como se deriva de un valor absoluto

Debes expresar como función a trozos. Va un ejemplo:
f(x) = | x - 4 |, de acuerdo con la definición de valor absoluto, la expresión de la función queda:
f(x) =
x - 4 si x - 4 >= 0, de donde queda: x >= 4
-(x - 4) si x - 4 < 0, de donde queda: x < 4.
Luego, distribuimos en la expresión del segundo trozo y queda:
f(x) =
x - 4 si x >= 4
- x + 4 si x < 4.
Luego, la expresión de la derivada queda:
f ' (x) =
1 si x > 4
no está definida si x = 4 (*)
-1 si x < 4
Para el caso del punto de corte x = 4 vemos que la función derivada no está definida (*), y lo puedes verificar porque las derivadas laterales no coinciden, y también se puede corroborar planteando las derivadas laterales empleando la definición.
Y en otros ejercicios, donde no sea tan evidente si está o no definida la función derivada en el punto de corte, se deben calcular las derivadas laterales con la definición.
Espero haberte ayudado.
Hola, disculpen, tengo que resolver esto y no sé cómo hacerlo:
1. Determine si la siguiente proposición es verdadera o falsa. Demuestre en caso que sea verdadera y de un contraejemplo o justifique adecuadamente en otro caso.
Dadas las funciones, α : A ⊆ R → R, β : B ⊆ R → R, se define la función compuesta β ◦ α : C ⊆ R → R y x |→ β( α(x) ) donde C es distinto de vacío y corresponde al dominio natural de definición de la función compuesta. Entonces, se cumple que el dominio natural de continuidad de la función compuesta β ◦ α es igual a C.
Gracias!!
hola, disculpen que no les detalle mi procedimiento es que en realidad no se ni como empesar.
el ejercicio es el siguiente: Hallar Base y dimensión de S∩T
tal que:
Si me dicen como hacerlo se los agradecería mucho.

Puedes comenzar planteando la combinación lineal para un vector genérico del subespacio T:
<x,y,z> = a<0,-3,0> + b<1,1,1> = <b,-3a+b,b>
luego planteamos el sistema de ecuaciones:
x=b, sustituimos en las otras dos ecuaciones:
y=-3a+b, queda: y = -3a + x (observa que a no figura en las otras ecuaciones, por lo que interpretamos puede tomar cualquier valor real)
z=b, queda z = x, que es la condición que cumplen las componentes de los vectores del subespacio T.
Luego, los vectores del subespacio S intersección T cumplen las condiciones de ambos subespacios que son:
x = z (*)
x - y + 2z = 0, sustituimos la expresión dela primera ecuación y queda: z - y + 2z = 0, de donde tienes 3z = y (**).
Luego planteamos el vector genérico del subespacio intersección entre S y T:
u = < x , y , z > = sustituimos a partir de las ecuaciones señaladas = < z , 3z , z > = z< 1,3,1>.
Luego, una base del subespacio S intersección T es: B = { <1,3,1> }, y su dimensión es 1.
Espero haberte ayudado.
Hola, mi pregunta es como diagonalizar la siguiente matriz por medio de a=PxD(matriz diagonal ( lambda ))xP^-1 , enviaría mi intento pero está enrevesadísimo, la matriz es
A = ( 0,1,1 / 1,0,1 / -1,1,0 ) por filas expresada
Gracias !

Echale un vistazo.. ALGEBRA Matriz Diagonal
Se trata de que DESPUES DE IR A CLASE (ver los vídeos relacionados con vuestras dudas) enviéis dudas concretas, muy concretas. Y que nos enviéis también todo aquello que hayais conseguido hacer por vosotros mismos. Paso a paso, esté bien o mal. No solo el enunciado. De esa manera podremos saber vuestro nivel, en que podemos ayudaros, cuales son vuestros fallos.... Y el trabajo duro será el vuestro. #nosvemosenclase Nos cuentas ¿ok?
Como se calcula la continuidad de una función cuando esta tiene incognitas(a,b)
Mira el ejercicio de "DueFreitas" (2 mensajes más abajo), esta es la solución...
primero se calcula el límite por un lado y obtenemos el valor numérico, y al otro lado tendremos un valor multiplicando (o sumando o restando o dividiendo) a nuesta incognita "a" o "b"...y obtenemos "a "y/o "b" en función del valor numérico
Así repetiremos con cada posible punto de discontinuidad....ni que decir tiene que la función seno y coseno son continuas y excepto esos puntos que estudiaremos con los límites, toda la función es contínua (valga la redundancia)
Como se obtiene el rango de una matriz por Gauss?
Para calcular el rango de una matriz por el método de Gauss:
Calculamos el rango por filas. Si la matriz tuviese más filas que columnas, podemos usar su traspuesta, recordemos que ![]()
Mediante transformaciones elementales, hacemos ceros todos los elementos por debajo de la diagonal principal.
![]()
El rango es el número de filas (sin contar las filas nulas)
Ejemplo
Calculamos el rango de la matriz ![]()
Para hacer los dos primeros ceros de la primera columna, hacemos las siguientes transformaciones de filas:![]()
![]()
Quedando la matriz así: ![]()
Para el último cero restamos las filas 2 y 3: ![]()
Hola ¿ Alguien me puede ayudar con este problema ? Sólo se me ocurre por la cuenta de la vieja y veo varios resultados posibles
El número de participantes en un desfile es tal que pueden desfilar formados de 3 en 3, de 5 en 5 o de 25 en 25, pero no pueden hacerlo de 4 en 4 ni de 9 en 9. ¿Cuál es el número de participantes si sabemos que es mayor que 1000 pero menor que 1250

Llamemos N al número buscado
Observa que debe se múltiplo de 3, porque marchan de 3 en tres.
Observa que debe ser múltiplo de 5, porque marchan de 5 en cinco.
Observa que debe ser múltiplo de 25, porque marchan de 25 en veinticinco.
Por lo tanto, para satisfacer las tres condiciones, tenemos que N debe ser múltiplo de 3*25 = 75.
Pero observa también que no puede ser múltiplo de 4 (no pueden marchar de 4 en cuatro), ni puede ser múltiplo de 9 (no pueden marchar de 9 en nueve).
Luego, es cuestión de investigar cuál o cuáles múltiplos de 75 están comprendidos entre 1000 y 1250.
Algunos múltiplos de 75 son:
... - 900 - 975 - 1050 - 1125 - 1200 - 1275 - 1350 - ...
Observa que debemos descartar a 1125 porque es múltiplo de 9, y también a 1200 porque es múltiplo de 4, por lo tanto la solución es: N = 1050.
Espero haberte ayudado.
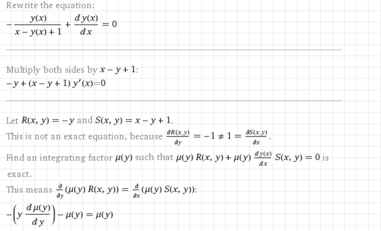
alguien me puede ayudar con esta ec.diferencial
y'=y/(x-y+1)