
Debes tener en cuenta las identidades trigonométricas: cos(2x) = cos2x - sen2x (*), también: sen(2x) = 2senxcosx (**), y también: sen2x = 1 - cos2x (***).
Luego, tienes la función cuya expresión es:
f(x) = 2cosx - cos(2x), con x ∈ [-π,π], aplicas la identidad señalada (*) y queda: f(x) = 2cosx - cos2x + sen2x, aplicas la identidad señalada (***) y queda: f(x) = 2cosx - 2cos2x + 1.
luego, la expresión de la derivada primera queda:
f ' (x) = -2senx + 2sen(2x), aplicas la identidad señalada (**) y queda: f ' (x) = -2senx + 4senxcosx, extraes factor común y queda: f ' (x) = 2senx(-1+2cosx);
luego la expresión de su derivada segunda queda:
f ' ' (x) = -2cosx + 4cos(2x), aplicas la identidad señalada (*) y queda: f ' ' (x) = -2cosx + 4cos2x - 4sen2x,
luego aplicas la identidad señalada (***) y queda: f ' ' (x) = -2cosx + 8cos2x - 4.
Luego pasamos al estudio de la gráfica de la función:
1) Intersecciones con el eje OX:
f(x) = 0, sustituyes y queda la ecuación: 2cosx - 2cos2x + 1 = 0, que se resuelve con el cambio de incógnita: t = cosx (queda para que continúes la tarea).
2) Intersecciones con el eje OY:
f(0) = 2 - 2 + 1 = 1, que corresponde al punto A(0,1).
3) Valores de la función en los extremos del intervalo cerrado:
f(-π) = -2 - 2 + 1 = -3, que corresponde al punto B(-π,-3)
f(π) = 2 - 2 + 1 = 1, que corresponde al punto C(π,1).
4) Puntos críticos o singulares:
f ' (x) = 0, sustituyes y queda la ecuación: 2senx(-1+2cosx) = 0, resuelves y queda: x = -π, x = 0, x = π, x = π/6, x = 5π/6 (queda para que verifiques).
5) Posibles puntos de inflexión:
f ' ' (x) = 0, sustituyes y queda la ecuación: -2cosx + 8cos2x - 4 = 0, que puedes resolver con el cambio de incógnita: t = cosx (queda para que continúes la tarea).
Como verás, debes continuar trabajando, y debes tener en cuenta identidades y métodos de resolución para resolver ecuaciones trigonométricas.
Espero haberte ayudado.
Hola unicoos necesito ayuda con una ecuación diferencial. Gracias! X.Y ' - Y2 = X.Y2

Puedes intentar separar variables:
xy ' - y² = xy², haces pasaje de término y queda:
xy ' = xy² + y², extraes factor común en el segundo miembro, sustituyes y ' = dy/dx, y queda:
xdy/dx = (x+ 1)y², haces pasajes de divisores y factores y queda:
dy/y² = (x + 1)dx/x, distribuyes el denominador en el segundo miembro y queda:
y-2dy = (1 + 1/x)dx, luego integras miembro a miembro y queda:
- y-1 = x + ln|x| + C, que es una solución general implícita para esta ecuación diferencial.
Espero haberte ayudado.

