Hola me podrían ayudar por favor
Un test consta de 30 preguntes. Per cada encert es donen 3 punts i per cada error o pregunta sense respondre es resten 2 punts.
Es demana:
a)(1p)Quina és la nota màxima que es pot treure? Explica-ho.
b (1p) Quina nota obté un alumne que contesta correctament la meitat de les preguntes? Explica-ho.
c)(5p)Per aprovar s'ha de treure almenys la meitat de la nota màxima. Quantes preguntes, com a mínim, es necessita encertar per aprovar?
Planteja i resol una equació o un sistema d'equacions per respondre. Caldrà que incloguis totes les fases que a sota es detallen.

Observa que podemos plantear (llamamos N: nota obtenida, x: cantidad de preguntas respondidas correctamente, y: cantidad de preguntas respondidas con errores o no respondidas):
N = 3x - 2y, con x + y = 30, de donde puedes despejar y = 30 - x (*), sustituyes y queda:
N = 3x - 2(30 - x) = 3x - 60 + 2x, reducimos términos semejantes y queda:
N = 5x - 60.
a) Para obtener la nota máxima: x = 30, y = 0 (todas las preguntas bien respondidas), luego:
N(máx) = 5*30 - 60 = 150 - 60, resolvemos y queda N(máx)= 90.
b) Respondió bien la mitad de las preguntas x = 15, y = 15, y la nota queda:
Nb = 5*15 - 60 = 75 - 60, resolvemos y queda: Nb = 15.
c) Nota mínima para aprobar: Na = 45, luego tenemos:
5x - 60 = 45, hacemos pasaje de término, resolvemos a la derecha y queda:
5x = 105, dividimos por 5 en ambos miembros y queda
x = 21, luego reemplazamos en la ecuación señalada (*) y queda: y = 30 - 21, resolvemos y llegamos a: y = 9.
Luego queda que completes las justificaciones si lo consideras necesario.
Espero haberte ayudado.
hola podrían ayudar
Resol aquesta equació no lineal indicant-ne tots els passos. Cal que comprovis la solució obtinguda.
Ayuda, por favor.
Sean: P(x)=x3 - 2x2+3
Q(x)=x2-5x+6
R(x)= x+2
Calcular :
a) P (x)-3*Q(x)+R(x)
b) P(x)-R(x)+ P(x)*Q(x)

