necesito ayuda con el punto dos romano que me expliquen como se encuentran los puntos de inflexión y los puntos máximos y mínimos del punto uno romano

Para hallar maximos minimos y puntos de inflexion te sugiero veas este video. Crecimiento y curvatura de una función polinomica
Despues haz exactamente lo mismo... Derivar e igualar a cero para hallar los posibles puntos criticos
Y volver a derivar para hallar la segunda derivda, igualar a 0 para hallar los posibles puntos de inflexion...
Evidentemente deberás saber derivar y hacer ecuaciones..
Se trata de que DESPUES DE IR A CLASE (ver los vídeos relacionados con vuestras dudas) enviéis dudas concretas, muy concretas. Y que nos enviéis también todo aquello que hayais conseguido hacer por vosotros mismos. Paso a paso, esté bien o mal. No solo el enunciado. De esa manera podremos saber vuestro nivel, en que podemos ayudaros, cuales son vuestros fallos.... Y el trabajo duro será el vuestro, que son vuestros deberes. #nosvemosenclase Nos cuentas ¿ok?
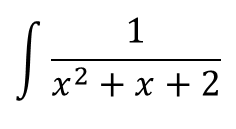
estoy tratando de resolver esa integral de funciones racionales.
pero al querer separar el denominador en sus raices para que me quede mas facil para hacer el calculo. me da que no existe en los reales. Y no entiendo como resolverla si me dan una manito , estaria MUY agradecido. gracias......
Hoola! David tienen un vídeo donde explica cómo resolver integrales de ese tipo, donde el denominador no se puede factorizar Integrales racionales
Es común que te lo pidan de esa forma, además como no puedes factorizarlo en los nros reales, cuando completas cuadrado dejas en claro que es siempre positivo.
También, la descomposición en fracciones parciales o simples(es lo mismo) de algo de la forma: 1/(1 + x*2) = (Ax + B)/(x*2+1)
de todas formas revisa este video: https://www.youtube.com/watch?v=xMT2wxe2yo4
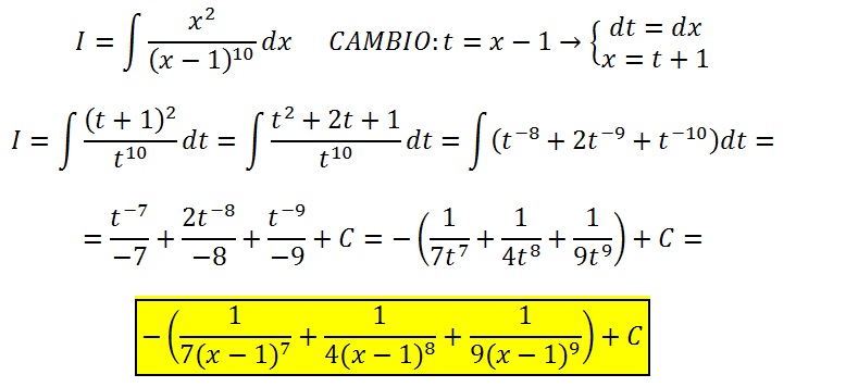
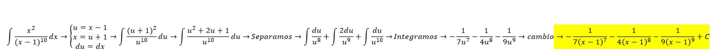
Hola Unicoos. Me ayudan con esta integral por favor.
Este ejercicio es de Analisis Matemático de Lara y Arroba Pag: 617 (Fracciones Parciales)