Hola, quería saber si hay vídeos de Raíces de polinomios, por favor. Muchas gracias

Echale un vistazo a todos los vídeos de factorizacion o ecuaciones. Te dejo un ejemplo... Ecuaciones y sistemas
Si tienes dudas sobre sobre algún ejercicio en concreto déjanos una foto con el enunciado y todo lo que hayas conseguido por ti mi. Besos!
Hola,
Tengo dudas con respecto a los conjuntos abiertos y cerrados en topología. Adjunto algunos ejercicios que resolví para saber si son correctos.
Muchas gracias!!!!
La pregunta para abierto o cerrado en topología es : .¿incluye los límites.? Si no los incluye explícitamente es abierto. Haz esa pregunta para ese conjunto de racionales generados por la inversa de los naturales. Y en el siguiente caso cuando se incluye explícitamente el cero?,
Ahh por cierto existe el concepto semi abierto o semi errado. A veces se dice cerrado por la derecha o cerrado por la izquierda .....
Otra opción es ver si para acotarlo usarías el menor o mayor en lugar del menor o igual que o mayor o igual que...... Venga está a tiro de piedra!
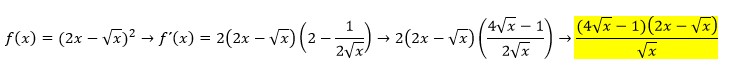
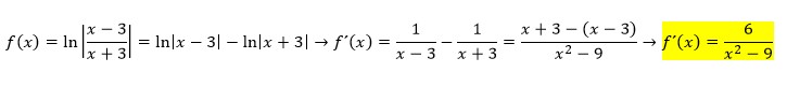
Hola. ¿Alguien podría ayudarme con estas derivadas?
F(x)= ln(x-3/x+3)
F(x)= (x^2+3x)*e^-2x+1
F(x)= (2x- raiz cuadrada de x)^2
Hola. ¿Alguien podría ayudarme con esta derivada? F(x)=(-x^2+1)/(x^2+1)^2 Se que es una sencilla derivada porque es la derivada de un cociente pero no logro dejarlo todo simplificado para luego sacar los puntos de inflexión. Gracias.
Si algo está sencillo déjalo sencillo el ((1+x^2)^2)^2 es de momento lo más fácil de poner y luego de simplificar. ... Escribe con paciencia y metodo. Es lo más apropiado y en derivadas siempre se consigue (es además una función continúa en todo x desde menos infinito hasta más infinito).
Si, acabo de hacerlo. Te cuento, porque me has ayudado más que muchisimo:
Me pedían representar la función F(x)= x/(x^2+1) para hacer máximos y mínimos había hecho la primera derivada con el resultado anterior con el que iniciado la cuestión. Mi problema era la segunda derivada, me liaba por lo que ya te he contado, ahora que no he deshecho el cuadrado me ha salido y el punto de inflexión es en la coordenada (0,0) por lo tanto he hecho bien la segunda derivada jajaja, muchas gracias Antonio.
Hola estoy enrocado en esta integral, no sé de donde sale el " 5 " que está dividiendo a la integral, adjunto problema . Gracias de antemano
¡Hola!¿Este ejercicio está bien planteado?
Un grifo A tarda el quíntuplo que otro B en llenar un cubo de agua. Si lo abrimos a la vez, el cubo B se llena en 5 minutos.¿Cuánto tardaría cada uno por separado?
A=5B
B+5B=B=6
A=5.6=30
A tarda 30 minutos y B tarda 6 minutos
Me podéis ayudar con este? El link del ejercicio es el siguiente: http://www.gogeometry.com/geometria/p094_triangulo_paralela_circunferencia_circunradio_semejanza.htm