Con este llevo más de media hora y no hay manera.
Un amigo le dice al otro, "Si me das 6 euros, tendré el doble que tú." El otro le contesta, "Mejor dame tú a mi 6 euros y tendremos lo mismo". Tengo que averiguar cuanto dinero tiene cada uno ?
Alguna "pistilla" para plantearlo ?
Lo puedes resolver con un sistema de ecuaciones:
(x = dinero primer amigo ; y = dinero segundo amigo)
x + 6 = 2y
y + 6 = x
Entonces reemplazamos la x de la primera:
x + 6 = 2y -> y + 6 + 6 = 2y -> y + 12 = 2y -> y = 12
Y ahora reemplazamos la y en la segunda ecuación:
y + 6 = x -> 12 + 6 = x -> x = 18
Un problema de lógica. "Hemos mezclado una cantidad de café de 8 euros el Kg. con otra cantidad de otra segunda clase de café de 12 euros el Kg. y hemos obtenido 8 kilos de mezcla a 10,50 euros el kilogramo.
- ¿Cuantos kilos de cada clase hemos mezclado ?
Lo he expresado así ; 8x+12(8-x)=8(10,50) pero me sale un resultado negativo.
Alguien que me muestre el camino...
Gracias ¡¡¡
Hola, llevo algún tiempo viendo tus vídeos es la primera vez que me atrevo a escribir, estoy haciendo ful ejercicios de derivadas de primer orden, de segundo en fin.. eh echo todos pero este no le encuentro solución y ya voy 3 días intentando espero su ayuda:
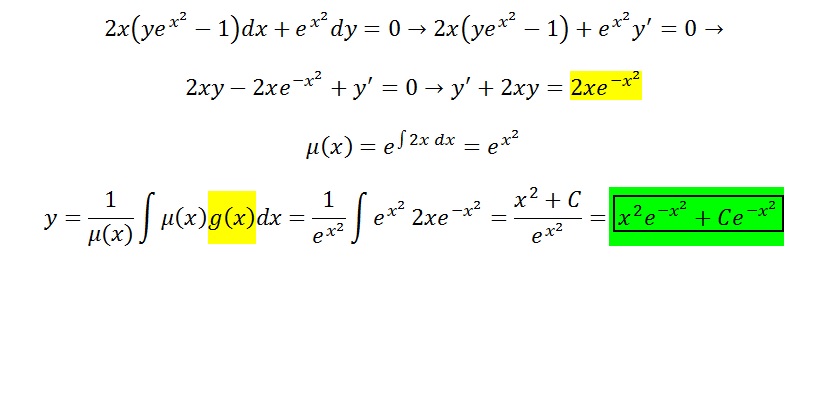
2x(ye^x^2 - 1)dx + e^x^2dy= 0
Hola UNICOOS, tengo un polinomio de grado 4, donde dos de sus raíces son i y -i. El ejercicio me pide hallar las otras dos. El polinomio es el que muestra la imagen. Me gustaria mucho recordar como realizar este polinomio pues he intentado factorizar, Rufini, etc, pero no me da los valores que las respuestas proponen. Algo estoy haciendo mal. Por favor les agradecería mucho su ayuda.
Hola, tengo dudas con este ejercicio de integrales.
El a) se que es verdadero porque a partir del 2 año la velocidad es negativa por lo tanto la cantidad de gente decrece.
El b) No estoy seguro porque cuando uso el valor del punto medio me da verdadero pero si uso otro no. ¿Que tengo que hacer?.
Gracias, saludos.
La carga máxima que puede transportar un camión es de 3500 kg. Si se sabe que en cada viaje transporta como mínimo 2800 kg, ¿cuántos paquetes de 70 Kg puede transportar en cada viaje?
Me ayudan con ese ejercicio? Estoy con el tema de inecuaciones con valor absoluto, pero con ese ejercicio no sé ni cómo empezar. Gracias!

Llamemos x a la cantidad de paquetes transportados.
Y como cada paquete pesa 70 Kg, tenemos que la cantidad total de paquetes transportados pesa 70Kg * x.
Por lo tanto, podemos plantear:
carga mínima <= carga transportada <= carga máxima
2800 Kg <= 70Kg * x <= 3500 Kg
Luego, por propiedad uniforme de las desigualdades, podemos dividir a los tres miembros por 70 Kg (observa que es un divisor positivo), y llegamos a:
40 <= x <= 50.
Por lo tanto, puede transportar 40 paquetes como mínimo, y 50 paquetes como máximo.
Si debes plantear desigualdades con valor absoluto (omitimos las unidades, para simplificar la escritura), partimos de:
2800 <= 70*x <= 3500
luego restamos en los tres miembros por la semisuma de las cantidades de los extremos: (2800 + 3500)/2 = 6300/2 = 3150, procedemos y queda:
2800 -3150 <= 70*x - 3150 <= 3500 - 3150
resolvemos en los miembros extremos, y extraemos factor común en el miembro del centro, y queda:
-350 <= 70*(x - 45) <= 350
luego, como tenemos extremos opuestos en la desigualdad doble, podemos introducir la notación de valor absoluto y queda:
| 70*(x - 45) | <= 350.
Luego, por propiedad del valor absoluto de un producto, tenemos que:
70 * |x - 45| <= 350
Y, por último, dividimos en ambos miembros por 70 (que es positivo) y llegamos a:
|x - 45| <= 5.
Espero haberte ayudado.

