
Observa que la función expresa la distancia entre el origen del eje de posiciones (que suponemos positivo a la derecha del origen) y la posición de la partícula en cada instante, por lo tanto:
si la función es creciente: la partícula está cada vez más lejos del origen, porque la distancia al origen aumenta;
si la función es decreciente: la partícula está cada vez más cerca del origen, porque la distancia al origen disminuye;
y en los puntos singulares (o críticos): la partícula está cambiando entre alejarse del origen y acercarse al origen, que corresponde a un cambio de sentido de su movimiento..
Por lo tanto, solo debes encontrar máximos y mínimos, y establecer los intervalos de crecimiento y de decrecimiento de la función, y para ello puedes plantear la condición de punto singular (o crítico) para funciones continuas y derivables en R (como es nuestro caso): s' (t) = 0, y a partir de resolverla encontrarás los puntos singulares, y con ellos los intervalos de crecimiento y decrecimiento.
Espero haberte ayudado.

Observa que a partir del gráfico, podemos distinguir tres intervalos, y dos puntos singulares (0, en el que f ' no está definida y tiende a + inf, y 2, en el que si está definida, pero sus límites laterales son distintos).
(- inf ; 0)
f ' es positiva, por lo que f es creciente,
f ' es creciente, por lo que f '' es positiva, y f es cóncava hacia arriba,
por lo tanto f es creciente y cóncava hacia arriba en (-inf ; 0);
f ' no está definida en x = 0, y sus límites laterales dicen que tiende a +inf en dicho punto, por lo que la gráfica de f se "verticaliza" en x = 0;
(0 ; 2)
f ' es positiva, por lo que f es creciente,
f ' es decreciente, por lo que f '' es negativa, y f es convexa hacia arriba,
por lo tanto f es creciente y convexa hacia arriba en (0 , 2);
los límites laterales de f son distintos en x = 2, por lo que la gráfica de f presenta un punto anguloso (o pico) en dicho punto;
(2 ; +inf)
f ' es negativa, por lo que f es decreciente,
f ' es creciente, por lo que f ' ' es positiva y f es cóncava hacia arriba,
por lo tanto f es decreciente y cóncava hacia arriba en (2 , +inf).
Puntos notables:
la gráfica de f presenta una inflexión en x = 0, ya que cambia de ser cóncava hacia arriba a su izquierda a ser convexa para arriba a su derecha;
y presenta máximo en x = 2, ya que cambia de ser creciente a su izquierda a decreciente a su derecha.
Solo queda que hagas un esquema de un gráfico posible, con tres trazos unidos según las carácterísticas que hemos encontrado para la gráfica de f.
Espero haberte ayudado.
Hola unicoos!! Si alguien pudiera ayudarme con estos ejercicios de INTEGRALES estaría muy agradecido

Los tres ejercicios comienzan con sustituciones (la pista se ve porque en el integrando hay una función compuesta).
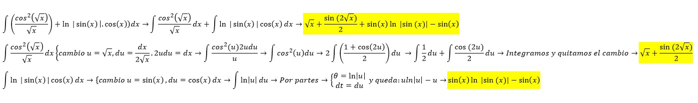
En el primer ejercicio, integramos cada término independientemente, por propiedad:
w = V(x), de donde tenemos que dw = (1 /(2*V(x))*dx = (1/(2w))*dx, de donde podemos despejar. dx = 2*w*dw,
luego sustituimos, simplificamos, y el integrando queda. 2 * (cosw)^2*dw,
y a partir de aquí, por identidad trigonométrica, el integrando se puede escribir: 2*((1 + cos(2w))/2)*dw = (1 + cos(2w))*dw,
y desde aquí seguramente ya puedes continuar.
En el segundo término:
w = senx, de donde tenemos: dw = cosx*dx,
y el integrando queda lnw*dw = lnw*1*dw;
luego puedes continuar integrando por partes: u = lnw, dv =1*dw, etcétera que seguramente puedes continuar.
En el segundo ejercicio:
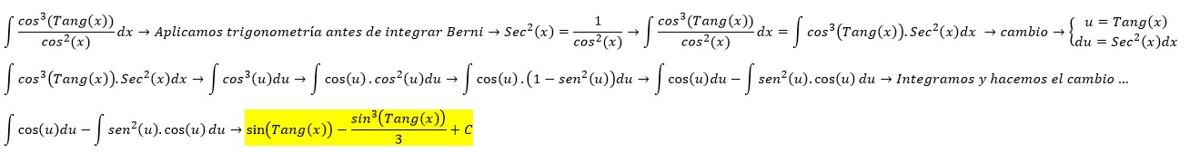
w = tanx, de donde tenemos: dw = (1 / (cosx)^2)*dx, sustituimos y el integrando queda:
(cosw)^3)*dw = ((cosw)^2)*cosx*dx = (1 - (senx)^2)*cosx*dx (ésto último por identidad trigonométrica, luego una nueva sustitución
p = senx, de donde tenemos: dp = cosx*dx, sustituimos y el integrando queda:
(1 - w^2)*dw, y de aquí en más seguramente puedes continuar.
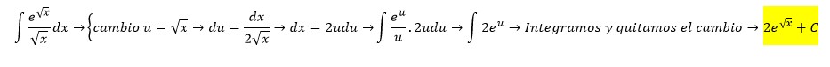
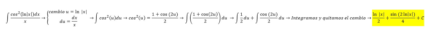
En el tercer ejercicio:
w = lnx, de donde tenemos: dw = (1/x)*dx, sustituimos y el integrando queda
((cosw)^2)*dw = ((1 + cos(2w))/2)*dw, por identidad trigonométrica (la misma que empleamos en un paso del primer ejercicio, y seguro que puedes continuar a partir de aquí.
Espero haberte ayudado.
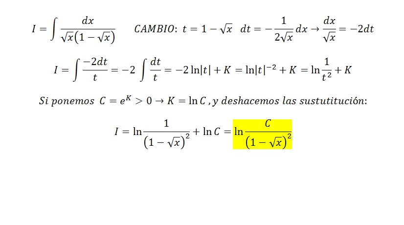
Hola que tal equipo unicoos, puede x favor algún experto en integrales, en sí matemáticas, que me ayuden con una integral que ya me esta dando x la cara, y no tengo la idea de como llegar a la solución. Gracias....
neesito ayuda con este ejercicio:
cogiendo la siguiente función definida a trozos:
-4x+a si x≤ -2
f(x) x2-5 si -2

Echale un vistazo a estos vídeos y nos cuentas ¿ok?... Continuidad de una función Derivabilidad y continuidad
Se trata de que DESPUES DE IR A CLASE (tienes un vídeo identico) enviéis dudas concretas, muy concretas. Y que nos enviéis también todo aquello que hayais conseguido hacer por vosotros mismos. Paso a paso, esté bien o mal. No solo el enunciado. De esa manera podremos saber vuestro nivel, en que podemos ayudaros, cuales son vuestros fallos.... Y el trabajo duro será el vuestro. #nosvemosenclase Nos cuentas ¿ok?