sabéis como se resuelve este problema?
Calcula las coordenadas del vector C, sabiendo que el producto mixto de éste con los vectores A (-2,1,3) y B (2,5,-1) es nulo.

Denominamos C = <x,y,z>. Luego planteamos:
a) El producto vectorial entre los vectores conocidos:
A x B = <-2,1,3> x <2,5,-1> = <-16,4,-12>.
b) El producto escalar entre el vector obtenido y el vector incógnita C, que sabemos es igual a cero:
<-16,4,-12> • <x,y,z> = 0, desarrollamos y queda la ecuación:
-16x + 4y - 12z = 0, dividimos en todos los términos por 4 y queda:
-4x + y - 3z = 0, luego despejamos y queda:
y = 4x + 3z
Luego sustituimos en la expresión del vector incógnita C y queda:
C = < x , 4x + 3z , z >.
Luego, concluimos que existen infinitos vectores C que cumplen la condición que el producto mixto entre A, B y C sea igual a cero. Por ejemplo:
Si x=0, z=1, obtienes: C1 = < 0,3.1 >.
Si x=1, z=1, obtienes: C2 = < 1,7,1 >.
Y para todo par de valores de x, z (no simultáneamente iguales a cero) obtendrás un vector que cumple las condiciones de este problema.
Espero haberte ayudado.

Te sugiero estos vídeos...Cónicas
A partir de ahí, se trata de que DESPUES DE IR A CLASE (ver los vídeos
relacionados con vuestras dudas) enviéis dudas concretas, muy concretas. Y que
nos enviéis también todo aquello que hayais conseguido hacer por vosotros mismos.
Paso a paso, esté bien o mal. No solo el enunciado. De esa manera podremos
saber vuestro nivel, en que podemos ayudaros, cuales son vuestros fallos.... Y
el trabajo duro será el vuestro. Nos cuentas ¿ok? #nosvemosenclase ;-)
Buenas noches, prodia alguien ayudarme con el siguiente ejercicio por favor:
Compruebe que C={(a,b,a)/a,b ε R)} es un subespacio vectorial

Observa que C ⊂ R³, que es un Espacio Vectorial sobre R, luego probamos:
1) Para el vector nulo de R³: < 0 , 0 , 0 > tenemos que a = 0, y b = 0, por lo tanto tenemos:
< 0 , 0 , 0 > ∈ C.
2) Dados dos vectores pertenecientes a C: < a1 , b1 , a1 > y < a2 , b2 , a2 >, ambos con componentes reales, planteamos su suma:
< a1 , b1 , a1 > + < a2 , b2 , a2 > = < a1 + a2 , b1 + b2 , a1 + a2 >, y observa que sus componentes son reales por ser sumas
de números reales, y que su primera componente es igual a la tercera componente, por lo que tenemos:
< a1 , b1 , a1 > + < a2 , b2 , a2 > ∈ C.
3) Para el producto de un vector perteneciente a C por un número real k, tenemos:
k< a1 , b1 , a1 > = < ka1 , kb1 , ka1 >, y observa que sus componentes son reales por ser productos de números reales, y que su primera componente es igual a la tercera componente, por lo que tenemos:
k< a1 , b1 , a1 > ∈ C.
Luego, al cumplirse las tres condiciones, tenemos que C es un subespacio vectorial de R³.
Espero haberte ayudado.
Sean B = /b1,b2,b3/ y B' = /b′1,b′2,b′3/ bases ordenadas de R3 tal que
b1 = 3.b′1 , b2 = b′1−b′2+b′3 y b3=b′2
a) Encontrar [B]B′ y [B′]B
b) Sabiendo que (v)B′=(3,0,−2), hallar (v)B

Hola! Me encantaría ayudarte, pero no respondo dudas
universitarias que no tengan que ver específicamente con los videos que ya he
grabado como excepcion. O de otras asignaturas que no sean matemáticas,
física y química. Lo siento de corazón…
Espero lo entiendas
Te sugiero estos vídeos que grabé como excepción... ALGEBRA Matriz de Cambio de Base 01
Hola no soy muy buena con los problemas de esta especie; pero espero que me puedan ayudar si he hecho algo malo.
Con una plancha metálica quieres construir un tanque cilíndrico para almacenar soya. La fórmula del área de la superficie exterior de un cilindro circular recto sin fondo es A=πr2 + 2πrh, siendo A el área de la superficie exterior, r el radio del cilindro y h la altura del cilindro.
a)La plancha metálica disponible es de 12 pies de ancho y 40 pies de largo. ¿Cual es el área total de esta plancha?
b)como la plancha tiene 12 pies de ancho, el cilindro tendrá 12 pies de alto (o sea, h= 12 pies). Usando la fórmula del cilindro (antes mencionada) y el área de la plancha metálica, escribe una ecuación cuadrática de la forma ax2+bx+c=0, donde x represente el radio desconocido del tanque cilíndrico.
c)Usa la fórmula obtenida para determinar el radio del tanque si se usa toda la plancha metálica.
Bien pues lo que hice fue en la "a" fue calcular la base lateral= 2(3.14)(40)=3,014.4; como me dice que calcule el área total utilizé la fórmula que me dieron ya que el cilindro no tiene fondo At=πr2+2πrh
At=3.14(12)2+3,014.4= 1419.78+3,014.4=4434.18
en la"b" solo utilicé los valores que me dan para hacer la ecuación cuadrática 12x2 +12x +4434.18= 0
y en la "c" utilice la fórmula general.

