Por favor ayudadme con este ejercicio lo mas pronto posible, tengo examen en unas horas, muchas gracias de antemano :D
Sea T: R3 -> R3 definida por T(vector x)= <vector x , vector y> * vector v = (vector x* vector v) * vector v , donde vector v*v=1, entonces T es una transformacion lineal. Construya una representacion geometrica que ilustre la forma en que transformas a cada vector x.
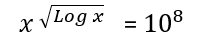
Buenas unicoos podrian ayudarme en este ejrtcicio. Me quedo estancado al sustituir los valores... ayudenmee!. ![]()
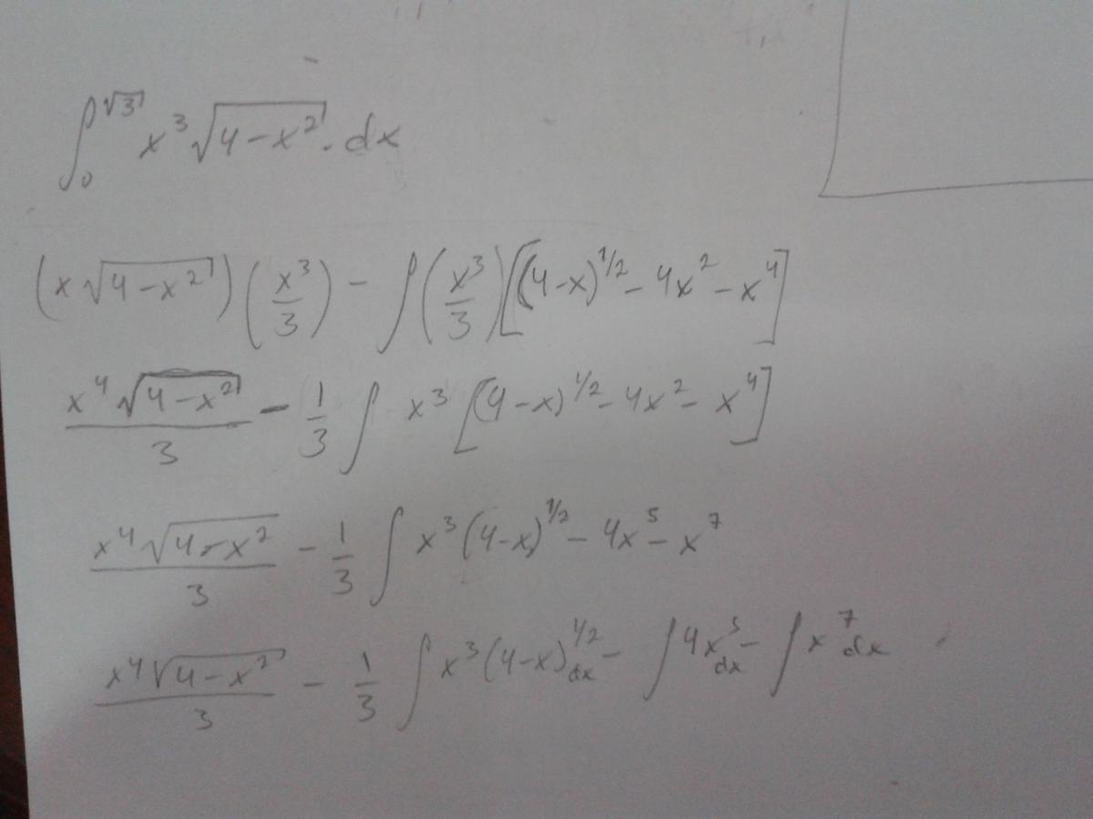
![]()

Vamos con una orientación: si el argumento de la integral es:
f(x)*dx = x3 * √(4 - x2) * dx = x2 * √(4 - x2) * x*dx, planteamos la sustitución (cambio de variable):
w = 4 - x2, de donde tienes: x2 = 4 - w, y también tienes:
dw = -2x*dx, de donde despejas: (-1/2)dw = x*dx,
y observa que el argumento de la integral queda:
f(w) = (4 - w)*√(w)*(-1/2)dw = (-1/2)*(4-w)*w1/2*dw = (-1/2)*(4w1/2 - w3/2)*dw.
Luego sustituyes y la integral queda:
I = (-1/2) ∫ (4w1/2 - w3/2)*dw, y seguramente puedes continuar la tarea.
Espero haberte ayudado.
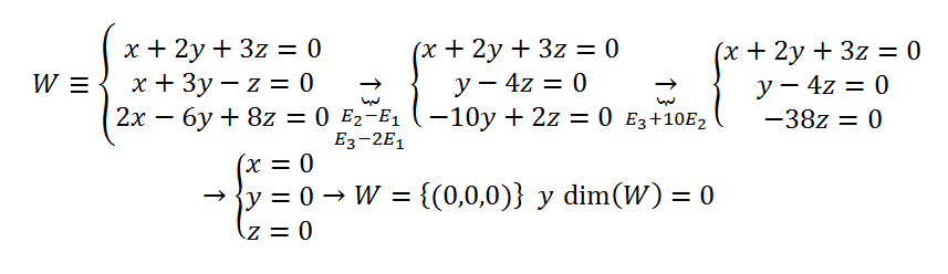
Holas, por favor ayudadme con este ejercicio, mañana tengo examen :c, gracias :)
Determinar la dimension y una base para el espacio solucion del sistema:
x1+ 2x2 + 3x3 = 0
x1+ 3x2 - x3 = 0
2x1 - 6x2 + 8x3 = 0
Buenas noches. Necesito un cable con esta integral.
∫tg^3(x).sec(x)dx (integral de tangente al cubo por secante)
Como se hace para resolverla? Llegue a escribir la tg al cubo como el producto de tang^2 .tang..y despues a la tang^2 como sec^2 -1, pero me queda mas enrollado todavia.
A ver quien me saca de dudas:

Estoy haciendo este ejercicio en el cual tengo que extraer los vectores directores de la formulas anteriores i un punto.
A continuación tengo que justificar si son paralelas, secantes o perpendiculares.
Pero con mis resultados no lo puedo verificar fácilmente, por ejemplo:
-Las rectas r i s son perpendiculares pero no puedo aplicar la siguiente formula (A,B) --> (-B,A) o (B,-A) únicamente se que son perpendiculares porque el producto de sus módulos (raíz de 40 i 50) multiplicados por el coseno de 90º es = 0. Pero supongo que esa explicación es muy rebuscada igual que la explicación que muestro en los apuntes de t i u:
Donde teóricamente V1/U1 = V2/U2
En mi caso el resultado es -2 i 2 afecto el cambio de signo?
-Una ultima pregunta si r i t són secantes como encuentro el punto de corte? Gracias!