Foro de preguntas y respuestas de Matemáticas

logo beUnicoos
Los foros de unicoos se han unificado en nuestra nueva plataforma beUnicoos. Para dejar nuevas preguntas deberás hacerlo allí, donde además podrás encontrar nuevas asignaturas y herramientas para ayudarte más con tus estudios.

  • icon

    Nacho
    el 18/6/16
    flag

    alguien me ayuda con este ejercicio no lo logro sacar.
    gracias

    replythumb_up0 voto/sflag
    icon

    Antonius Benedictus
    el 18/6/16

    VA la ayuda, Nacho.

    thumb_up0 voto/sflag
    icon

    Nacho
    el 19/6/16

    como obtengo la imagen? no logro entender eso..

    gracias por vuestra ayuda

    thumb_up0 voto/sflag
  • icon

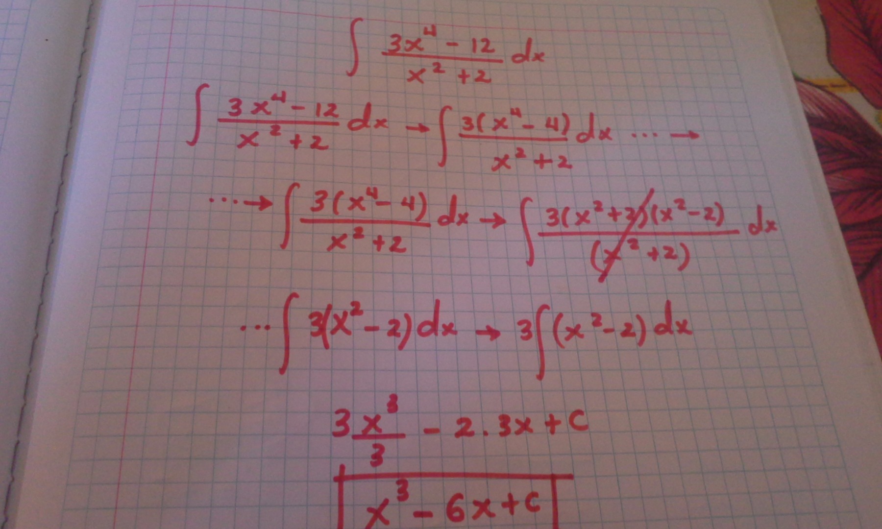
    Ariel
    el 18/6/16

    (3x^4-12) / (x^2+2) ayudemen con esta integral , en SYMBOLAD me da una respuesta diferente a la q me da en el libro de Matematica aplicada

    replythumb_up0 voto/sflag
    icon

    Axel Morales Piñón.
    el 18/6/16

    Sí Ariel... perdón por no responder a computador pero me ha fallado el word

    thumb_up0 voto/sflag
    icon

    Ariel
    el 18/6/16

    gracias

    thumb_up0 voto/sflag
    icon

    Ariel
    el 18/6/16

    ayudame con este, no sè como empezar a separar para luego Integrar (4-x) / (raizx + 2)

    thumb_up0 voto/sflag
    icon

    Axel Morales Piñón.
    el 18/6/16

    ¿Cuál de ellas dos Ariel?

    thumb_up0 voto/sflag
    icon

    Ariel
    el 18/6/16

    la primera, tengo muchos ejercicios asii y necesito q me ayudes para guiarme con el restoo, ayudame porfa, pero Integral basica, porq aun no hemos visto con mi maestro nada de sustitucion , ni por partes, por eso mi maestro dijo q lo hicieramos de manera basica

    thumb_up0 voto/sflag
    icon

    Axel Morales Piñón.
    el 18/6/16

    Va Ariel un saludo... Deja intento por alguna maniobra algebraica ya que lo resolví por sustitución...

    thumb_up0 voto/sflag
    icon

    Ariel
    el 18/6/16

    bro yo por sustitucion si sè, porq vì varios ejercicios de cambio de variable en youtube, pero el profesor me decia q aùn no hiciera esos ejercicios por ese metodo , porq aún no hemos entrado a ese tema, y mis otros compañeros no saben, entonces no sè como hacer este ejercicio de una manera basica

    thumb_up0 voto/sflag
  • icon

    José Manuel
    el 18/6/16
    flag

    Alguien que me ayude a comprobar la solución que me da?

    replythumb_up0 voto/sflag
    icon

    Antonius Benedictus
    el 18/6/16

    Vamos, José Manuel:

    thumb_up0 voto/sflag
  • icon

    Fiodor El Gato
    el 18/6/16

    ¿Me podéis ayudar? Dice lo siguiente: En la pista circular de un circo se coloca la jaula de leones, que tiene forma triangular, de manera que queda perfectamente inscrita en la pista. La pista del circo tiene un diámetro de 12 m y el perímetro de la jaula mide 28 m. Calcula las dimensiones de la jaula de leones.

    replythumb_up0 voto/sflag
    icon

    Francisco Gutiérrez Mora
    el 18/6/16

    ¿Puedes poner el enunciado original?

    thumb_up0 voto/sflag
    icon

    Fiodor El Gato
    el 18/6/16

    Es el original. Yo sí sé que el punto de corte de las mediatrices es el centro de la circunferencia, pero esto no lo ponen.

    thumb_up0 voto/sflag
  • icon

    andres
    el 18/6/16

    hola unicoos, una ayuda con esta integral por metodo de partes

    replythumb_up0 voto/sflag
    icon

    Axel Morales Piñón.
    el 18/6/16

    Va Andrés...

    thumb_up0 voto/sflag
    icon

    Axel Morales Piñón.
    el 18/6/16

    Cuidadito Andres que me he olvidado poner ese (2)... Espero y te hayas dado cuenta... Saludos...

