El tiempo que tarda un servidor informático en ejecutar una
solicitud (acceso) sigue una distribución exponencial, siendo la mediana 3
milisegundos.
a) ¿Cuál es la probabilidad de que una solicitud sea ejecutada en menos de 2
milisegundos?
b) Calcular el percentil 95 de la variable aleatoria objeto de estudio.
c) Si se seleccionan al azar 10 accesos consecutivos al servidor, ¿cuál es la
probabilidad de que el tiempo total sea superior a 50 milisegundos?
¡Hola!¿Me pueden decir si el ejercicio está bien planteado?
La calificación de matemáticas se obtiene mediante dos exámenes; el primero es el 40% de la nota final, y el segundo es el 60%. Si el alumno consiguió 12 puntos entre los dos exámenes y obtuvo un 6 de nota final, ¿qué nota tuvo en cada uno de ellos?
40/100=0,4
60/100=0,6
0,4+0,6=1
12.1=12/2=6
6 en cada uno de ellos
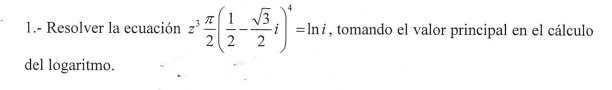
me podrias ayudar con este ejercicio de numeros complejos porfavor. Lo que no entiendo en concreto es que al calcular el argumento de i me sale arctg 1/0 y es imposible que sea asi. En la correccion de este ejercicio poner que su argumento es pi/2 y no se de donde sale. Muchas gracias de antemano (ES MUY URGENTE TENGO EXAMEN EL JUEVES)

Observemos que para complejos reales:
Si son positivos, sus argumentos principales son 0;
y si son negativos, sus argumentos principales son pi.
Pero si son imaginarios puros con partes imaginarias positivas, sus argumentos principales son pi/2;
y si sus partes imaginarias son negativas, sus argumentos principales son 3pi/2.
Si representas el complejo w = i en un sistema de ejes cartesianos (eje real x, eje imaginario y), verás que el complejo w = i queda representado por el punto de coordenadas (0,1), y si trazas un vector desde el origen, verás que su módulo es 1, y su inclinación con respecto al semieje x postivio es pi/2.
Espero haberte ayudado.
Alguien me podria ayudar con las primeras cuatro raices complejas (forma polar en radianes) de este numero: -4-4i*((3)^(1/2)).
Lo agradecería mucho.

No entiendo bien que quieres expresar, pero te sugiero este video... Numeros complejos 04 - Raiz
Al menos... Nos cuentas despues ¿ok?...