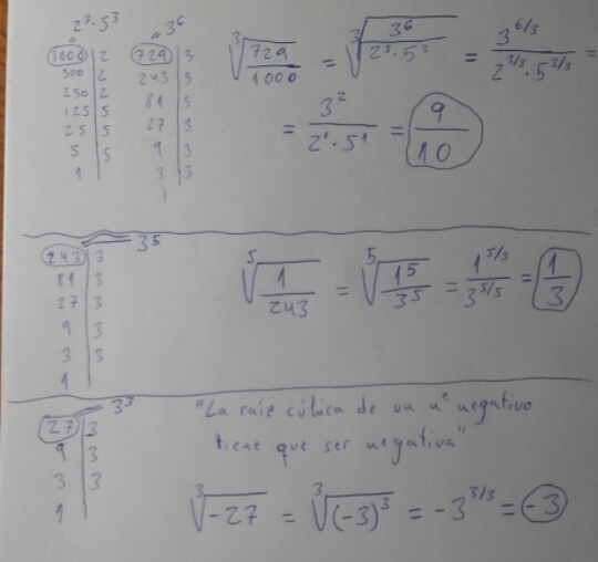
¿Qué ocurre si a la hora de factorizar números del MCD, la división no es exacta?
He estado practicando con algunos problemas y tengo este número 12028... el problema que a la hora de descomponer, como hago la división, no me da exacto...
¿Qué tengo que hacer?
Pon el enunciado concreto, pero si tu problema es que no consigues descomponer el 12028 te lo descompongo yo: 12028 = 22 · 31 · 97.
Si al hacer el MCD no hay ningún factor común significa que la fracción es irreducible y, por tanto, la tienes que dejar tal como está.
Espero que te sirva.

Tengo la solución, porque lo he sacado de internet, son problemas resueltos, solo práctico con ellos para asegurarme que lo manejo todo bien. Este es el enunciado:
Un comerciante desea poner en cajas 12 028 manzanas y 12 772 naranjas, de modo que cada caja contenga el mismo número de manzanas o de naranjas y, además, el mayor número posible. Hallar el número de naranjas de cada caja y el número de cajas necesarias.
A mi me gusta descomponer en factores primos... el otro método siempre intento evitarlo, porque me parece más lento.
Me he quedado con el último factor primo que sería el 5... porque ahí es donde me sale la división con resto... y he parado... Así que sigo sin entenderlo jeje.

Vamos con el método del algoritmo de división, al que tu llamas "el más lento", para calcular el máximo común divisor entre 12772 y 12028.
Para ello planteamos divisiones enteras:
12772/12028, cuyo cociente es: C1 = 1, y su resto es: r1 = 744, luego planteamos la división:
12028/744, cuyo cociente es: C2 = 16, y su resto es r2 = 124, luego planteamos la división:
744/124, cuyo cociente es: C3 = 6, y su resto es: r3 = 0;
luego, por el Algoritmo de Euclides tenemos que el máximo común divisor entre 12772 y 12028 es el último resto no nulo, en este caso: r2 = 124.
Luego, el comerciante puede empacar:
12772/124 = 103 naranjas por cajón, y
12028/124 = 97 manzanas por cajón.
Espero haberte ayudado.
login video que explique 3 eso tema probabilidad como operaciones con sucesos y regla de Laplace, frecuencia y probabilidad y propiedades?

Probabilidad Y en ese enlace solo tienes algunos de los muchos que hay a tu disposicion... Pero si no nos dices que curso estudias, que necesitas, nos envias algun ejemplo concreto, no podemos adivinar que necesitas. Besos!

Tienes la expresión de la función: f(x) = x3 + px,
en la que p es un número real, observa que es una función continua y derivable, por lo que planteamos su derivada primera y queda:
f ' (x) = 3x2 + p.
Luego, evaluamos la función para la abscisa del punto de tangencia (o de contacto) que nos dan en el enunciado:
f(1) = 13 + p*1 = 1 + p, por lo que las coordenadas del punto de tangencia quedan: A(1,1+p).
Luego, evaluamos la derivada para la abscisa dada en el enunciado, para obtener la pendiente de la recta tangente:
f ' (1) = 3*12 + p = 3 + p, por lo que la pendiente de la recta tangente queda: m = 3+p.
Luego planteamos la ecuación cartesiana explícita de la recta:
y = m(x - xA) + yA,
reemplazamos y queda para la recta tangente:
y = (3 + p)*(x - 1) + (1 + p),
distribuimos y queda:
y = (3 + p)x - 3 - p + 1 + p,
reducimos términos semejantes y queda:
y = (3 + p)x - 2.
Espero haberte ayudado.
Para determinar el dominio, tienes que ver que la función está definida en todo R, excepto en los valores en los que se anule el denominador.
Igualas a cero la ecuación de segundo grado que compone el denominador y obtienes: x1=-3 y x2=-1 son los dos valores que no pertenecen al dominio.
Por lo tanto, D= (-inf,-3)U(-3,-1)U(-1,inf)
¿Cómo calculo una recta perpendicular al plano x=0 y que corte a otras dos rectas dadas? ¿Qué procedimiento sigo? Al ser perpendicular a ese plano tiene vector director (1 0 0) y he comprobado la posición relativa de las rectas y se cruzan. No se me ocurre nada para continuar.