Entonces, como el plano buscado es perpendicular a dos planos conocidos, puedes plantear que un vector normal al plano Π0 puede ser el producto vectorial entre los vectores normales a los planos Π4 y Π5:
n0 = n4 × n5 = <-1,1,1> × <1,-2,1> = <3,2,1>.
Luego, como tienes que el punto de intersección entre las rectas L2 y L3 pertenece al plano, puedes igualar a partir de sus ecuaciones vectoriales paramétricas:
<-3,-6,8> + t2<3,-1,3> = <-5,-6,9> + t3<1,-1,4>, luego haces pasajes de términos, resuelves en el segundo miembro y queda:
t2<3,-1,3> - t3<1,-1,4> = <-2,0,1>, luego planteas ecuaciones igualando componente a componente, y queda el sistema:
3t2 - t3 = -2
-t2 + t3 = 0
3t2 - 4t3 = 1
Observa que tienes tres ecuaciones con dos incógnitas, resuelves el sistema (te dejo la tarea) y verás que la solución es: t1 = -1, t2 = -1, luego reemplazas en las ecuaciones vectoriales de las rectas, y verás que el punto de intersección tiene coordenadas: A(-6,-5,5) ∈ Π0.
Luego, ya tienes todo para plantear una ecuación para el plano buscado.
A(-6,-5,5) ∈ Π0
n0 = <3,2,1>
Luego, planteamos la ecuación vectorial del plano buscado:
<3,2,1> • < x+6 , y+5 , z-5 > = 0.
Luego desarrollamos el producto escalar, reducimos términos numéricos, y llegamos a la ecuación cartesiana paramétrica implícita del plano buscado:
3x + 2y + z + 23 = 0.
Espero haberte ayudado.
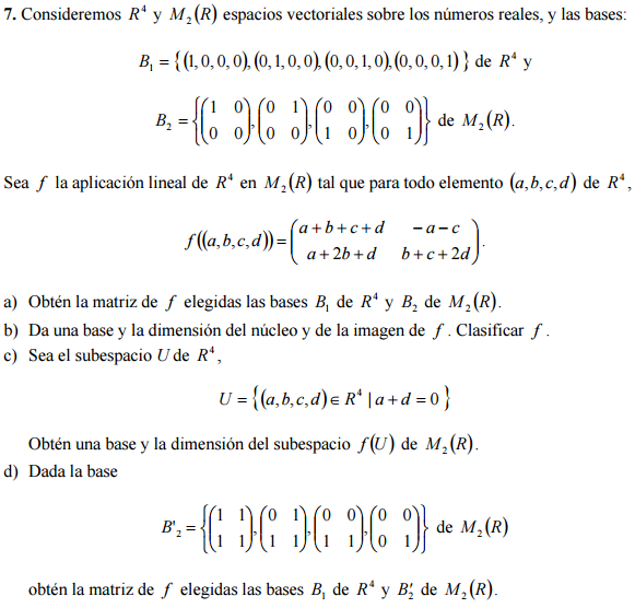
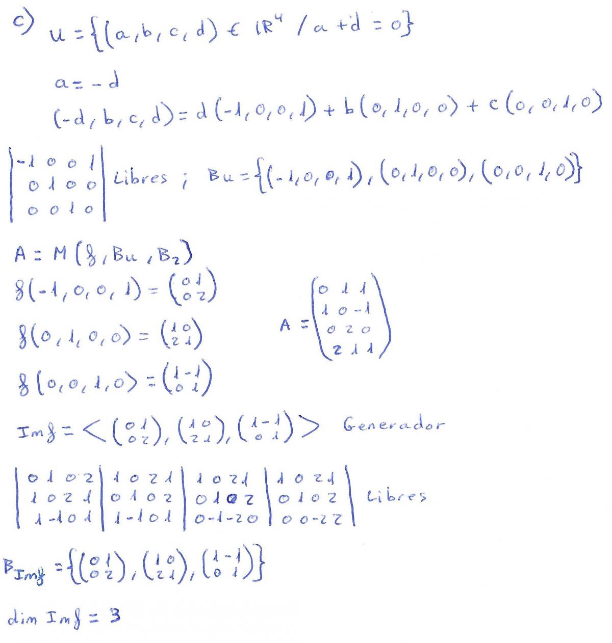
Como hacer este ejercicio?
No se como hallar el nucleo. Tengo que la respuesta a este ejercicio es Nu TA = ⟨ (−1, 3, −1, 1, 0) , (−1, −11, 8, 0, 1) ⟩ osea una base de 2 pero por mas que lo intento no logro dar con ese resultado. Hay alguna forma de hacerlo y verificar que este bien?.

