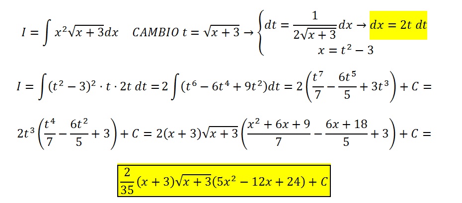
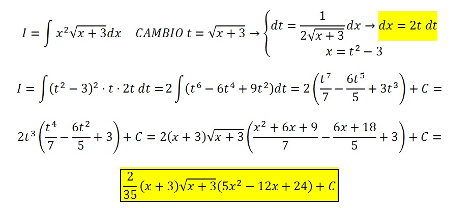
Hola Unicos!!. Me podrán ayudar a resolver este ejercicio, f(x)=cos(lnx), la consigna es analizar la continuidad en los Reales. Lo que he hecho es separar las como composición:
f(x)= lnx . Tiene dominio en de(0, a infinito), pero no esta definda f(0), y el imite de f(X) cuando x taiende a 0 no existe, por lo tanto es discontinua escencial
g(x)=cos x. Tiene dominio en R,. g(0)=1, el limite de x tiende a 0 tanto de derecha como de izquierda es igual a 1, por lo tanto es continua en el punto
Estaría completo el ejercicio?
Hola, tengo un problema que me pusieron en un examen de estadística y no lo entendía, tengo nuevamente el examen esta semana y me gustaría saber cómo se hace.
El problema es el siguiente: Si se lanza un dado 100 veces, ¿cuál es la probabilidad de que salga el nº 2, entre el lanzamiento 64 y 90?. Gracias, un saludo!

Me encantaría ayudarte, pero no respondo dudas universitarias que no tengan que ver específicamente con los videos que ya he grabado como excepcion. Lo siento de corazón… Espero lo entiendas. Es posible te ayuden estos videos.. ALGEBRA Matriz de Cambio de Base 01
Y despues de aplicar cambio de base con uno de los vectores normales de uno de los planos, comprobar si los vectores normales de ambos planos son paralelos o no...
Buenas tardes me podéis ayudar con este problema de geometría de 2ºde la eso:
Un prisma cuadrangular regula recto de base de base 3 m y altura 7 m, y un cilindro inscrito en. Halla el volumen de ambos cuerpos (prisma y cilindro)
Muchísimas gracias

Esta es la figura que ilustra el problema.. ahora veamos, como es cuadrangular y recto, entonces sabemos que el área de su base es 3² es decir 9, y como su altura es 7, entonces el volumen del prisma es 63 (área de la base por la altura).
Ahora vamos con el área del cilindro.. al ser inscrito quiere decir que está adentro.. y como podés observar en la imagen, las tapas del cilindro estarán en las tapas del prisma.. ¿Cuál es el radio de la base del cilindro? Muy sencillo, es la mitad del lado del cuadrado, es decir 3/2.. esto también lo podes sacar haciendo pitágoras (por si no me crees xd), ya que tenemos el radio, podemos sacar el área de la base, que sería π*r² y esto es igual a (9/4)π, con el área basal lista, ahora solo falta multiplicarla por la altura del cilindro y como dije anteriormente las tapas del cilindro están en las tapas del prisma, por lo tanto su altura también es 7.. entonces tenemos que el volumen del cilindro = (9/4)π*7 y eso es igual a (63/4)π
Hola! un sistema homogéneo no tiene inversa??