Debes plantear las coordenadas del punto de intersección entre las dos rectas dadas, te quedará: P0(a,b,c), y luego puedes plantear la ecuación vectorial paramétrica para la recta, cuyo vector director es u =<1,0,0>, por ser perpendicular al plano dado, lo haces y queda:
<x,y,z> = <a,b,c> + t<1,0,0>, con t ∈ R, resolvemos el segundo miembro componente a componente y queda:
<x,y,z> = <a+t.b,c>, con t ∈ R, luego, puedes plantear las ecuaciones cartesianas paramétricas:
x = a + t
y = b
z = c,
t ∈ R.
Espero haberte ayudado.
No me ayuda mucho, a ver entiendo lo que dices pero el problema es que las rectas dadas se cruzan, luego no hay punto de intersección. Te doy las rectas para que lo compruebes si quieres. La recta r es la intersección de los planos x-y+z=1 y x+z=0 ; y la recta s es la intersección de los planos x+2y =1 y 2y-z=1. ¿Se te ocurre algo más?

Para la recta r, tienes que es la intersección de los planos cuyas ecuaciones son:
x - y + z = 1
x + z = 0.
Para la recta s tienes que es la intersección de los planos cuyas ecuaciones son:
x + 2y = 1
2y - z = 1.
Luego, el punto de intersección pertenece a las dos rectas y, por lo tanto, pertenece a los cuatro planos, por lo que planteamos el sistema de cuatro ecuaciones con tres incógnitas:
x - y + z = 1
x + z = 0, de aquí despejamos: x = - z (1)
x + 2y = 1
2y - z = 1, de aquí despejamos: y = (1/2)z + 1/2 (2),
luego sustituimos en las otras dos ecuaciones y quedan:
- z - (1/2)z - 1/2 + z = 1
x + 2((1/2)z + 1/2) = 1,
distribuimos, reducimos términos semejantes, hacemos pasaje de término y queda:
- (1/2)z = 3/2, de aquí despejamos: z = -3
x + z = 0
reemplazamos en la segunda ecuación, despejamos y llegamos a: x = 3.
Luego, observa que la ecuación señalada (1) se verifica, y que la ecuación señalada (2) nos conduce a: y = -1.
Luego, concluimos que el punto de intersección entre las dos rectas tiene coordenadas: P0(3,-1,-3).
Y, por último, la ecuación vectorial de la recta de tu consulta original queda:
<x,y,z> = <a+t.b,c>, con t ∈ R, reemplazamos (a = 3, b = -1, c = -3) y queda:
<x,y,z> = <3+t.-1,-3>, con t ∈ R.
Espero haberte ayudado.
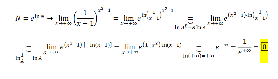
Buenas estoy teniendo problemas para resolver una progresión geométrica: Dada la progresión geométrica 3, 3√2, 6, 6√2....halla la suma de los 19 primeros números. Sé que la razón es √2 y aplico la fórmula que está factorizada para hacer la suma de progresiones y no me da el resultado que viene en el libro de S(sub19)= 3069-1533√2. Gracias por la ayuda !!

Tienes:
primer término: a1 = 3, razón: r = √(2), cantidad de términos: n = 19, último término: a19 = 3( √(2) )18 = 3*29 = 1536,
luego plantea la suma, con la expresión correspondiente a n contado a partir de 1:
Sn = a1 * (rn - 1)/(r-1), evalúas:
S19 = a1 * (r19 - 1)/(r-1) = 3 * ( (√(2))19 - 1)/(√(2) - 1) (1).
Luego, multiplica y divide por la expresión "conjugada" del denominador y queda:
para el numerador (N) de la expresión irracional:
N = ( (√(2))19 - 1 )*(√(2) + 1) = ( (√(2))18 * √(2) - 1 )*(√(2) + 1) = (29*√(2) - 1)*(√(2) + 1) =
= (512√(2) - 1)*((√(2) + 1) = 1024 + 512√(2) - √(2) - 1 = 1023 + 511√(2);
para el denominador (D) de la expresión irracional:
D = (√(2) - 1)*(√(2) + 1) = 2 - 1 = 1.
Luego, sustituimos en la expresión señalada (1) y la sumatoria queda:
S19 = 3 * ( (√(2))19 - 1)/(√(2) - 1) = 3*(1023 + 511√(2))/1 = 3069 + 1533√(2).
Espero haberte ayudado.
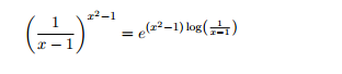
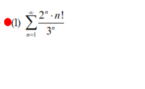
Hola buenas , alguien podría resolverme este apartado ( me piden estudiar la convergencia)

Puedes aplicar el criterio del cociente (o de la razón), y observa que el término general es positivo):
| an+1/an | = (2n+1(n+1)! / 3n+1) / (2nn! / 3n) = simplificas = 2(n + 1)/3.
Luego, aplicas el criterio, tomas el límite para n tendiendo a +infinito y queda:
Lím(n→+∞) | an+1/an | = Lím(n→+∞) 2(n + 1)/3 = (2/3) Lím(n→+∞) (n + 1) = +∞,
por lo que tienes que la serie es divergente.
Espero haberte ayudado.