Hola
Me podrian ayudar diciendome como puedo resolver el sistema de ecuaciones.
x2+y2=6
5y3=x2
Gracias de antemano

Puedes sustituir la expresión de la segunda ecuación en la prmera y queda:
5y^3 + y^2 = 6, haces pasaje de término y queda:
5y^3 + y^2 - 6 = 0, que es una ecuación polinómica cúbica, por lo que vamos probando valores hasta encontrarle una raíz, lo haces, y observa que y = 1 es una de ellas.
Luego, aplicas la regla de Ruffini para dividir a la expresión polinómica por (y -1) y queda el cociente:
5y^2 + 6y + 6 = 0, que es una ecuación polinómica cuadrática con dos raíces complejas.
Por lo tanto, reemplazamos y = 1 en la segunda ecuación y queda:
x^2 = 5, de donde despejamos y obtenemos:
x1 = -V(5), por lo tanto el par ordenado (-V(5), 1) es una solución en los reales;
x2 = V(5), por lo tanto el par ordenado (V(5),1) es otra solución real.
Y si te piden las soluciones complejas, observa que debes reemplazar a cada una de las raíces complejas de la ecuación con incógnitas y en la segunda ecuación, y obtendrás otras cuatro soluciones más.
Espero haberte ayudado.

Partimos de la expresión:
|z| = | (z - u) + u | <= (aplicamos la desigualdad triangular) | z - u | + |u|.
Recapitulemos: hasta ahora tenemos:
|z| <= | z - u | + |u|, hacemos pasaje de términos y queda:
- | z - u | <= - |z| + |u|,
multiplicamos en ambos miembros por -1 (recuerda que se invierte el sentido de la desigualdad) y queda:
| z - u | >= -1( -|z| + |u| ), distribuimos en el segundo miembro y llegamos a:
| z - u | >= |z| - |u|.
Espero haberte ayudado.

Vamos con el primer ejercicio
Los datos que tenemos son b>0 y la división de a por b, por lo tanto sabemos que: a = bC + R, donde C es el cociente y R es el resto y, de acuerdo con el algoritmo de división, tenemos también que 0 <= R < b.
Veamos dos casos por separado:
1) La división de a por b es exacta, por lo tanto tenemos que R = 0, y a = bC (*).
2) La división de a por b no es exacta, por lo tanto tenemos que 0 < R < b, y a = cb + r (**).
Planteamos la división de (b - a) por b, aplicamos el algoritmo de división y tenemos:
(b - a) = cb + r (***), con 0 <= r < b, con el cociente (c) y el resto (r) a determinar.
1)
Sustituimos la expresión (*) en la igualdad (***) y queda:
b - bC = cb + r, extraemos factor común a la izquierda y queda:
b(1 - C) = cb + r, sumamos 0 a la izquierda y queda:
b(1 - C) + 0 = cb + r, luego comparamos y concluimos que
c = 1 - C, y r = 0.
2)
Sustituimos la expresión (**) en la igualdad (***) y queda:
b - (bC + R) = cb + r, distribuimos a la izquierda y queda:
b - bC - R = cb + r, restamos y sumamos b a la izquierda, agrupamos y queda:
(b - bC - b) + (b - R) = cb + r, cancelamos términos opuestos en el primer agrupamiento y queda:
- bC + (b - R) = cb + r, luego comparamos y concluimos que:
c = - C, y r = b - R (observa que se cumple que 0 < r < b).
Espero haberte ayudado.
Necesito ayuda con este ejercicio de demostraciones que no sé por donde cogerlo:
Demostrar por el método directo, contra reciproco y por reducción al absurdo:
Sean x>0 e y>0, números reales.
Demostrar: x+y=3-->x2+y2<9
URGENTE, mi maestro de geometria analìtica me dijo unos problemas de trigonometria, todo facil y sencillo, hallar senos, valor de los lados y así, pan comido, pero hay un problema donde me marca que la hipotenusa es menor que un cateto, y yo supuse que mi mestro se equivoco, pero una compañera me dijo que no es asi, que hay un teorema del b y la verdad no se que hacer, aclarenme por favor que esta sucediendo :cc

