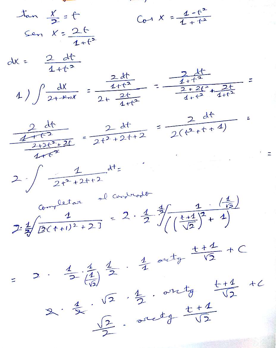
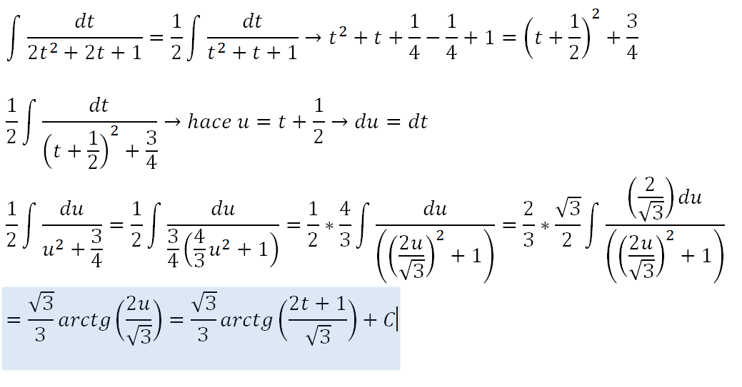
Hola, ¿me podrían decir cómo se hace la primera integral sustituyendo las fórmulas trigonométricas que que empleo en la segunda? Y en la segunda, otra más en la que me quedo atascado y nada, no llego a la solución. Gracias

Las expresiones que empleaste en el ejercicio anterior, son aplicables cuando tienes argumentos con factores de la forma (1-cosx) o (1+cosx), entre otros casos.
En el ejercicio de la parte superior, debes plantear la sustitución: x = w2, de donde tienes: dx = 2w*dw, luego sustituyes y la integral queda:
I = ∫ senw*2w*dw = 2 ∫ w*senw*dw, que puedes continuar planteando el método de integración por partes.
Espero haberte ayudado.
Me pueden ayudar con este problema
"Un banco lanza al mercado un plan de inversión cuya rentabilidad R(x), en pesos, viene dada en función de la cantidad invertida, x en pesos, por medio de la expresión : R(x)= -0.001x^2 + 0.4x + 3.5 . Deducir que cantidad de dinero convendrá invertir en dicho plan. ¿Qué rentabilidad obtuvo el caso anterior?

Observa que x puede tomar valores positivos solamente.
Luego, planteamos la derivada de la funciión:
R ' (x) = -0,002x + 0,4.
Luego, planteamos la condición de punto crítico (posible máximo o mínimo de la función):
R ' (x) = 0, sustituimos y queda:
-0,002x + 0,4 = 0, hacemos pasaje de término, luego de factor como divisor y queda:
x = (-0,4)/(-0,002), resolvemos y llegamos a:
x = 200.
Luego, evaluamos la función para el punto crítico, y para dos valores cercanos a él, uno mayor y otro menor:
para x = 190 tenemos: R(190) = 43,4;
para x = 200 tenemos: R(200) = 43,5;
para x = 210 tenemos: R(210) = 43,4.
Luego, concluimos que si se invierte x = 200, se obtendrá la renta máxima: R(200) = 43,5.
Otra forma para plantear el problema, es encontrar las coordenadas del vértice de la parábola, que es la gráfica de la función.
Espero haberte ayudado.
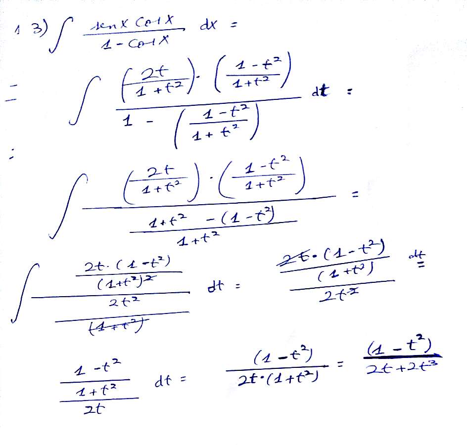
Bueno, tampo me sale esta, no sé cómo terminarlas,las tengo que hacer exclusivamente con las fórmulas trigonométricas. Gracias![]()

Tienes la integral:
I = ∫ ( senx*cosx/(1-cosx) )dx,
aplicas la sustitución (cambio de variable): w = cosx, de donde tienes: dw = -senxdx, y también tienes: -dw = senxdx, sustituyes y queda:
I = ∫ ( w/(1-w) )*(-dw),
luego observa que la expresión del integrando puede escribirse: w/(1-w) = ( (w-1) + 1 )/(1-w) = (w-1)/(1-w) + 1/(1-w) = -1 - 1/(w-1), sustituyes y queda:
I = ∫ ( -1 - 1/(w-1) )*(-dw) = ∫ ( 1 + 1/(w-1) )*dw, resolvemos y queda:
I = w + ln|w-1| + C, sustituimos la expresión para w y llegamos a:
I = cosx + ln|cosx - 1| + C.
Espero haberte ayudado.
Buenas noches,
he estado estudiando logaritmos y entre los videos no he visto ninguno que muestre cómo representarlos gráficamente. Me sería de gran ayuda para entenderlo mejor, ya que hay algunos ejercicios que directamente te muestran la gráfica y entre varias opciones es necesario saber a qué función logarítmica se corresponde.
Muchísimas gracias!

