
Te sugiero estos vídeos... ALGEBRA Matriz de Cambio de Base 01
A partir de ahí, me encantaría ayudarte, pero no respondo dudas universitarias que no tengan que ver específicamente con los videos que ya he grabado como excepcion. Lo siento de corazón… Espero lo entiendas
quizas salga de los contenidos de Unicoos pero alguien me podria pasar algun material o pagina, donde pueda encontrar informacion sobre series y ejercicios resueltos. Muchas Gracias. sds
por favor ayudenme a demostrar estos 2 problemas:
1.- Si (2^n)−1 es primo entonces n es primo ; (n es positivo )
2.- Demostrar que un primo impar puede expresarse como diferencia de cuadrados de manera unica.
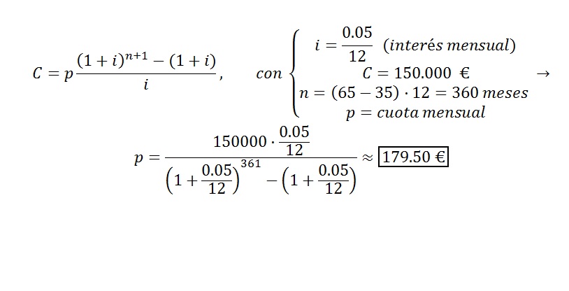
porfavor ayudadme con este problema! Un trabajador de 35 años quiere hacer un plan de pensiones para tener 150000 euros cuando se jubile a los 65 años si el interes anual es del 5%, que cuotas mensuales debera aportar?
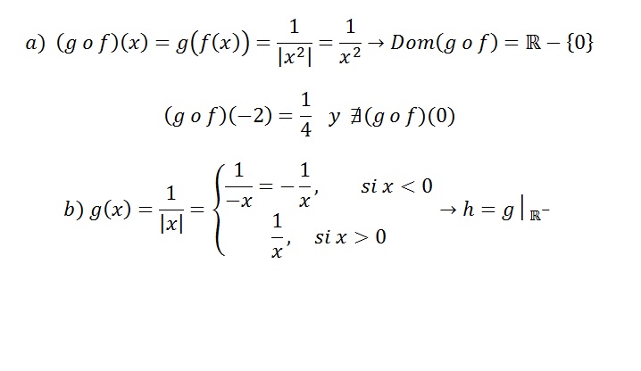
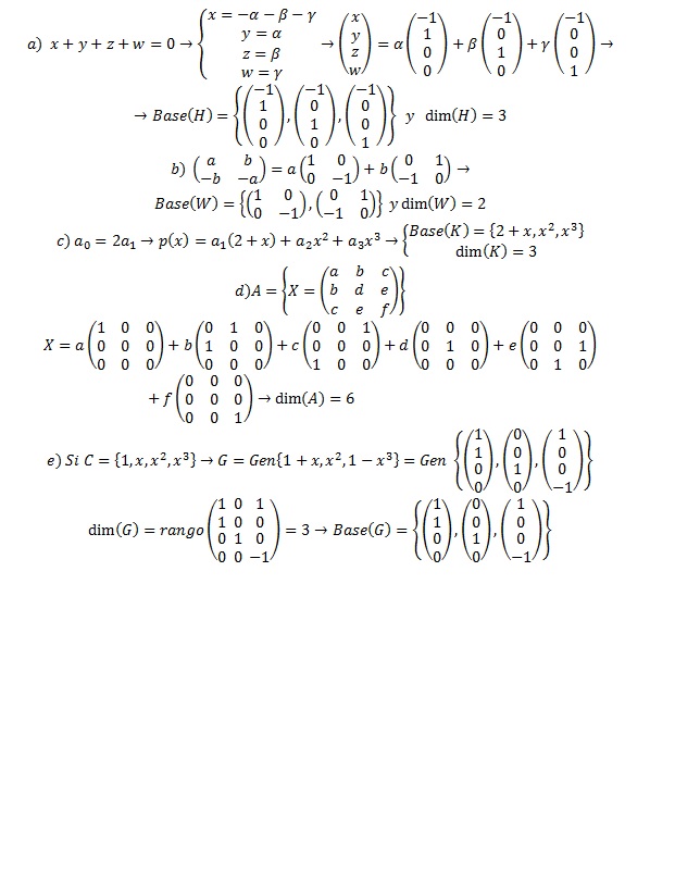
AYUDA, POR FAVOR ALGUIEN QUE ME RECTIFIQUE LOS EJERCICIOS
en la primera su base es (1,0,0,0)(0,1,0,0)(0,0,1,0)(0,0,0,1) y su dimensión es 4?
En la segunda su base es (1,0,0,-1) y (0,1,-1,0) y su dimensión es 2?
en la tercera si base es (1,0,0,0)(0,-2,0,0) y su dimensión es 2?
y ayuda como seria con dice en el Gen de algo, se resuelve igual?

¿y cual es tu duda?... Se trata de que DESPUES DE IR A CLASE (ver los vídeos relacionados con vuestras dudas) enviéis dudas concretas, muy concretas. Y que nos enviéis también todo aquello que hayais conseguido hacer por vosotros mismos. Paso a paso, esté bien o mal. No solo el enunciado. De esa manera podremos saber vuestro nivel, en que podemos ayudaros, cuales son vuestros fallos.... Y el trabajo duro será el vuestro. #nosvemosenclase Nos cuentas ¿ok?