Observa que tienes una hipérbola con centro de simetría en el origen de coordenadas, eje focal horizontal, semieje real a = 3, semieje imaginario b = 4, luego, el semieje focal puedes calcularlo a partir de la relación entre semiejes para una hipérbola:
c² = a² + b², reemplazas, resuelves términos y queda: c² = 9 + 16 = 25, de donde tienes c = 5, luego, los focos de la hipérbola son los puntos de coordenadas Fi(-5,0), Fd(5,0).
Luego, observa que estamos bucando las coordenadas de un punto P(x,y) que perteneces a la hipérbola, por lo que cumple con su ecuación:
x²/9 - y²/16 = 1
y cuya distancia al foco de la izuierda es igual a 7, por lo que planteamos:
d(Fi,P) = V( (x + 5)² + (y - 0)² ) = 7, elevamos al cuadrado en ambos miembros de la última igualdad y queda:
(x + 5)² + y² = 49.
Luego, con las ecuaciones señaladas (*) (**) tenemos el sistema:
x²/9 - y²/16 = 1
(x + 5)² + y² = 49 (**).
Luego, hacemos pasaje de términos en la primera ecuación y queda: x²/9 - 1 = y²/16,
luego hacemos pasaje de divisor como factor y queda:
16x²/9 - 16 = y² (***).
Luego sustituimos en la ecuación señalada (**) y queda:
(x + 5)² + 16x²/9 - 16 = 49, multiplicamos por 9 en todos los términos de la ecuación y queda:
9(x + 5)² + 16x² - 144 = 441, desarrollamos el primer término, hacemos pasaje de término y queda:
9x² + 90x + 225 + 16x² - 144 - 441 = 0, reducimos términos semejantes, ordenamos términos y queda:
25x² + 90x - 360 = 0, dividimos por 5 en todos los términos de la ecuación y queda:
5x² + 18x - 72 = 0, aplicamos la fórmula resolvente para ecuaciones polinómicas cuadráticas y quedan dos opciones:
a) x = (-18+42)/10 = 24/10, de donde tenemos: x1 = 12/5 = 2,4 (observa que esta abscisa no corresponde a puntos de la hipérbola)
b) x = (-18-42)/10 = -60/10, de donde tenemos: x2 = - 6, luego reemplazamos en la ecuación señalada (***) y queda:
16(-6)²/9 - 16 = y², resolvemos el primer término y queda:
64 - 16 = y², resolvemos a la izquierda y queda:
48 = y², luego hacemos pasaje de potencia como raíz y tenemos dos opciones:
b1) y1 = V(48), que nos conduce al punto de coordenadas P1( -6 , V(48) ),
b2) y2 = -V(48), que nos conduce al punto de coordenadas P1( -6 , -V(48) ).
Espero haberte ayudado.
Buenos días.
Si algún unicoos puede ayudarme.
En los siguientes ejercicios
describa la afirmación en forma de desigualdad.
Para estos, este ha sido mi resultado:
3.- 2b + 4 es mayor o igual que 100 ; 2b + 4 ≥ 100
4.- c −1 es menor o igual que 5 ; c - 1 ≤ 5
5.- a es menor que −3 ; a ˂ -3
Aquí es donde no se que hacer:
1.- a +
2 es positivo
2.- a + b es no negativo
Gracias.
Buenas! En este ejercicio me dicen que verifique que estos tres polinomios son LI. En el siguiente apartado me preguntan si son generadores de P3[R]. ![]()
He cogido un vector cualquiera de R3 y lo he puesto como CL de los tres polinomios. Entonces si los tres parametros son diferentes, quiere decir que son generadores???? No acabo de entender bien el concepto...
os dejo como lo he planteado, gracias!
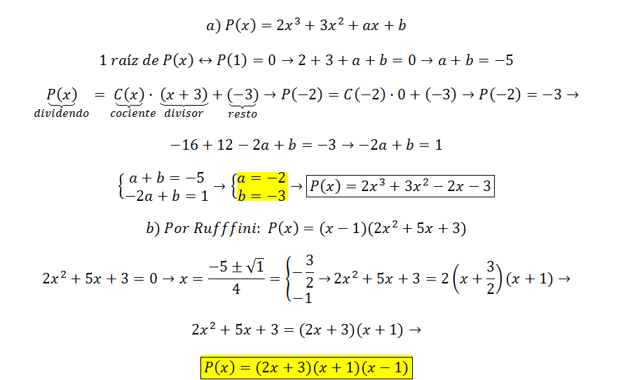
PROFE DISCULPA POR LA INSISTENCIA, PERO LA ECUACION ES UNA CÚBICA POR ENDE TIENE QUE TENER 3 SOLUCIONES. ME PODRIAN AYUDAR POR FAVOR
U

Responde esta pregunta...
Tiene una solución real y dos complejas. Es una ecuación de tercer grado sin soluciones enteras ni racionales, por lo que su resolución excede con mucho las competencias de esta página. La solución real que te mandé lsa obtuve en wólfram-alpha. Ya te puedes imaginar la complejidad del proceso.
AYUDA!! no logro descifrar el enunciado.
"Se utiliza un sismógrafo para detectar petróleo y el resultado es positivo el 90% de las veces en que realmente hay petróleo. si no hay petróleo, la prueba da positivo el 3% de las veces. en el 1% de los casos existe realmente petróleo. si el resultado del test es positivo, cuál es la probabilidad de que realmente tenga petróleo?