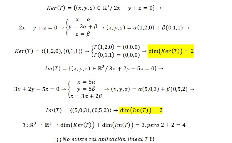
Buenas tardes mi duda es respecto a la materia de Algebra Lineal, es posible que un subconjunto de un espacio vectorial sea de distinta dimensión al del espacio vectorial? Por ejemplo en el problema que muestro, me piden determinar si el conjunto S es un subespacio de V, se que para saber si es un subespacio debe cumplir las 2 cerraduras de los 10 axiomas de un espacio vectorial, sin embargo el problema no me dice que S es un subconjunto de V, y ademas son distinta dimension, como puedo resolver esto? Gracias.
hola, mi duda es concreta: me piden que al estudiar si f es diagonalizable o no (en mi caso si lo es porque las dimensiones de los subespacios son iguales a sus órdenes de multiplicidad correspondientes) haga referencia a un criterio de diagonalización, ¿qué me recomendais poner?
Muchas gracias de antemano
Un saludo

Yo siempre aplico Cayley-Hamilton.... https://es.wikipedia.org/wiki/Teorema_de_Cayley-Hamilton
Polinomio caracteristico - CAYLEY-HAMILTON
Estimados amigos he tenido un pequeño problema en ejercicios de calculo derivadas cientificas les ruego que nos puedan ayudar porque nos hemos reunido con amigos para resolverlo pero no pudimos por eso nos dirigimos a ustedes.
De ante mano darles las gracias por su ayuda sincera.
Hola a todos, soy Ignacio, ecribo desde Argentina. Estuve viendo unicoos por Youtube y decidi inscribirme en la pagina. Alguien me podria explicar que son los flags points, Energy points y los helps points? Como los utilizo.Muchas gracias

Hola Ignacio,
Los Energy points son puntos que vas recibiendo por ver algún vídeo de unicoos en la página
Los flags points sirven para reportar alguna pregunta, por ejemplo si está mal planteada o no pertenece al foro. Cada vez que reportes y te lo acepten, aparecerá un número al lado de la bandera roja de tu perfil.
Los helps points sirven para puntuar una pregunta según si te ha ayudado mucho o no.
Para hacer una nueva pregunta en el foro, tienes que primero puntuar las respuestas que te han dado.
Bienvenido a la página!

Hola Ignacio:
Que yo sepa, no se puede dar "Me gusta" a los vídeos dentro de la página, pero sí que te los puedes ir guardando en tu cuenta. Esto se hace si, cuando estás viendo un vídeo, le das a "agregar a mi mochila", justo debajo del vídeo, a la izquierda (es un icono de una mochila). Luego, para encontrarlo más fácilmente, solamente tienes que irte a tu perfil y darle a "mi mochila" en la columna de la izq.
Buenas tardes! Tengo una duda sobre un vídeo que subisteis hace ya unos años. Es el siguiente: https://www.youtube.com/watch?v=yoAPeT7_mq8
Como puedes observar, debajo de el Dominio de f (x) = R - {+-2}, estan los límites tanto de x=2 como de x=-2. Me preguntaba si el límite de x=-2 da infinito y no -3 como vosotros ponéis. (Ya que... El límite de x= -2 es: (-2) elevado a 3 + 8 que dan 0, y abajo (-2) al cuadrado que son 4 - 4 = 0; 0 / 0 da infinito, de donde sacas el -3 ?)
Gracias de antemano! Y seguir así!
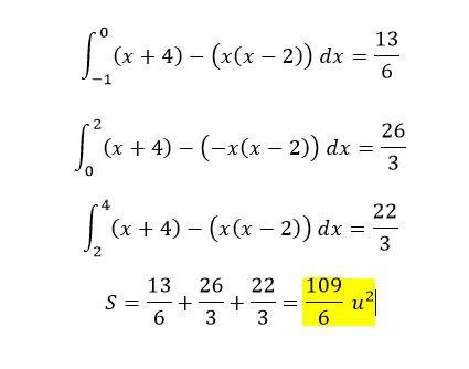
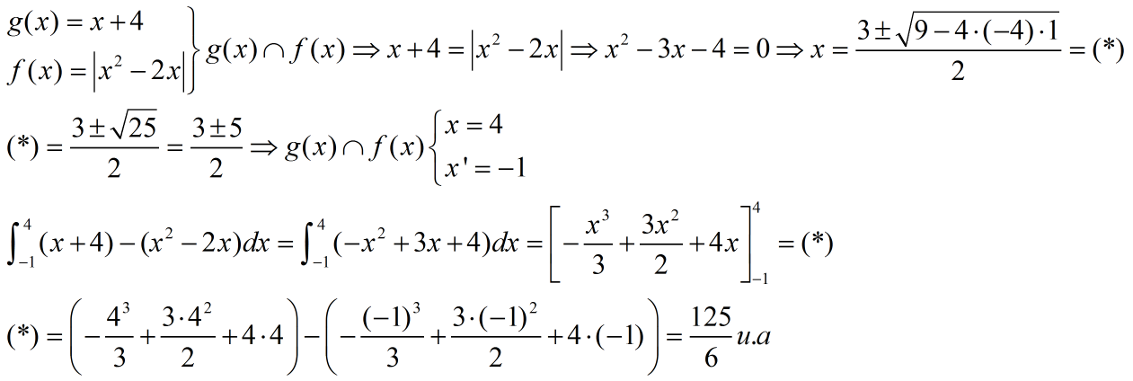
hola me podría ayudar con este ejercicio: Calcula el área definida por las gráficas:
g(x)=x+4 f(x)=|x(x-2)|

Primero de todo has de dibujar las dos gráficas. A simple vista ya puedes apreciar que la primera función es una recta, ya que el grado de la "x" es 1; en cambio la segunda función es una parábola, ya que el grado de la "x" es 2. Para graficarlas no sería un problema, ya que solo tendrías que dar ciertos valores a cada una de las funciones y representarlas, pero para representar la parábola has de tener en cuenta que está entre valores absolutos, por lo tanto, todos los valores serán positivos.
(Te adjunto una imagen de las dos funciones en la misma gráfica).
Para calcular el área definida por las dos funciones solo tendrás que encontrar los puntos de corte respecto el eje de las "x" y estos serán tus intervalos de integración. Hay una cosa que has de tener en cuenta, para determinar el área no se integran las dos funciones por separado, siempre se integra a partir del siguiente razonamiento ---> Función a integrar = Función superior - Función inferior. En este caso sería la recta menos la curva.
Te adjunto el procedimiento en otra foto (en el siguiente comentario).