BUENAS NOCHES.ME PODRIAN AYUDAR CON UNOS PUNTOS OPTIMIZACION ....CON EL 2 Y 4 .. MI FALLA ESTA ES QUE NO SE PLANTEAR EL PROBLEMA ,.,
Hola, buen día.
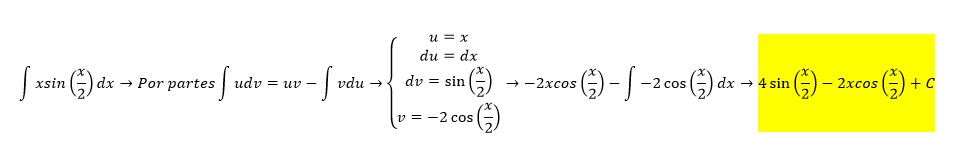
Me podrían ayudar, tengo varias integrales que resolver y en estas no puedo identificar de que tipo son, o como empezar de una manera correcta; les agradecería mucho si me ayudan
Hola, buen día.
Me podrían ayudar, tengo varias integrales que resolver y en estas no puedo identificar de que tipo son, o como empezar de una manera correcta; les agradecería mucho si me ayudan
Hola estoy llevando el tema de ecuaciones con valor absoluto,y no encuentro solución para este ejercicio ¿como puedo hacerlo? si me piden la respuesta en centigrados .
La variación de la temperatura (en cientos de oC) de un horno se determina por la fórmula:
|x-5|+|x-2|=3
Calcular la temperatura máxima
URGENTE: Sí me podéis ayudar:
1) Hallar la Dim del unas ecuaciones paramétricas / Hallar la Base de S
2) Ecuaciones Implícitas
x : Alfa + Beta + 2y
y : Alfa + Beta
z : Alfa + 2 Beta + 3y
t : 2 Alfa + Beta + 3y

Te sugiero... Subespacios vectoriales
A partir de ahí, lo siento.. Me encantaría ayudarte, pero no respondo dudas universitarias que no tengan que ver específicamente con los videos que ya he grabado como excepcion. Lo siento de corazón… Espero lo entiendas
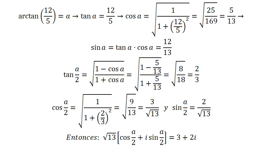
Hola estoy viendo numeros complejos y tengo dificultades con este ejercicio
Encontrar las soluciones de esta ecuación
(1+i)z^2+(1+2i)z-2=0
¿Como lo hago?. He intentado hacerlo como una ecuación de segundo grado pero no llego a nada comestible
Saludos