Como seria el apartado f? es el unico que me da probelmas con el planteo de las integrales para el area entre las curvas.
A la hora de factorizar por Ruffini, siempre debe de haber un término independiente en el polinomio?
Si no hubiera término independiente:
1. Sacamos factor común, probamos a hallar las soluciones por despeje directo o con la fórmula para ecuaciones de segundo grado o bicuadradas
Si hubiera término independiente:
Si no nos sirvieron los pasos de 1. y procedemos a hacer Ruffini
Por lo tanto como respuesta a lo que preguntabas: siempre debe haber término independiente, pero hay que verificar los pasos anteriores
Hola necesito ayuda; el problema es el siguiente:
Un objeto es proyectado verticalmente hacia arriba, si su distancia s(t) en pies sobre el suelo después de t segundos, está dada por la ecuación s(t)= -16t2 +144+100
a) Representa gráficamente la trayectoria del objeto.
b)Busca la distancia máxima.
c)En que tiempo el objeto choca al suelo.
Gracias por su ayuda :)

Hola! Me encantaría ayudarte, pero no respondo dudas universitarias que no tengan que ver específicamente con los videos que ya he grabado como excepcion. O de otras asignaturas que no sean matemáticas, física y química. Lo siento de corazón… Espero lo entiendas
Ojalá algun unicoo universitario se anime a ayudarte (de hecho lo ideal es que todos los universitarios intentarais ayudaros los unos a los otros)
Buenas tardes, necesito ayuda con este problema, no consigo hacer el desarrollo.
"determinar un número de tres cifras sabiendo que al dividirlo entre la suma de sus cifras el cociente es exacto e igual a 64 y que dicho número disminuye en 450 unidades al intercambiar la cifra de las centenas con la de las decenas".
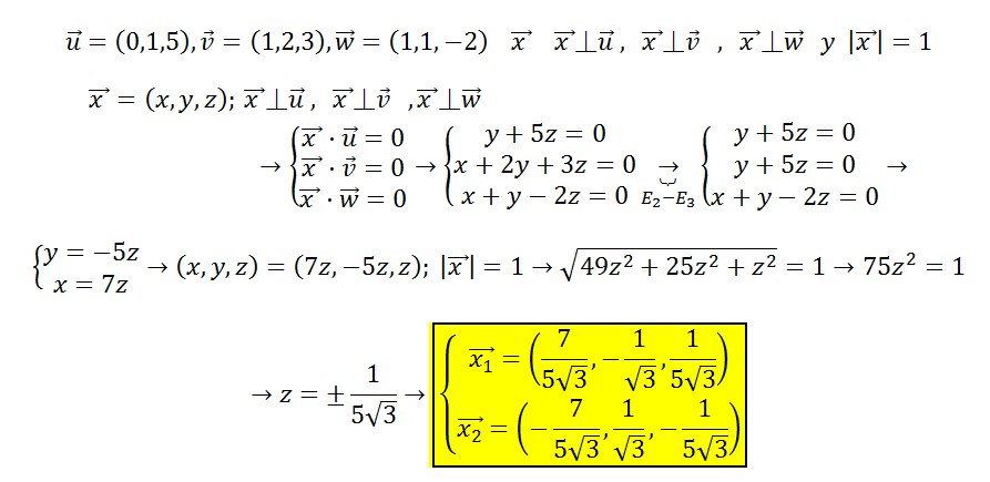
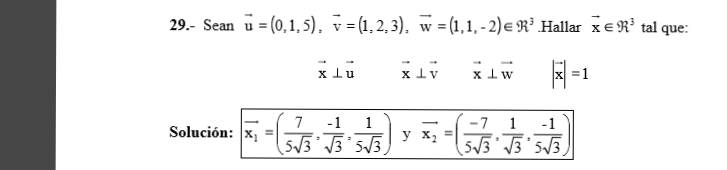
Buenas, este ejercicio se puede resolver aplicando el sistema de tres ecuaciones a partir del producto escalar que nos dará un valor de λ y luego le aplicamos que es unitario para saber λ y así calcular las soluciones.
Pero también aplicando el producto vectorial de uxv uxw y vxw y me da el mismo vector en los tres y haciéndolo unitario obtengo el mismo resultado que en la forma anterior.
¿Es simple casualidad que me haya dado el mismo resultado o es que de la 2º forma tiene alguna explicación teórica? Muchas gracias. Espero respuestas.

Me encantaría ayudarte, pero no respondo dudas universitarias que no tengan que ver específicamente con los videos que ya he grabado como excepcion. O de otras asignaturas que no sean matemáticas, física y química. Lo siento de corazón… Espero lo entiendas
Ojalá algun unicoo universitario se anime a ayudarte (de hecho lo ideal es que todos los universitarios intentarais ayudaros los unos a los otros)

Observa que puedes multiplicar en todos los términos por el diferencial de x y queda:
(2x + αy + 2xex^2)dx + (2y + x)dy = 0.
Luego, debemos encontrar la expresión de una función f(x,y), tal que:
(∂f/∂x) dx + (∂f/∂y) dy = 0; observa que la expresión de la izquierda corresponde al diferencial de la función, sustituimos y queda:
df = 0, integramos en ambos miembros y tenemos la solución general implícita de la ecuación diferencial:
f(x,y) = K, con K ∈ R.
Luego, comparamos ambas ecuaciones término a término y tenemos:
∂f/∂x = 2x + αy + 2xex^2, integramos parcialmente con respecto a x y queda: f(x,y) = x2 + αxy + ex^2 + A(y);
∂f/∂y = 2y + x, integramos parcialmente con respecto a y y queda: f(x,y) = y2 + xy + B(x),
donde A(x) y B(x) son funciones de una variable, o constantes, que debemos determinar.
Luego, igualamos las dos expresiones de la función y queda la ecuación:
x2 + αxy + ex^2 + A(y) = y2 + xy + B(x),
luego comparamos términos y nos queda el sistema:
x2 + ex^2= B(x),
αxy = xy, de donde tienes: α = 1,
A(y) = y2.
Por último la expresión de la solución general de la ecuación diferencial queda:
f(x,y) = K, sustituimos y llegamos a:
x2 + xy + ex^2 + C = k, luego hacemos pasaje de término para agrupar constantes y llegamos a:
x2 + xy + ex^2 + y2 = K.
Espero haberte ayudado.