
Se trata de que DESPUES DE IR A CLASE (ver los vídeos
relacionados con vuestras dudas) enviéis dudas concretas, muy concretas. Y que
nos enviéis también todo aquello que hayais conseguido hacer por vosotros
mismos. Paso a paso, esté bien o mal. No solo el enunciado. De esa manera
podremos saber vuestro nivel, en que podemos ayudaros, cuales son vuestros
fallos.... Y el trabajo duro será el vuestro. #nosvemosenclase Nos cuentas ¿ok?
Para el f) por ejemplo, te sugiero..

Observa que la expresión de la función puede escribirse:
f(x) = x(x - a) / sen(pix) = ( x/sen(pix)*(x -1) (*) = x * ( (x - 1)/sen(pix) ) (**)
Luego, para estudiar el límite para x tendiendo a 0 por la derecha, empleamos la expresión señalada (*):
f(x) = ( x / sen(pix) ) * (x - 1) = multiplcamos y dividimos por pi = (1/pi) * ( pix / sen(pix) ) * (x - 1)
Y cuando tomas el límite para x tendiendo a 0 por la derecha, aplicamos propiedad del límite de un producto de funciones y queda:
L1 = (1/pi) * Lím(x-->0+)( pix / sen(pix) ) * Lím(x-->0+)(x - 1) = (1/pi)*1*(-1) = -1/pi (***)
Observa que el limite en el segundo factor lo puedes resolver aplicando la sustitución (cambio de variable): w = pix y queda:
Lím(w-->0+)(w/senw) = 1, que es un límite trascendente que has estudiado en clase.
Luego, para estudiar el límite para x tendiendo a 1 por la izquierda, empleamos la expresión señalada (**):
f(x) = x * ( (x - 1)/sen(pix) )
Observa que el denominador del factor fraccionario puede escribirse:
sen(pix) = sen( (pix - pi) + pi ) = identidad trigonométrica = - sen(pix - pi) = - 1* sen( pi(x - 1) ).
Luego, planteamos el límite cuando x tiende a 1 por la izquierda (observa que aplicamos la propiedad del límite de un producto de funciones):
L2 = -1 * Lím(x-->1-)( x ) * Lím(x-->1-)( (x - 1) / sen( pi(x - 1) ) = - 1*1*(1/pi) = -1/pi (****)
Observa que para el límite del tercer factor tenemos:
Lím(x-->1-)( (x - 1) / sen(pi(x - 1)) = multiplicamos y dividimos por pi = (1/pi)*Lím(x-->1-)( pi(x - 1) / sen(pi(x - 1) ) = aplicamos la sustitución: t = pi(x - 1) =
= (1/pi) * Lím(t-->0-)( t/sent ) = ((1/pi)*1 = 1/pi.
Luego, podemos definir.
f(0) = -1/pi (a partir del resultado señalado (***))
f(1) = -1/pi (a partir del resultado señalado (****)).
Espero haberte ayudado.
Haber si me podeis ayudar con este ejercicio, gracias
Una empresa fabrica tres productos X, Y y Z y para su producción necesita combinar los factores de producción Máquinas, Trabajadores y Materias Primas. Las unidades necesarias de cada uno de los factores para la fabricación de una unidad de cada producto vienen dadas en la siguiente tabla:
Máquinas
Trabajadores
Materias Primas
Producto X
1
4
20
Producto Y
2
3
40
Producto Z
1
8
10
Determinar los ingresos que obtendrá la empresa
si los precios unitarios de venta de los productos X, Y y Z son respectivamente
100€, 400€ y 500€.
• Plantear el sistema de ecuaciones que determina el número de unidades producidas de cada uno de los productos, sabiendo que la empresa dispone de 90 máquinas, 275 trabajadores y 1700 unidades de materias primas.
• Resolver el sistema de ecuaciones planteado en el apartado anterior.

Lo siento pero no entiendo la tabla que aportas... Podría jurarte que los ingresos, siendo X,Y y Z las unidades de cada producto fabricadas, serán 100x+400y+500z
El numero de unidades producidas de x será 90.1+275.4+1700.20... El numero de unidades producidas de Y será 90.2+275.3+40.1700

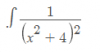
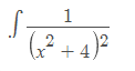
De acuerdo con el colega Peter, y además te sugiero veas los vídeos sobre este método de integración.
Vamos con una orientación para plantear el problema.
Observa que el denominador consiste en un factor doble, que es de grado dos y que no es factorizable en R, por lo que planteamos:
(ax + b) / (x^2 + 4) + (cx + d) / (x^2 + 4)^2 = extraemos denominador común = ( (x^2 + 4)*(ax + b) + cx + d) / (x^2 + 4)^2 = 1 / (x^2 + 4)
Luego, comparando los miembros de la última igualdad de la cadena que hemos planteado, vemos que los denominadores coinciden, por lo que tenemos que los numeradores también deben coincidir, y nos queda la ecuación:
(x^2 + 4)*(ax + b) + cx + d = 1
Y para determinar los valores de los coeficientes a, b, c y d, podemos evaluar para cuatro valores arbitrarios distintos de la incógnita x, lo que nos dejará un sistema de cuatro ecuaciones con cuatro incógnitas para resolver:
4b + d = 1 (hemos evaluado para x = 0)
5a + 5b + c + d = 1 (hemos evaluado para x = 1)
- 5a + 5b - c + d = 1 (hemos evaluado para x = -1)
16a + 8b + 2c + d = 1 (hemos evaluado para x = 2)
Luego, queda para que resuelvas el sistema, y verás que te quedan dos términos para integrar.
Espero haberte ayudado.