Hola unicos. Buen día a ustedes, me encontre un problema en el libro de Calculo diferencial e Integral de Granville, en si un poco dificultoso "quizas" , que quiero que me den una manita con el mismo. Gracias de antemano.
Por indicaciones que no falte: aquí las tienes todas... o casi. Vaya tela!! Ve aportando lo que vayas haciendo y te vamos corrigiendo.
EDPs - Apuntes del profesor Pepe Aranda
hola quisiera saber de que forma puedo plantear este ejercicio de razones de cambio (solo se debe resolver con derivadas)
un deposito de agua tiene la forma de una semiesfera de radio 1 metro si se llena en la razon de 20 cm/min, con que rapidez sube el nivel del agua en el estanque cuando esta tiene una profundidad de 60 cm?.

Espero te ayuden... Razon de Cambio 01
A partir de ahí, me encantaría ayudarte, pero no respondo dudas universitarias que no tengan que ver específicamente con los videos que ya he grabado como excepcion. Lo siento de corazón… Espero lo entiendas
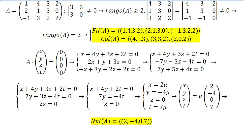
Hola a todos, quisiera saber si me pueden colaborar con una explicación de como se hace este ejercicio,
1. Halle una base para espacio. fila, espacio, columna y espacio nulo (matriz en imagen adjunta).
Y con una explicación de como se hacen el tipo de ejercicios que hay en la imagen, es sobre transformaciones lineales.
De verdad muchas gracias a todos.
Hola, muchas gracias.
Por cierto, sabes si hay vídeos de estos temas en el portal, sobre las transformaciones lineales mas específicamente. Los temas de álgebra lineal, es que he buscado sobre las transformaciones y no encuentro, quizá ustedes sepan mejor que yo como realizar la búsqueda. De nuevo muchas gracias.
Hola, sera que alguien puede decirme si lo hice bien o cual fue mi error, no tengo con quien consultar. Es transformada de fourier. la integral no la escribi porque usamos tabla de integrales definidas.
use la de (e^-ax).sen bx.dx = b/(a^2 +b^2)
gracias
me equivoque en el intervalo ya que seria de 0 a 5..