Llamemos x a la cantidad de paquetes transportados.
Y como cada paquete pesa 70 Kg, tenemos que la cantidad total de paquetes transportados pesa 70Kg * x.
Por lo tanto, podemos plantear:
carga mínima <= carga transportada <= carga máxima
2800 Kg <= 70Kg * x <= 3500 Kg
Luego, por propiedad uniforme de las desigualdades, podemos dividir a los tres miembros por 70 Kg (observa que es un divisor positivo), y llegamos a:
40 <= x <= 50.
Por lo tanto, puede transportar 40 paquetes como mínimo, y 70 paquetes como máximo.
Si debes plantear desigualdades con valor absoluto (omitimos las unidades, para simplificar la escritura), partimos de:
2800 <= 70*x <= 3500
luego restamos en los tres miembros por la semisuma de las cantidades de los extremos: (2800 + 3500)/2 = 6300/2 = 3150, procedemos y queda:
2800 -3150 <= 70*x - 3150 <= 3500 - 3150
resolvemos en los miembros extremos, y extraemos factor común en el miembro del centro, y queda:
-350 <= 70*(x - 45) <= 350
luego, como tenemos extremos opuestos en la desigualdad doble, podemos introducir la notación de valor absoluto y queda:
| 70*(x - 45) | <= 350.
Espero haberte ayudado.
hola profe tengo un polinomio de garado 6 que te da la dos raices diciendo q son raices de ese polinmio pero no me da el polinomio es 2x a la 6 mas 2x ala 5 mas 6x a la 4 mas 10x a la 3 -12x ala 2 menos 8x-16 y las raices dicen q son i y -2i es urgente porq lo hice de muchas maneras y n me sale :3 y la otra seria dado un p(x)=x al cubo mas 2mx mas m y q(x)=x al cuadrado mas mxmas 1 y me pide hallar m para q p(x) sea divisible por q(x) como lo aria?

Por faor, revisa el enunciado para ver si está correctamente copiado: ¿el polinomio dato es el que sigue:
P(x) =2x^6 +2x^5 + 6x^4 + 10x^3 - 12x^2 - 8x - 16?
Porque si es este el polinomio dato, puedes evaluar para x = i, y verás que el valor numérico del polinomio no es cero, por lo que i no es una de sus raíces.
Pero, si el signo del término lineal es positivo, o sea, el polinomio es:
P(x) =2x^6 +2x^5 + 6x^4 + 10x^3 - 12x^2 + 8x - 16,
en este caso i si es una de sus raíces, y como todos sus coeficientes son números reales, tenemos que -i es otra de sus raíces, y
-2i es otra de sus raíces, y por el mismo motivo ya mencionado, tenemos que 2i es también una raíz del polinomio.
Luego, el polinomio tiene cuatro divisores complejos, que al multiplicarlos nos conducen a un divisor de grado 4:
(x - i)*(x + i)*(x + 2i)*(x -2i) = (distribuimos en los dos primeros y en los dos últimos factores) = (x^2 + 1)*(x^2 + 4) = x^4 + 5x^2+4.
Luego, por medio del algoritmo de división, divides al polinomio por este divisor de grado 4 (te dejo el cálculo para que lo hagas), y verás que el resto es igual a cero, y que el cociente es:
C(x) = 2x^2 + 2x - 4, cuyas raíces son -2 y 1.
Por la tanto, sus seis raíces en el campo complejo son: i, -i, -2i, 2i, -2 y 1.
Por favor, verifica que no haya error en el enunciado que has enviado.
Espero haberte ayudado.
Hola de nuevo, querría saber como calcular este problema realizando operaciones:
Cierta bacteria se reproduce por bipartición cada segundo. Si se parte de 625 bacterias, ¿cuánto tiempo ha de transcurrir para que haya 10000 bacterias?
Probando la solución me ha dado 4: ((((625·2)·2)·2)·2), pero no consigo elaborar la ecuación necesaria.

Observa la relación entre t (tiempo transcurrido medido en segundos) e y cantidad de bacterias:
y(0) = 625 = 625 * 2^0 (dato inicial)
y(1) = 625*2 = 625 * 2^1 = 1250
y(2) = 625*2*2 = 625 * 2^2 = 2500
y(3) = 625*2*2*2 = 625 * 2^3 = 5000
y(4) = 625*2*2*2*2 = 625 * 2^4 = 10000
Como puedes ver, la expresión es:
y(t) = 625 * 2^t, con 0 <= t <= 4, t perteneciente al conjunto de los números naturales.