    thumb_up0 voto/sflag
    icon

    Axel Morales Piñón.
    el 18/6/16

    Así queda Andres...

    thumb_up0 voto/sflag
  • icon

    CINTHIA
    el 18/6/16
    flag

    Hola chic@s alguien q xfavor me ayude a como poder resolver este conjunto creo q es la opcion E
    muchas gracias de antemano :)

    replythumb_up0 voto/sflag
    icon

    David
    el 19/6/16

    Me encantaría ayudarte, pero no respondo dudas universitarias que no tengan que ver específicamente con los videos que ya he grabado como excepcion. Lo siento de corazón… Espero lo entiendas

    thumb_up0 voto/sflag
  • icon

    Gabriel
    el 18/6/16

    Buenas tardes.Tengo este ejercicio: "hallar ecuacion de circunferencia que es tg a los ejes coordenados y contiene al punto (9;2)"
    Venia resolviendo algunos, pero en todos los ejemplo me daban como referencia la ecuacion de la recta o las coordenadas del centro. A este ejercicio nose por donde encararlo.
    Gracias de antemano

    replythumb_up0 voto/sflag
    icon

    Antonius Benedictus
    el 18/6/16

    Te explicamos, Matías:

    thumb_up1 voto/sflag
    icon

    Gabriel
    el 19/6/16

    Gracias amigo antonio.Claro como el agua.

    thumb_up0 voto/sflag
  • icon

    Aixa
    el 18/6/16

    Si los lados de un triángulo miden 15,20 y 25 cm. ¿Cuánto mide la altura más pequeña del triángulo?
    ¿Me lo pueden explicar?

    replythumb_up0 voto/sflag
    icon

    Antonio
    el 18/6/16

    He puesto un triángulo con los valores de las longitudes 15 20 y 25 en principio un triángulo cualquiera, pero al comprobar que 15^2+20^2=25^2. Queda claro que es un triángulo rectángulo y por tanto el cateto corto de 15 es la altura pequeña.

    thumb_up0 voto/sflag
    icon

    Aixa
    el 18/6/16

    En la solución del ejercicio da como resultado 12cm. No lo entiendo

    thumb_up0 voto/sflag
    icon

    Antonio
    el 18/6/16

    Tienes razón la altura sobre el lado largo o hipotenusa, es el más corto

    thumb_up0 voto/sflag
    icon

    Antonio
    el 18/6/16

    Como él área ha de ser igual se tome la referencia de los dos catetos o la hipotenusa como base
    (15*20)/2=(25*h)/2. Y por tanto h =15*20/25 = 12 tienes toda la razón

    thumb_up0 voto/sflag
    icon

    Aixa
    el 18/6/16

    Gracias

    thumb_up0 voto/sflag
  • icon

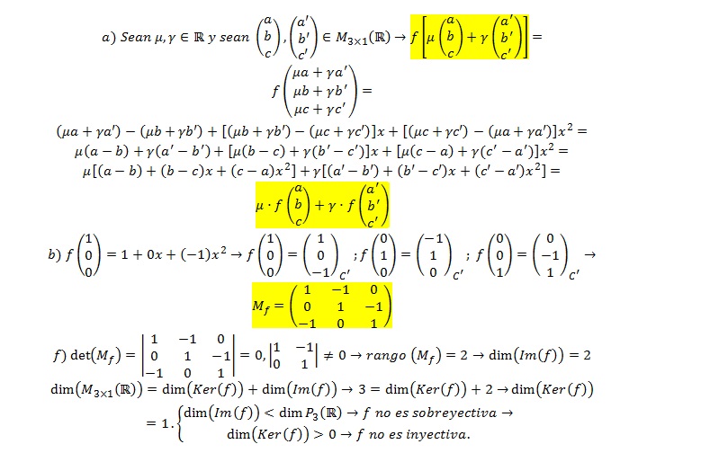
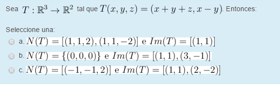
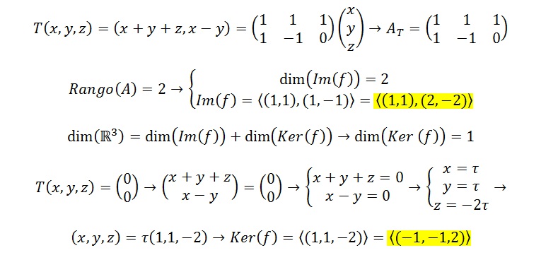
    José Alberto Murgado
    el 18/6/16
    flag

    Buenas, ¿podría alguien decirme como hacer este ejercicio?
    Es de Álgebra lineal de 1º de universidad (Aplicaciones lineales)

    replythumb_up0 voto/sflag
    icon

    Antonius Benedictus
    el 18/6/16

    Te van algunos apartados, José Alberto:

    thumb_up1 voto/sflag
  • icon

    Nerea
    el 18/6/16

    Alguien me podria explicar como hacer este ejercicio?
    No lo entiendo :(

    replythumb_up0 voto/sflag
    icon

    José Alberto Murgado
    el 18/6/16

    https://www.youtube.com/watch?v=mn7p7z8ulHM mirate esto

    thumb_up1 voto/sflag
    icon

    Antonio
    el 18/6/16

    Empaquetando el concepto generalizado de la parábola a que. La dir cariz sea una recta cualquiera de ecuacion ax+by+c=0 y el foco en u,v.
    (ax+by+c)^2)/(a^2+b^2)=(x-u)^2+(y-v)^2

    thumb_up1 voto/sflag