a) El area de la plancha metálica, rectangular, es base x altura. Por tanto, 12x40=480 pies²
b) A partir de ahí, no sabría que decirte porque el enunciado no tiene sentido... Si la plancha tiene 12 pies de ancho no podemos suponer que el cilindro tendrá 12 pies de alto, porque la plncha, rectangular, debe servir para hallar el area lateral y tambien la base...
podéis ayudarme con este problema? Sabiendo que el modulo de X es 3, resuelve la ecuación vectorial : vector X x (1,1,-2) = (4,2,3)

Planteamos: X = <a,b,c>. Luego, el producto vectorial queda:
X x <1,1,-2> = < -2b - c , 2a + c , a - b > = < 4 , 2 , 3 >, luego igualamos componentes y queda el sistema de ecuaciones:
- 2b - c = 4, despejamso y queda: -2b - 4 = c (*),
2a + c = 2
a - b = 3
sustituimos en las otras dos ecuaciones y quedan:
2a - 2b = 6
a - b = 3, de donde despejamos y queda: a = b + 3 (**),
sustituimos en la primera ecuación y queda:
2b + 6 - 2b = 6, que al cancelar términos opuestos nos conduce a la identidad 6 = 6, que es verdadera.
Luego, planteamos el módulo del vector X que sabemos es igual a 3. Tenemos:
||X|| = 3, sustituimos la expresión del módulo del vector y queda:
V(a² + b² + c²) = 3, hacemos pasaje de raíz como potencia y queda:
a² + b² + c² = 9, luego sustituimos las expresiones señaladas (*) y (**) y queda la ecuación:
(b + 3)² + (- 2b - 4)² = 9.
Luego, puedes continuar con la tarea con seguridad.
Espero haberte ayudado.

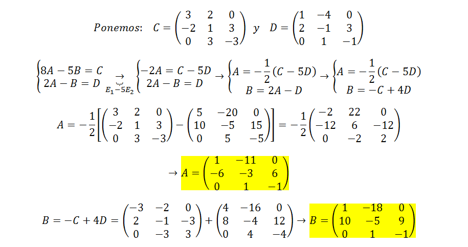
Llamemos H y K a las matrices conocidas, y nos queda el sistema de dos ecuaciones matriciales con dos incógnitas:
8A - 5B = H
2A - B = K
a) Luego, le restamos a la primera ecuación el cuádruple de la segunda ecuación y queda:
- B = H - 4K, multiplicamos por -1 en todos los términos de la ecuación y queda:
B = -H + 4K.
b) Luego, sustituimos en la segunda ecuación del sistema de ecuaciones matriciales y queda la ecuación:
2A - (-H + 4K) = K, distribuimos y queda:
2A + H - 4K = K, hacemos pasaje de términos, reducimos términos semejantes y queda:
2A = -H + 5K, multiplicamos por 1/2 en todos los términos de la ecuación y queda:
A = -(1/2)H + (5/2)K.
Luego, solo queda que reemplaces las matrices H y K y hagas los cálculos.
Espero haberte ayudado.
tienes que triangular la matriz, esto es, tienes que hacer ceros por debajo de la matriz principal por gauss:
1 1 0 1 1 0 1 1 0 1 1 0
2 t +1 t -1 F2=F2-2F1 0 t-1 t-1 F3= F3+(2t+1)F1 0 t +1 t-1 F3=F3 -2(F2) 0 t+1 t-1
-2t-1 0 t +3 -2t-1 0 t + 3 0 2t+2 t+3 0 0 -t+5
-t+5 es el coeficiente que corresponde a z: -t+5= 0, luego t=5
Para quien me pueda ayudar con este ejercicio: Queremos determinar la potencia de una lámpara de 12 v de un automóvil midiendo su resistencia. La producción de energía de una lámpara se relaciona con su resistencia mdiante la fórmula P= V2/R.
a) Es una función cuadrática, identifica la variable dependiente e independiente.
b) Usa la fórmula para para determinar la cantidad de watts de lámparas cuyas resistencia sea de 2.6 ohnios, 6.0 ohnios y 13.1 ohnios. Redondea.
c)Expresa los resultados de la b como pares ordenados.
Muchas gracias.

Observa que la potencia es función de la resistencia, y que la diferencia de potencial es constante e igual a 12 voltios. Por lo tanto, tenemos:
P = V²/R, reemplazamos y queda: P = 12²/R, resolvemos el numerador de la expresión y tenemos: P = 144/R.
a) La variable dependiente es la potencia P (es la que está despejada), y la variable independiente es R (es la que está en la expresión de la fórmula).
b) Si R = 2,6Ω, entonces: P = 144/2,6 = 55,385 vatios. Si R = 13,1Ω, entonces: P = 144/13,1 = 10,992 vatios.
c) Los resultados son: ( 2,6Ω , 55,385 vatios ) y ( 13,1Ω , 10,992 vatios ).
Espero haberte ayudado.