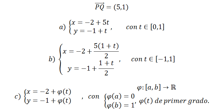
a) Consideras como vector director la vector aplicado en el primer punto, con extremos en el último: u = PQ = <5,1>, luego con este vector y el primer punto P(-2,-1), puedes plantear las ecuaciones cartesianas paramétricas:
x = -2 + 5t
y = -1 + t
con 0 ≤ t ≤ 1
Observa que la longitud del intervalo paramétrico es La = 1-0 = 1.
b) Observa que la longitud del nuevo intervalo paramétrico es Lb = 1-(-1) = 2, que es el doble de la longitud del intervalo anterior, que la trayectoria comienza en el punto P como en el ejercicio anterior, y que el primer valor que toma el parámetro es -1, por lo que planteamos:
0 ≤ t ≤ 1, que es el intervalo del ejercicio anterior, multiplicamos por 2 en los tres miembros de la doble desigualdad y queda:
0 ≤ 2t ≤ 2, restamos 1 en los tres miembros de la doble desigualdad y queda:
-1 ≤ 2t - 1 ≤ 1, luego hacemos una sustitución (cambio de parámetro): u = 2t - 1, de donde despejamos y tenemos: (1/2)u + 1/2 = t,
y cuyo intervalo paramétrico es -1 ≤ u ≤ 1.
Luego sustituimos en la parametrización del ejercicio anterior y queda:
x = -2 + 5( (1/2)u+ 1/2 ) = -2 + (5/2)u + 5/2 = 1/2 + (5/2)u
y = -1 + (1/2)u + (1/2) = -1/2 + (1/2)u
por lo tanto, la nueva parametrización queda:
x = 1/2 + (5/2)u
y = -1/2 + (1/2)u
con -1<= u <= 1.
c) Para cambiar el sentido de recorrido, una de las formas es proponer la sustitución (cambio de parámetro) w = - t, de donde tenemos: t = -w, y el intervalo paramétrico queda:
0 <= t <= 1, multiplicamos por -1 en los tres miembros de la doble desigualdad (observa que cambia el sentido de las desigualdades):
0 >= -t >= -1, sustituimos, leemos de derecha a izquierda y queda:
-1 <= u <= 0.
Luego sustituimos en la parametrizacióm del primer ejercicio y queda:
x = -2 - 5w
y = -1 - w
con -1 <= w <= 0.
Espero haberte ayudado.
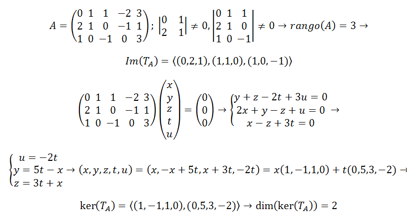
Tengo una duda con un sistema de ecuaciones.
Se me pide que de una base de este sistema de ecuaciones pero no logro poder expresar 3 incognitas en funcion de solamente 2.
y+z-2w+3u=0
2x+y-w+u=0
x-z+3u=0
De este sistema me tiene que quedar una base de dimension 2. Pero trato de despejar los terminos en funcion de los otros para crear una base y no me sale.

Va una ayuda para la resolución del sistema de ecuaciones.
Observa que tienes tres ecuaciones con cinco incógnitas, por lo que, a lo sumo, podremos despejar tres incógnitas que nos quedarán en funciones de las otras dos.
Tenemos el sistema:
y+z-2w+3u=0, de aquí podemos despejar: y = -z + 2w - 3u (*)
2x+y-w+u=0
x-z+3u=0
luego sustituimos la expresión señalada (*) en las otras dos ecuaciones, reducimos términos semejantes y queda el sistema:
2x + w - 2u = 0, de aquí podemos despejar: w = -2x + 2u (**)
x - z + 3u = 0, de aquí podemos despejar x + 3u = z (***)
luego sustituimos la expresión señalada (***) en la ecuación señalada (*), reducimos términos semejantes y queda: y = -x + 2w - 6u (****),
luego sustituimos la expresión señalada (**) en la ecuación señalada (****), reducimos términos semejantes y queda: y = -5x -2u (*****).
Luego, concluimos que el sistema de ecuaciones tiene infinitas soluciones (empleamos las ecuaciones remarcadas):
x ∈ R
y = -5x -2u
z = x + 3u
w = -2x + 2u
u ∈ R.
Espero haberte ayudado.
Hola! Tengo una duda sobre un ejercicio de derivadas implícitas.
El ejercicio me pide que compruebe que sen(x2·y)-y2+x=2-(π2/6) pasa por el punto (2, π/4) y que encuentre la ecuación de la recta tangente en este punto.
El problema que tengo es que no se como aislar la y'. Me podríais ayudar? Gracias!!
Hola, ¿alguien podría decirme si el apartado c del siguiente ejercicio está bien resuelto?
Mi solución es:
Un saludo, gracias!

Me encantaría ayudarte, pero no respondo dudas universitarias
que no tengan que ver específicamente con los videos que ya he grabado como
excepcion. O de otras asignaturas que no sean matemáticas,
física y química. Lo siento de corazón… Espero lo
entiendas.
Ojalá algun unicoo universitario se anime a ayudarte (de hecho lo ideal es que todos los universitarios intentarais ayudaros los unos a los otros)