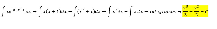
no puedo resolver esta integral por fraccion simple
las igualaciones de abajo que le di valores a x=0
=1
=-1
=2
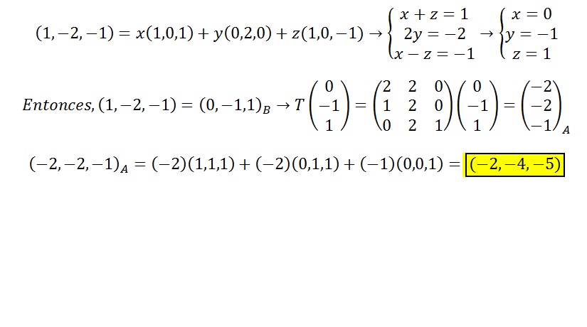
Necesito ayuda con esto de cambiar de base y cambiar de sistema e coordenadas cartesianas asociadas a las bases!!!

Me encantaría ayudarte, pero no respondo dudas universitarias que no tengan que ver específicamente con los videos que ya he grabado como excepcion. Lo siento de corazón… Espero lo entiendas
Por si te ayudan... ALGEBRA Matriz de Cambio de Base 01
Hola si me podrían ayudar con este ejercicio tengo muchas dudas me podrían decir su respuesta y porqué?
hollaaa chic@s me podian explicar xfavor q sifnifica Re ? en este ejercicio es como el conjunto universo no comprendo esa parte
de antemano muchas gracias
Tengo una duda sobre intersecciones y curvas: Si tengo dos superficies en el espacio que se intersectan y proyecto esa curva intersección sobre algún plano, da igual sobre donde la proyecte? (por ej en XY eliminando Z)
Se me vino a la mente esa duda porque quiero calcular la longitud de esa curva de intersección. De antemano,gracias.
Hola, puedes hacer un video de sistemas de inecuaciones de segundo grado? como esta
x^2-9_0
Y tambien un cociente de inecuacion de segundo grado porfi. Como esta
x^2-4:x^2-2x>_0
GRACIAS DE ANTEMANO