Hola, buenos días.
Enunciado: En la imagen.
Procedimiento mío y hasta donde he llegado:
a) Dominio, todos los números reales pertenecientes al intervalo: (-∞,∞) dado que es una función exponencial.
b) f '(x) = e^arctgx *(1/(1+x^2) ≠ 0 . Pregunta: ¿Si nunca se anula no existe la derivada? Pues cuando el límite de la función tiende a infinito su imagen es pi medios y cuando el límite de la función tiende a infinito por la izquierda su imagen es menos pi medios

Para empezar, si una derivada no se anula nunca no significa que la derivada no exista, sino que la funcion no tiene maximos ni minimos.
Pero independientemente de eso, no has podido resolver el ejercicio porque no has tenido en cuenta que el exponente (arctanx) está dentro de un valor absoluto y por tanto debes dividir tu función en una función a trozos... Funcion a trozos - Valor absoluto
Como la funcion arctanx es negativa en (-∞,0) y es positiva en (0,∞), tu función a trozos será f(x)=
...e^(-arctanx) si x<=0
...e^arctanx si x>0
Y a partir de ahí, estudiar continuidad y derivabilidad... como en estos otros.. Derivabilidad y continuidad
Nos cuentas ¿ok?
Hola!
¿En qué curso se dan las ecuaciones de tercer grado?
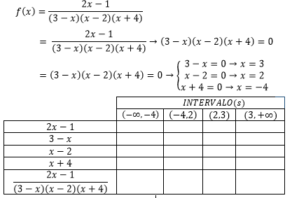
La verdad que para calcular el dominio esa tabla no tiene mucho sentido (o no soy capaz de verlo)....para lo que sí te serviría es para ver tendencias (crecimientos y decrecimientos), m-aximos y mínimos y todo eso, pero ese es otro tema...
en cuanto al dominio sólo observarías en esa tabla que en los intervalos antes y después de los valores en los que se anula el denominador los valores cambian ( de negativo a positivo o viceversa)
En definitiva, para ver el dominio esta tabla es innecesaria
Hola,
¿me ayudan con este ejercicio?:
Hallar los puntos de las gráficas de f(x) y g(x) en los que la recta tangente es paralela a la bisectriz del 1er cuadrante,
siendo f(x)= 2x^4 - x^2 +x y g(x)= x^4 - 7x^3 + 13x^2 + x + 1
Saludos y gracias

Recuerda que la ecuación cartesiana explícita de la bisectriz del primer y del tercer cuadrante es y = x, por lo que tenemos que su pendiente es 1.
Luego, como las funciones f y g son derivables (observa que las expresiones de sus funciones derivadas son: f ' (x) = 8x^3 - 2x + 1, g ' (x) = 4x^3 - 21x^2 + 26x + 1) para todo valor de x, planteamos para cada una de ellas la condición de recta tangente paralela y tenemos:
a) f ' (x) = 1 (*), y b) g ' (x) = 1 (**).
a) Sustituimos la expresión de la derivada en la ecuación señalada (*):
8x^3 - 2x + 1 = 1, cancelamos términos numéricos y extraemos factor común a la izquierda:
2x(4x^2 - 1) = 0, factorizamos el agrupamiento (observa que tienes una diferencia de cuadrados):
2x(2x - 1)(2x + 1) = 0, observa que tienes una ecuación factorizada e igualada a cero, por lo que tenemos tres opciones:
2x = 0, de la que despejamos: x = 0, luego evaluamos en la función y queda: y = f(0) = 0, por lo que tenemos el punto de coordenadas: A(0,0);
2x - 1 = 0, de la que despejamos: x = 1/2, luego evaluamos en la función y queda: y = f(1/2) = 1/8 - 1/4 + 1/2 = 3/8, por lo que tenemos el punto de coordenadas: B(1/2,3/8);
2x + 1 = 0, de la que despejamos: x = - 1/2, luego evaluamos en la función y queda: y = f(- 1/2) = 1/8 - 1/4 - 1/2 = - 5/8, por lo que tenemos el punto de coordenadas: C(-1/2,-5/8).
b) Sustituimos la expresión de la derivada en la ecuación señalada (**):
4x^3 - 21x^2 + 26x + 1 = 1, cancelamos términos numéricos y extraemos factor común a la izquierda:
x(4x^2 - 21x + 26) = 0, luego tenemos dos opciones:
x = 0, que al evaluar en la expresión de la función queda: y = g(0) = 1, por lo que tenemos el punto de coordenadas: D(0,1);
4x^2 - 21x + 26 = 0, que es una ecuación polinómica cuadrática, a la que aplicas la fórmula resolvente y tienes dos raíces:
x = 2, evaluamos en la expresión de la función y tenemos: y = g(2) = 16 - 56 + 52 + 2 + 1 = 15, por lo que tenemos el punto de coordenadas: E(2,15);
x = 13/4, evaluamos en la expresión de la función y tenemos: y = g(13/4) = 3285/256, por lo que tenemos el punto de coordenadas: F( 13/4 , 3285/256 ).
Espero haberte ayudado.
calcular el valor de k para que el polinomio P(x) = x3-x2+x+k sea múltiplo de Q(x) = x2+1

Observa la expresión del polinomio P:
P(x) = x^3 - x^2 + x + k, ordenamos términos, agrupamos términos y queda:
P(x) = (x^3 + x) + (- x^2 + k), extraemos factor común x en el primer agrupamiento, y factor común -1 en el segundo agrupamiento y queda:
P(x) = x(x^2 + 1) - 1(x^2 - k),
luego, como P(x) es múltiplo de (x^2 + 1), tenemos que este binomio debe ser factor común entre los agrupamientos, por lo que tenemos: k = -1, reemplazamos y queda:
P(x) = x(x^2 + 1) - 1(x^2 - (-1)), resolvemos signos en el segundo agrupamiento y queda:
P(x) = x(x^2 + 1) - 1(x^2 + 1), extraemos factor común (x^2 + 1) y llegamos a:
P(x) = (x^2 + 1)(x - 1).
Para verificar, puedes distribuir y queda:
P(x) = x^3 - x^2 + x - 1.
Espero haberte ayudado.
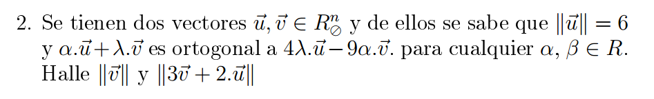
Hola!, plantearé lo que tengo en mente y luego mi duda, se que el alpha.u + lambda.v es otro vector que es ortogonal al otro, por lo tanto el producto punto entre ellos debe ser 0, ahora bien en la primera parte tengo que u y v pertenecen al cero del espacio de R^n? es eso lo que me quiere decir?. Si es así tendría sentido lo que me están planteando? porque si u pertenece al cero del espacio entonces considero que su norma sería 0 y no 6 como dice el planteamiento. Disculpen son muchas ideas y pues me cuesta ordenarlas, un abrazo.
Hola unicoos! Tengo un problema con este ejercicio. Realicé el punto a) mediante sistema de ecuaciones (es decir, pensé que x+y= 11; x-y=-5 y asi con cada valor de i, j y k) pero los resultados que me dieron no me resuelve la resta de los vectores, (a-b).
Contamos con el siguiente sistema de ecuaciones vectoriales:
(a + b) = (11 i – j + 5 k) y (a – b) = ( - 5 i + 11 j + 9 k ), y debemos calcular lo siguiente:
a) el vector a y el b.
Desde ya, gracias!