Holaa a todos los únicoos, estoy muy encasillado con un problema de álgebra lineal que tiene varios apartados pero estoy en blanco y no consigo avanzar este es el enunciado:
SeaV=R2[x]={a+bx+cx^2 :a,b,c pertenece R}. Sea f:V -> V la aplicación lineal dada por:
f(1+x+x^2) = 2*beta + alfa*x
f(-x+x^2) = alfa*x + beta*x^2
f(x^2) = beta + (alfa - 1)*x
(a) Estudia segun los valores de alfa, beta pertenece R, si la aplicacion es inyectiva o no.
Supongamos de ahora en adelante en este ejercicio que alfa = 2 y beta = 0.
(b) Calcula la matriz asociada a f respecto de las bases B1 = {1 + x, -x + x^2,x^2} y B2 = {1, -x,3x^2}, y da
una base del ker(f) y otra de la Im(f).
(c) ¿ Es f diagonalizable? En caso afirmativo, ¿respecto de que base?
Considera ahora V como un espacio vectorial euclıdeo cuya matriz de Gram respecto de la base canonica
Bc ={1,x,x^2}es:
la matriz es :
(1 1/2 1/3
1/2 1/3 1/4
1/3 1/4 1/5 )
me ayudaría muchísimo que me ayudaran por lo menos a aclararme que pasos hay que seguir en los apartados para yo llegar al resultado
Hola unicoos, necesito ayuda para entender una derivada por favor. Resulta que me dejaron el siguiente problema de tarea y tengo que optimizarlo para encontrar el mínimo de la función y todo mi procedimiento iba bien hasta que me encontré con la derivación de la función. Yo la había derivado así: 2x - 1200/((raiz de 3 * x)^2) y al igualarla a 0 me daba un resultado cercano al correcto pero no era el mínimo, la derivada que termine poniendo como respuesta, y que me da el mínimo correcto, la saque de internet pero no entiendo como se llego a esa derivada. Espero que puedan ayudarme, gracias.
Hola! Estoy dando factorización de polinomios y tengo especial dificultad para resolver los de tipo ecuaciones bicuadradas. En clase corregimos los siguiente y no entendí porque daban los siguientes resultados. A) x^4- 10x^2-3= x^2 (x+raiz de tres) (x-raíz de tres) B) x^5+20x^3+100x= x(x^2+10)^2 C) 3X^5-18X^3+27X=3X(X^2-3)^2. Si alguien puediera explicármelos lo agradecería. Un saludo!

Lo primero es sacar factor comun.. x(x^4+20x²+100)... Lo siguiente la ecuacion bicuadrada...
Te sugiero estos videos.. Ecuacion bicuadrada Factor comun
Con 3x^5-18x^3+27x, lo mismo.. Sacamos factor comun a 3x... Te queda 3x(x^4+6x²+9x).. Y de nuevo bicuadrada...
Se trata de que DESPUES DE IR A CLASE (ver los vídeos relacionados con vuestras dudas) enviéis dudas concretas, muy concretas. Y que nos enviéis también todo aquello que hayais conseguido hacer por vosotros mismos. Paso a paso, esté bien o mal. No solo el enunciado. De esa manera podremos saber vuestro nivel, en que podemos ayudaros, cuales son vuestros fallos.... Y el trabajo duro será el vuestro. #nosvemosenclase Nos cuentas ¿ok?
Hola Buenos dias,
tengo un problema al resolver esta ecuacion diferencial homogenea,
(x^2-y^2)dx + 3xydy=0
ya que a la hora de integrar me sale integral de 3v/4v^2-1 = integral de 1/x dx y la primera integral soy incapaz de resolverla.
Si alguno me puede ayudar se lo agradeceria,
Un abrazo
cin
alguien me puede ayudar con este problema :(
calcula los extremos de la función f(x,y) =6^4 +11y^2 +3x^4 +8x^2 y determina sin son máximos o mínimos relativos.
Trate de construir algunos cuadrados mágicos compuestos de 18 fichas, pero en los que la suma de tantos sea otra diferente. Trece es la suma menor en las filas de un cuadrado mágico, formado de 18 fichas. La suma mayor es 23. domino es. gracias como resolver eso de forma facil
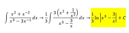
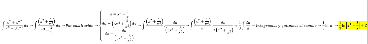
ayudemen con esta Integral esta dificil , es aplicando sutitucion
(x^2 + x^-2) / (x^3 - 3x^-1)

Puedes restar miembro a miembro las dos ecuaciones de las circunferencias, y llegas a: 4y - 4x = 0, de donde tenemos y = x, ahora puedes sustituir en una de las ecuaciones de las circunferencias, por ejemplo la primera, y queda: 2*x^2 = 4x, luego hacemos pasaje de término hacia la izquierda y extraemos factor común y queda:2x*(x - 2) = 0, de donde obtenemos dos valores:
x = 0, que corresponde con y = 0, por lo que (0,0) es un punto común a ambas circunferencias,
x = 2, que corresponde con y = 2, por lo que (2,2) es otro punto común a ambas circunferencias,
Ahora puedes ver que la recta de ecuación y = x contiene a ambos puntos y a la cuerda que los une, y que su pendiente es : m = 1.
Ahora, la pendiente de una recta perpendicular a la recta que contiene a la cuerda es: M = -1/1 = -1.
Y ya cuentas con toda la información necesaria para encontrar la ecuación de la recta pedida.
Espero haberte ayudado.