El profe me da un triangulo donde te muestra que encuentres el valor del Angulo A o alpha, un ejercicio normal, pero el nos indico cual es el angulo recto y cual es la hipotenusa, y mide menos que el cateto, pero lo dejo de tarea, asi que cuando me di cuenta, yo ya no estaba en clase :c

1) Elegimos a y como parámetro, y la función vectorial de posición para los puntos de la trayectoria queda: r(y) = <y^2, y>, con 0<=y<=V(2), luego:
r ' (y) = <2y,1>, luego: |r ' (y)| = V(4y^2+1), y la función a integrar luego de sustituir queda: f(y) = 2y^2 - 2y^2 + 8y = 8y.
Luego la integral de línea queda: I = Integral( 8y * V(4y^2+1) * dy, que puedes resolver con la sustitución (cambio de variable): w = 4y^2 + 1, para luego integrar luego en el intervalo 0<=y<=V(2).
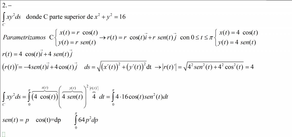
2) Parametrizamos a partir de las expresiones de x e y en coordenadas polares (observa que el radio de la circunferencia es igual a 2):
x = 2cost, y = 2sent, 0<=t<=pi, luego: dx = -2sentdt, dy = 2costdt,
luego tenemos: r(t) = <2cost,2sent>, r ' (t) = <-2sent,2cost>, y |r ' (t)| = 2,
luego sustituimos, operamos y la integral de línea queda:
I = Integral( 2cost * (2sent)^2 * 2 * dt ) = 32 * Integral ( (sent)^2 * cost * dt ), que puedes resolver con la sustitución: w = sent.
3) Observa que es similar al ejercicio 1, pero aquí elegimos a x como parámetro, con el intervalo -1<=x<=1, luego:
r(x)=<x,x^2>, luego: r ' (x)=<1,2x>, |r ' (x)| = V(1+x^2), f(x)=x, sustituimos y la integral de línea queda:
I = Integral( x * V(1+x^2) * dx, que podemos resolver con la sustitución: w = 1 + x^2.
4) Observa que podemos parametrizar el segmento a partir del primer punto A(0,0,0), con el vector director u = AB = <1,1,0>, donde llamamos B al segundo punto,
luego la función vectorial de posición para los puntos del segmento queda: r(t) = <t,t,0>, luego: r ' (t) = <1,1,0>, luego: |r ' (t)|=V(2), con 0<=t<=1, luego la expresión de la función queda: f(t) = (t^2+0)/(2t-t) = t/2.
Luego sustituimos y la integral de línea queda: I = Integral( t/2 * V(2) * dt, que es una integral inmediata.
Recuerda la expresión general para plantear una integral de línea:
I = Integraldelínea( f(x,y,z) * ds ) = Integral( f(t) * |r ' It) * dt ), donde t es el parámetro que hayamos elegido para parametrizar la trayectoria, con su intervalo paramétrico correspondiente, y r(t) es la función vectorial de posición para los puntos de la trayectoria.
Espero haberte ayudado.
I = Integral(
Me podrían ayudar a hacer este ejercicio urgente, por favor
1. El armónico del sonido fundamental en un tubo abierto, tiene una frecuencia de 600HZ. ¿ Cuál será el valor de la frecuencia del quinto armónico del mismo tubo pero cerrado?.
CON Procedimiento... gracias y me dan las formulas para los tubos
ω.ω
Hola, me podrían ayudar con este ejercicio? ¿La siguiente función define un producto interno?:
<x,y>= |x1y1 + x2y2| donde x=(x1,x2) y=(y1y2)