Graficar una funcion donde aparezcan logaritmos es sencillo si entiendes la definicion de logaritmo [ log(x) = b <==> 10^b = x ] , para f(x) = log(x) lo que haces es calcular su dominio para saber a partir de que numeros se puede empezar a reemplazar en la variable ''equis''; haces que lo de dentro del logaritmo siempre sea positivo pero nunca cero, esto es x>0 ==> x∈ (0,+inf) ; reemplazar por ejemplo el 1 ; f(1) = log(1) = 0 [ devuelvete a la definicion, log(1) = 0 por que 10^0 = 1 y para x = 1 resulta ser imagen cero (1,0) ]![]()

Antes que todo, observa que debe cumplirse: θ ≠ (2k+1)π/2, con k ∈ Z.
Luego, podemos aplicar la identidad trigonométrica: 1 + tan2θ = sec2θ, sustituimos y queda:
cosθ * √(sec2θ) = 1, elevamos al cuadrado en ambos miembros y queda:
cos2θ * sec2θ = 1, asociamos exponentes y queda:
(cosθ * secθ)2 = 1, aplicamos la identidad trigonométrica para la secante y queda:
(cosθ * 1/cosθ) = 1, simplificamos y llegamos a:
1 = 1, que es una identidad verdadera, por lo que concluimos que la ecuación tiene infinitas soluciones, y su conjunto solución queda:
S = {θ ∈ R: θ ≠ (2k+1)π/2, con k ∈ Z}.
Espero haberte ayudado.

Podemos plantear para las raíces del polinomio cuadrático:
x1 = a, x2 = 3a, luego pasamos a la expresión factorizada (observa que el coeficiente principal es igual a 4):
P(x) = 4(x - x1)(x - x2), sustituimos las expresiones de las raíces:
P(x) = 4(x - a)(x - 3a), distribuimos los agrupamientos y queda:
P(x) = 4(x2 - 3ax - ax + 3a2), reducimos términos semejantes en el agrupamiento y queda:
P(x) = 4(x2 - 4ax + 3a2), distribuimos y queda:
P(x) = 4x2 - 16ax + 12a2.
Luego comparamos términos semejantes con la expresión del polinomio del enunciado y queda:
4 = 4 (al comparar términos cuadráticos),
- 16a = - 8 (al comparar términos lineales),
12a2 = 2k + 1 (al comparar términos constantes);
luego, de la segunda ecuación puedes despejar: a = 1/2, reemplazas en la tercera ecuación y queda:
12(1/2)2 = 2k + 1, de donde despejas y llegas a: 1 = k.
Luego, las raíces del polinomio son: x1 = 1/2, x2 = 3/2, y su expresión es: P(x) = 4x2 - 8k + 3.
Espero haberte ayudado.

Me quedó casi todo claro, excepto el comienzo, por qué se pasa a la expresión factorizada?, con qué se trabaja ahí?
"luego pasamos a la expresión factorizada (observa que el coeficiente principal es igual a 4):
P(x) = 4(x - x1)(x - x2), sustituimos las expresiones de las raíces:"
Asumo que eso corresponde al 4x2 , pero por qué se toma en cuenta sólo eso y no el -8x+2k+1?

Un polinomio de grado 2, de la forma:
P(x) = ax2 + bx + c, puede ser factorizado como:
P(x) = a(x - x1)(x - x2), donde x1 y x2 son las raíces del polinomio.
Recuerda que para factorizar un polinomio, debemos tener en cuenta:
- su coeficiente principal,
- sus raíces: x1, x2,
- los factores asociados a las raíces: (x - x1), (x - x2).
Espero haberte ayudado.

Me encantaría ayudarte, pero no respondo dudas universitarias que no tengan que ver específicamente con los videos que ya he grabado como excepcion. O de otras asignaturas que no sean matemáticas, física y química. Lo siento de corazón… Espero lo entiendas
Ojalá algun unicoo universitario se anime a ayudarte (de hecho lo ideal es que todos los universitarios intentarais ayudaros los unos a los otros)
Hola buenas! Resulta que tengo un limite tal que este que te dejo en foto, nose muy bien que metodo tengo que usar ni como resolverlo. Ayudaaa!!!

Observa que es indeterminado, ya que el numerador (N) y el denominador (D) tienden a cero. Luego, aplicaremos la Regla de L'Hôpital, y para ello preparamos las derivadas:
N ' = 1/(1+x) - 1 = ( 1 - (1+x) )/(1+x) = -1/(1+x),
D ' = ln(1+x) + x/(1+x) = ( (1+x)ln(1+x) + x )/(1+x).
Luego, pasamos al cálculo del límite:
Lím(x->0) N/D = aplicamos la Regla de L'Hôpital (obsrva que simplificamos denominadores):
= Lím(x->0) (- 1) / ( (1+x)ln(1+x) + x ) = infinito (observa que el numerador es -1, y que el denominador tiende a 0).
Espero haberte ayudado.