Hola una pregunta se ah echo algun video o alguien me explica como resolver este tipo de ejercicios? es el numero "2"
Te van algunos apartados, intenta hacer lo restante (si no te sale mandas lo que está mal y te lo corrijo):
El dominio es el conjunto de elementos "x" que tienen imagen en f(x)
1. Observa que todas las x pueden tomar cualquier valor para dar un valor a f(x) excepto cuando el numerador se anule...ya que dará lugar a una indeterminación
2. Igualamos el denominador de f(x) a cero así: -2x+4=0 ----> x=2
-------> Entonces teniendo en cuenta las dos premisas anteriores llegamos a la conclusión Dominio= D = (-inf,2) U (2,inf)
-------> La raíz de f(x) será cuando f(x)=0....entonces habrá que ver en qué valor se anula el numerador (y que ese mismo punto no coincida con x=2, para que la función no sea indeterminada) 3x+6=0----> x= -2 es la raíz
-------> La ordenada en el origen se refiere al valor de f(x) ó y cuando x=0 .....entonces sustituimos la x por cero en f(x):
f(x)= 3x+6/-2x+4......f(0)= (3*0+6)/(-2*0+4)= 6/4=3/2
*)Para el crecimiento/decrecimiento haz la primera derivada, calcula sus raíces, forma intervalos en la recta real con esas raíces y si te da mayor que cero en un intervalo será creciente y si es menor será decreciente
Para concavidad/convexidad haz la segunda derivada y si es mayor que cero será convexa y si es menor será cóncava (el procedimiento análogo a *)
Es cierto que TODAS las series alternadas son SIEMPRE convergentes? Y si eso es cierto, de que sirve usar el teorema de Leibnz para demostrar que sean convergentes si es que siempre serán convergentes? Y porque Tareasplus tiene un video https://www.youtube.com/watch?v=rUK0GBJKaHc donde dice que una serie alternada puede ser divergente? estoy confundida

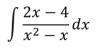
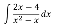
Debes expresar el argumento de la integral con fracciones parciales:
(2x-4) / (x2-x) = (2x-4) / x(x-1) = a/x + b/(x-1) = ( a(x-1) + bx ) / x(x-1),
luego comparamos numeradores, y evaluamos para dos valores arbitrarios de la variable x (observa que los más convenientes son 0 y 1)
a(x - 1) + bx = 2x - 4
para x=0 queda: -a = - 4, de donde despejamos: a = 4;
par x=1 queda: b = 2.
Luego, pasamos a la integral:
.I = ∫ ( (2x-4) / (x2-x) )dx = ∫ 4/x dx + ∫ 2/(x-1) dx = 4ln|x| + 2ln|x-1| + C.
Espero haberte ayudado.
Halla las Ecuaciones de las Rectas Tangentes comunes a la Circunferencia x^2+y^2+10x-20=0 y a la parábola y^2=20x .
Una ayudita profe.

Vamos con una orientación.
Planteamos la ecuación de la recta tangente común en forma general, y luego planteamos las intersecciones entre ella y cada una de las curvas, que debe tener como solución única un punto de tangencia.
Planteamos la ecuación cartesiana explícita de la recta: y = mx + b.
Luego, planteamos su intersección con la parábola, mediante el sistema de ecuaciones:
y = mx + b
y2 = 20x
sustituimos en la segunda ecuación y queda:
(mx + b)2 = 20x, desarrollamos el primer miembro, hacemos pasaje de término y queda:
m2x2 + 2mbx + b2 - 20x = 0, agrupamos y factorizamos términos lineales y queda:
m2x2 + 2(mb - 10)x + b2 = 0, luego como debemos tener solución única, tenemos que el discriminante de la ecuación polinómica cuadrática debe ser igual a cero, y planteamos:
4(mb - 10)2 - 4m2b2 = 0, dividimos en todos los términos por 4 y queda:
(mb - 10)2 - m2b2 = 0 (*).
Luego planteamos la intersección de la recta con la circunferencia, mediante el sistema de ecuaciones:
y = mx + b
x2 + y2 + 10x -20 = 0
sustituimos en la segunda ecuación y queda:
x2 + (mx + b)2 + 10x -20 = 0, desarrollamos el binomio elevado al cuadrado y queda:
x2 + m2x2 + 2mbx + b2 + 10x -20 = 0, agrupamos y factorizamos términos semejantes y queda:
(1 + m2)x2 + 2(mb + 5)x + (b2 - 20) = 0, luego como debemos tener solución única, tenemos que el discriminante de la ecuación polinómica cuadrática debe ser igual a cero, y planteamos:
4(mb + 5)2 - 4(1 + m2)(b2 - 20) = 0, dividimos en todos los términos por 4 y queda:
(mb + 5)2 - (1 + m2)(b2 - 20) = 0 (**).
Luego, con las ecuaciones señaladas (*) (**) plantea un sistema, para encontrar la ecuación de la recta tangente común a la circunferencia y a la parábola (si haces un gráfico, verás que obtendrás dos rectas tangentes, cada una de ellas con un único punto de contacto con cada una de las curvas). El sistema queda:
(mb - 10)2 - m2b2 = 0
(mb + 5)2 - (1 + m2)(b2 - 20) = 0
Luego, te dejo la resolución del sistema, y observa que puedes comenzar por desarrollar el binomio elevado al cuadrado en la primera ecuación.
Espero haberte ayudado.
¿Es cierto que la diferencia entre un punto frontera de A y un punto de acumulación de A es que el punto frontera está en A y el de acumulación no?
Hola estoy haciendo integrales porque tengo próximo un parcial pero hay un ejercicio que no entiendo como resolverlo si me podrían ayudar les agradecería muchísimo tengo la integral de (√x)/(1+√x). No se de que forma hallar su primitiva
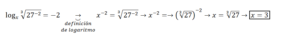
hola¡ necesito despejar la x de un logaritmo en base x de raíz cubica de 27 elevado a -2 igual a -2
logx³√27-2= -2 Me lía mucho porque a la hora de pasar el 27 a número exponencial que creo que sería 33 el -2 me confunde. gracias
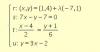
¿Como justifico la relación entre estas ecuaciones de la recta en el plano en función de si son paralelas, perpendiculares o secantes?

De acuerdo con mi colega y tocayo, la ecuación no tiene solución real.
Observa también que x = 48 es solución, pero de la ecuación escrita en tu segunda línea, pero no lo es de la ecuación escrita en tu primera línea. La obtención de soluciones extrañas ocurre en este tipo de ecuaciones con frecuencia, por lo que se debe verificar su validez, como seguramente has hecho en este caso.
Espero haberte ayudado.