Tengo que resolver este sistema y= -3x2 + 6x+3 y=-x2 +4x-1 y yo lo resolvi haciendo Y=Y al final me queda en -0,8 pero hice algo mal y no se que es, y es muy importante sacar el resultado correcto porque despues tengo que que graficarla en un grafico.
Gracias :)

Comencemos por igualar, como indicas, y queda:
- x2 + 4x - 1 = - 3x2 + 6x + 3, hacemos pasajes de términos y queda:
- x2 + 4x - 1 + 3x2 - 6x - 3 = 0, reducimos términos semejantes y queda:
2x2 - 2x - 4 = 0, dividimos por 2 todos los términos de la ecuación y queda:
x2 - x - 2 = 0, observa que es una ecuación polinómica cuadrática, aplicas la fórmula resolvente y quedan sus soluciones:
a) x = -1, reemplazamos en las ecuaciones iniciales, resolvemos y queda: y = - 6;
b) x =2, reemplazamos en las ecuaciones iniciales, resolvemos y queda: y = 3.
Luego, concluimos que el conjunto solución del sistema de ecuaciones queda:
S = { (-1,-6) , (2,3) }.
Espero haberte ayudado.
porque haces aca el pasaje de termino todo de repente??? es lo mismo que si lo cambiamos de a poco???
- x2 + 4x - 1 + 3x2 - 6x - 3 = 0
Poruqe cuando no hago el pasaje de termino todo junto no recibo lo mismo que vos, y cuando lo hago pasando todo junto hay si me da tu resultado.
Y al ultimo que dividis todo por 2 es para que te quede 2x2 como x2 ???
Muchas gracias :)
Muy buenas, me podrían ayudar con este sistema de ecuaciones, me confunde un poco lo de las multiplicaciones, tengo que obtener i1,i2,i3
gracias

Vamos con la sugerencia del colega Gabriel, y denominamos: i1 = x, i2 = y, i3 = z. Luego, el sistema de ecuaciones queda:
1,9x - 2z = 2,1
- 2z - 3,5y = 6,3
x + z = y,
luego multiplicamos por 10 en la primera y en la segunda ecuación y queda:
19x - 20z = 21, de donde despejamos: x = (21 + 20z)/19 (*),
- 20z - 35y = 63, de donde despejamos: (- 20z - 63)/35 = y (**),
x + z = y,
luego sustituimos las expresiones señaladas (*) (**) en la tercera ecuación y queda:
(21 + 20z)/19 + z = (- 20z - 63)/35, multiplicamos en todos los términos de la ecuación por 35 y por 19, simplificamos y queda:
35(21 + 20z) + 665z = 19(- 20z - 63), distribuimos agrupamientos y queda:
735 + 700z + 665z = - 380z - 1197, hacemos pasajes de términos, reducimos términos semejantes y queda:
1745z = - 1932, hacemos pasaje de factor como divisor, resolvemos y queda:
z = - 1932/1745 ≅ - 1,107.
Luego reemplazamos en la ecuación señalada (**), resolvemos y queda:
y ≅ -1,167;
luego reemplazamos en la ecuación señalada (*), resolvemos y queda:
x ≅ - 0,060.
Luego, concluimos que la solución del sistema es: i1 ≅ -0,060, i2 ≅ -1,167, i3 = - 1,107.
Espero haberte ayudado.
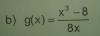
Hola! Necesito ayuda con un ejercicio de derivada, usando el criterio de la primera derivada, cómo lo resuelvo? ![]()

Observa que el dominio de la función es: D = R - {0}, y que la expresión de la función puede escribirse:
g(x) = (x3 - 8) / 8x = x3 / 8x - 8 / 8x, simplificamos y queda:
g(x) = x2/8 - 1/x, luego planteamos la expresión de la función derivada:
g ' (x) = x/4 + 1/x2, luego planteamos la condición de punto crítico::
g ' (x) = 0, sustituimos y queda:
x/4 + 1/x2 = 0, hacemos pasaje de término y queda:
x/4 = - 1/x2, hacemos pasajes de divisores como factores y queda:
x3 = - 4, hacemos pasaje de potencia como raíz y queda.
x = ∛(-4) ≅ -1,587.
Luego, el dominio nos queda subdividido en tres intervalos, elegimos un representante para cada uno, y evaluamos el signo de la derivada primera:
( -inf,∛(-4) ), representado por x = -2, y para él tenemos: g ' (-2) = - 1/4 < 0, por lo que la función es decreciente en este intervalo;
( ∛(-4) , 0), representado por x = -1, y para él tenemos: g ' (- 1) = 3/4 > 0, por lo que la función es creciente en este intervalo;
( 0 , + inf), representado por x = 1, y para él tenemos: g ' (1) = 5/4 > 0, por lo que la función es creciente en este intervalo;
luego, observa que x = ∛(-4) es la abscisa de un mínimo de la función.
Luego, queda para que completes el estudio de la función (cortes con los ejes, asíntotas y gráfico).
Espero haberte ayudado.
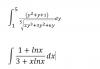
Buenas noches. Como seria para plantear el area,mediante integrales, del siguiente enunciado:
Me dan y=x^3 y=0 con x=-1 x=2
Lo que entiendo es que, esos dos valores de x serian como lo spuntos de corte, o los puntos desde donde se evaluara la integral. Pero el planteo de las integrales es la duda.Como seria la manera correcta de plantear el calculo del area?
Hola tocayo :D
Es calcular el área que barre esa curva entres -1≤x≤2. Sepáralo en dos integrales definidas, la primera -1≤x≤0 + la segunda 0≤x≤2, y considera el valor absoluto de ambas, puesto que estás sumando áreas y al estar parte de la gráfica por debajo de y=0, te saldría negativo. Te adjunto una imagen para que lo puedas ver mejor.
Espero haberme sabido expresar..
Hola tengo una duda sobre funciones homograficas:
si quisiera pasar de f(x)= (ax+b)/(cx+d) a f(x)= k/(x-x0) + y0 (forma canonica) como hago?

Observa que puedes trabajar con el numerador (consideramos c ≠ 0):
ax + b = multiplicamos y dividimos por c = a(cx)/c = sumamos y restamos d en el agrupamiento =
= a(cx + d - d)/c = agrupamos dentro del agrupamiento = a( (cx + d) - d)/c = distribuimos = (a/c)(cx + d) - ad/c.
Luego, sustituimos en la expresión de la función, distribuimos el divisor y queda:
f(x) = (ax + b)/(cx + d) = ( (a/c)(cx + d) - ad/c )/(cx + d), distribuimos el divisor, simplificamos en el primer término y queda:
f(x) = a/c - (ad/c)/(cx + d), ordenamos términos y llegamos a:
f(x) = - (ad/c)/(cx + d) + a/c,
observa que tenemos:
k = - ad/c
y0 = a/c.
Espero haberte ayudado.