me podiran ayudar con este ejercicio de trigonometria
Fabio y Gonzalo están en una carretera recta, separados por una distancia de 14 kilómetros. Ambos están viendo un globo; Fabio con un ángulo de elevación de 24°, y Gonzalo con un ángulo de elevación de 47°. El globo esta arriba de ellos y entre ellos, en el mismo plano vertical. Aproximadamente a que altura esta el globo de la tierra?
urgente
Hola! vi los vídeos de limites por definiciones del canal, pero tengo un problema: En los ejercicios que me mandan, el valor L es desconocido. Ejemplo
Calcule, por definición, Lim x->2 cuando la función es x^2. En este caso es facil ya que puedo remplazar x por dos y resolver, pero se me pide resolverlo utilizando la definición de limite. Por favor, ayuda!
Desde ya, gracias y saludos desde la utn de argentina!
Para resolver los limites por definicion se evalua la vecindad del punto, es decir numeros cercanos por la derecha y por la izquierda. Por ejemplo en Lim x-->2 de x^2, tomas valores de 2 por la derecha (2,001) y por la izquierda (1,999) y se evalua, si los dos resultados tienden al mismo resultado el limite existe, de lo contrario no existe.
En este caso los dos resultado tienden a 4, es decir que el limite es 4.
Hola, cual es la derivada de cos x elevado a sen x elevado al tg x?
gracias de antemano, un cordial saludo
Me pueden ayudar con este limite
limite x-> ∞ Ln (3x^2+6x+1)/ Ln (4x+2)
Se que el resultado es 2 y lo he hecho por Lhopital y me sale ese resultado, pero no se si esta bien hecho y cual es el procedimiento, porque creo que hay algo que se me pasa.
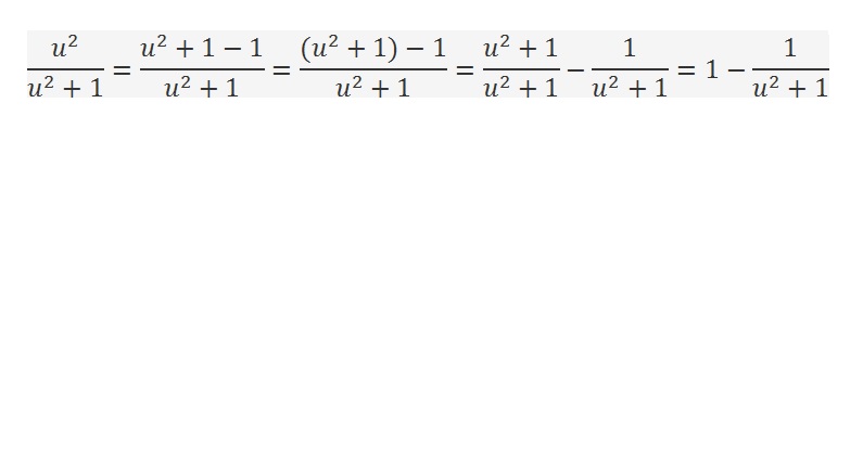
alguien me ayuda con la simplifiacion de esta integral, en si me interesa como se llega a la simplificcion partiendo del de arriba, (no se si se entiende), no busco la resolocuion de la integral, sino mas que nada apunta esto a lo matematico propiedades y eso.
gracias..

Se trata de hacer la división euclidea, este video te aclarará las ideas: Division de polinomios